Impact of 6 MV-LINAC Radiation on Lymphocyte Phenotypes and Cytokine Profiles
Simple Summary
Abstract
1. Introduction
2. Materials and Methods
2.1. Sample Preparation
2.2. Cultivation and Expansion of PBMCs
2.3. Irradiation
2.4. Determination of Radiation-Induced Changes in Lymphocytes
- Cell viability analysis via flow cytometry
- Lymphocyte phenotype analysis
- Intracellular cytokine staining
2.5. Statistical Analysis
3. Results
3.1. Intraclass Correlation Coefficients of Irradiation
3.2. Viability of Irradiated Lymphocytes
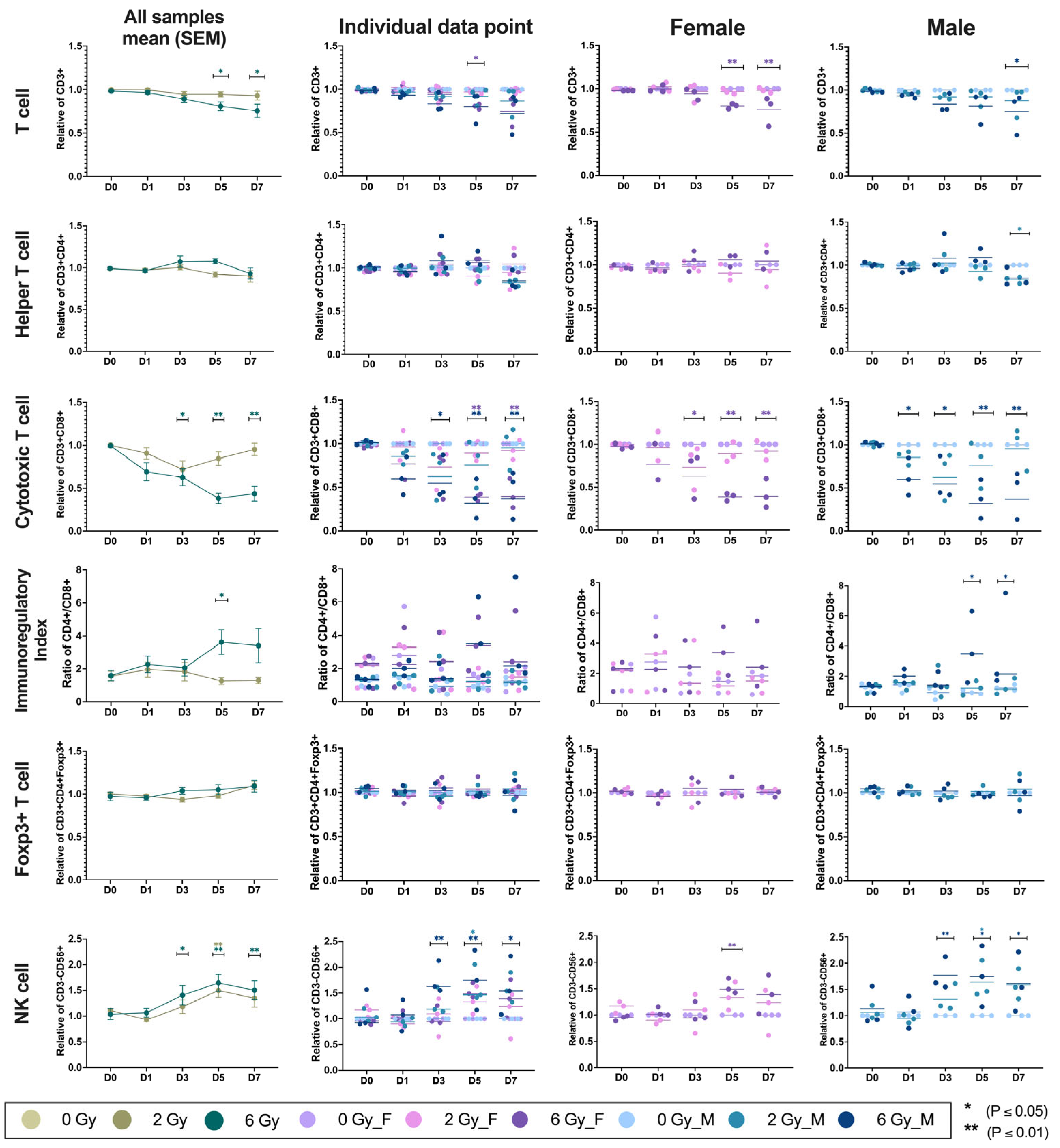
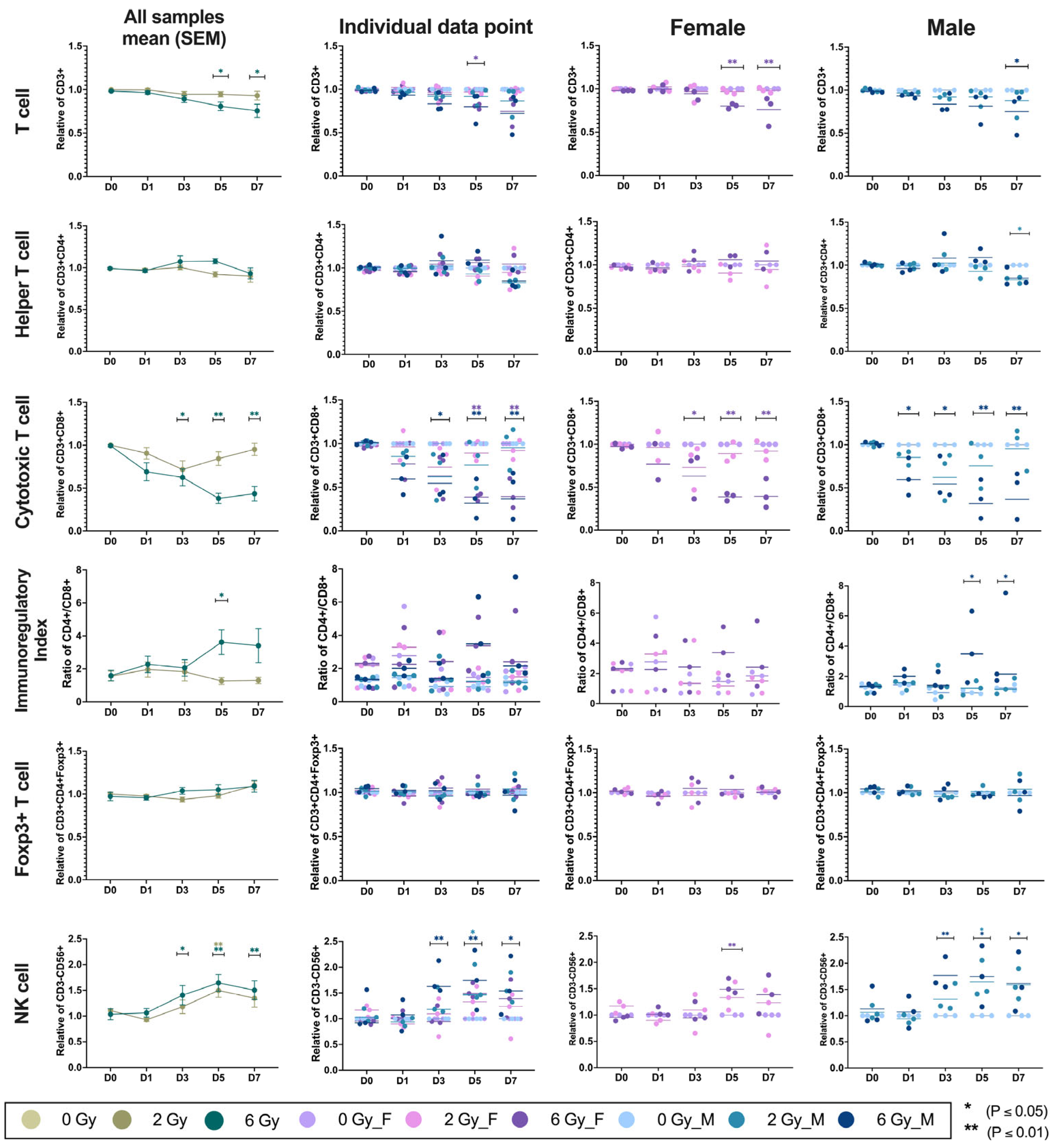
3.3. Radiation Effects on Lymphocyte Subpopulations
3.4. The Radiation Effect on Cytokine Production
4. Discussion
5. Conclusions
Supplementary Materials
Author Contributions
Funding
Institutional Review Board Statement
Informed Consent Statement
Data Availability Statement
Acknowledgments
Conflicts of Interest
Abbreviations
| DNA | Deoxyribonucleic Acid |
| IMRT | Intensity Modulated Radiation Therapy |
| VMAT | Volumetric Modulated Arc Therapy |
| SBRT | Stereotactic Body Radiation Therapy |
| TBI | Total Body Irradiation |
| CD | Cluster of differentiation |
| PBMCs | Peripheral Blood Mononuclear Cells |
| RPMI-1640 | Roswell Park Memorial Institute-1640 |
| BSA | Bovine Serum Albumin |
| FACS | Fluorescence-Activated Cell Sorting |
| LINAC | Linear Accelerator |
| SAD | Source-to-Axis Distance |
| Gy | Gray |
| MU | Monitor Unit |
| IL-12 | Interleukin-12 |
| IFN-γ | Interferon-Gamma |
| SEM | Standard Error of The Mean |
| DAMPs | Danger-Associated Molecular Patterns |
| Th1 | T Helper 1 |
| Treg | T Regulatory Cell |
| STAT4 | Signal Transducer and Activator of Transcription 4 |
References
- Kirthi Koushik, A.S.; Harish, K.; Avinash, H.U. Principles of radiation oncology: A beams eye view for a surgeon. Indian J. Surg. Oncol. 2013, 4, 255–262. [Google Scholar] [CrossRef]
- Jiao, Y.; Cao, F.; Liu, H. Radiation-induced Cell Death and Its Mechanisms. Health Phys. 2022, 123, 376–386. [Google Scholar] [CrossRef]
- Ghaderi, N.; Jung, J.; Brüningk, S.C.; Subramanian, A.; Nassour, L.; Peacock, J. A Century of Fractionated Radiotherapy: How Mathematical Oncology Can Break the Rules. Int. J. Mol. Sci. 2022, 23, 1316. [Google Scholar] [CrossRef]
- Toma-Dasu, I.; Moiseenko, V.; Purdie, T.G.; Carlson, D.J. Recent Developments in the Prediction of Clinical Outcomes Data in Radiation Oncology. Int. J. Radiat. Oncol. Biol. Phys. 2020, 108, 513–517. [Google Scholar] [CrossRef] [PubMed]
- Loughery, B.; Knill, C.; Silverstein, E.; Zakjevskii, V.; Masi, K.; Covington, E.; Snyder, K.; Song, K.; Snyder, M. Multi-institutional evaluation of end-to-end protocol for IMRT/VMAT treatment chains utilizing conventional linacs. Med. Dosim. 2019, 44, 61–66. [Google Scholar] [CrossRef]
- Higginson, D.S.; Morris, D.E.; Jones, E.L.; Clarke-Pearson, D.; Varia, M.A. Stereotactic body radiotherapy (SBRT): Technological innovation and application in gynecologic oncology. Gynecol. Oncol. 2011, 120, 404–412. [Google Scholar] [CrossRef]
- Fiorino, C.; Guckemberger, M.; Schwarz, M.; van der Heide, U.A.; Heijmen, B. Technology-driven research for radiotherapy innovation. Mol. Oncol. 2020, 14, 1500–1513. [Google Scholar] [CrossRef]
- Chen, H.H.W.; Kuo, M.T. Improving radiotherapy in cancer treatment: Promises and challenges. Oncotarget 2017, 8, 62742–62758. [Google Scholar] [CrossRef]
- Zhang, Z.; Liu, X.; Chen, D.; Yu, J. Radiotherapy combined with immunotherapy: The dawn of cancer treatment. Signal Transduct. Target. Ther. 2022, 7, 258. [Google Scholar] [CrossRef]
- Liu, C.; Chikina, M.; Deshpande, R.; Menk, A.V.; Wang, T.; Tabib, T.; Brunazzi, E.A.; Vignali, K.M.; Sun, M.; Stolz, D.B.; et al. Treg Cells Promote the SREBP1-Dependent Metabolic Fitness of Tumor-Promoting Macrophages via Repression of CD8+ T Cell-Derived Interferon-γ. Immunity 2019, 51, 381–397.e6. [Google Scholar] [CrossRef]
- Ellsworth, S.G.; Yalamanchali, A.; Lautenschlaeger, T.; Grossman, S.A.; Grassberger, C.; Lin, S.H.; Mohan, R. Lymphocyte Depletion Rate as a Biomarker of Radiation Dose to Circulating Lymphocytes During Fractionated Partial-Body Radiation Therapy. Adv. Radiat. Oncol. 2022, 7, 100959. [Google Scholar] [CrossRef]
- Terrones-Campos, C.; Ledergerber, B.; Forbes, N.; Smith, A.G.; Petersen, J.; Helleberg, M.; Lundgren, J.; Specht, L.; Vogelius, I.R. Prediction of Radiation-induced Lymphopenia following Exposure of the Thoracic Region and Associated Risk of Infections and Mortality. Clin. Oncol. 2023, 35, e434–e444. [Google Scholar] [CrossRef]
- Yoon, C.I.; Hwang, J.; Kim, D.; Ji, J.H.; Lee, J.; Bae, S.J.; Jeong, J.; Chang, J.-S.; Cho, Y.; Lee, H.S.; et al. Prognostic impact of radiotherapy-induced-lymphopenia in patients treated with breast-conservative surgery. Sci. Rep. 2023, 13, 14372. [Google Scholar] [CrossRef]
- Chen, F.; Jin, J.Y.; Hui, T.S.K.; Jing, H.; Zhang, H.; Nong, Y.; Han, Y.; Wang, W.; Ma, L.; Yi, F.; et al. Radiation Induced Lymphopenia Is Associated with the Effective Dose to the Circulating Immune Cells in Breast Cancer. Front. Oncol. 2022, 12, 768956. [Google Scholar] [CrossRef]
- Prosser, J.S. Survival of Human T and B Lymphocytes after X-irradiation. Int. J. Radiat. Biol. Relat. Stud. Phys. Chem. Med. 1976, 30, 459–465. [Google Scholar] [CrossRef]
- Kwan, D.K.; Norman, A. Radiosensitivity of Human Lymphocytes and Thymocytes. Radiat. Res. 1977, 69, 143–151. [Google Scholar] [CrossRef] [PubMed]
- Han, T.; Pauly, J.L.; Minowada, J. In vitro preferential effect of irradiation on cultured T lymphoid cell line. Clin. Exp. Immunol. 1974, 17, 455–462. [Google Scholar] [PubMed]
- Nakamura, N.; Kusunoki, Y.; Akiyama, M. Radiosensitivity of CD4 or CD8 Positive Human T-Lymphocytes by an In Vitro Colony Formation Assay. Radiat. Res. 1990, 123, 224–227. [Google Scholar] [CrossRef]
- Seki, H.; Iwai, K.; Kanegane, H.; Konno, A.; Ohta, K.; Ohta, K.; Yachie, A.; Taniguchi, N.; Miyawaki, T. Differential Protective Action of Cytokines on Radiation-Induced Apoptosis of Peripheral Lymphocyte Subpopulations. Cell. Immunol. 1995, 163, 30–36. [Google Scholar] [CrossRef]
- Lumniczky, K.; Impens, N.; Armengol, G.; Candéias, S.; Georgakilas, A.G.; Hornhardt, S.; Martin, O.A.; Rödel, F.; Schaue, D. Low dose ionizing radiation effects on the immune system. Environ. Int. 2021, 149, 106212. [Google Scholar] [CrossRef]
- Boopathi, E.; Den, R.B.; Thangavel, C. Innate Immune System in the Context of Radiation Therapy for Cancer. Cancers 2023, 15, 3972. [Google Scholar] [CrossRef]
- Sologuren, I.; Rodríguez-Gallego, C.; Lara, P.C. Immune effects of high dose radiation treatment: Implications of ionizing radiation on the development of bystander and abscopal effects. Transl. Cancer Res. 2014, 3, 18–31. [Google Scholar]
- Roses, R.E.; Datta, J.; Czerniecki, B.J. Radiation as immunomodulator: Implications for dendritic cell-based immunotherapy. Radiat. Res. 2014, 182, 211–218. [Google Scholar] [CrossRef]
- Canter, R.J.; Grossenbacher, S.K.; Foltz, J.A.; Sturgill, I.R.; Park, J.S.; Luna, J.I.; Kent, M.S.; Culp, W.T.N.; Chen, M.; Modiano, J.F.; et al. Radiotherapy enhances natural killer cell cytotoxicity and localization in pre-clinical canine sarcomas and first-in-dog clinical trial. J. Immunother. Cancer 2017, 5, 98. [Google Scholar] [CrossRef]
- Chen, F.; Yu, H.; Zhang, H.; Nong, Y.; Wang, Q.; Jing, H.; Han, Y.; Wu, J.; Zhou, Z.; Yang, L.; et al. Risk factors for radiation induced lymphopenia in patients with breast cancer receiving adjuvant radiotherapy. Ann. Transl. Med. 2021, 9, 1288. [Google Scholar] [CrossRef] [PubMed]
- Bernard, B.; Rajamanickam, V.; Dubay, C.; Piening, B.; Alonso, E.; Jutric, Z.; Tang, E.; Newell, P.; Hansen, P.; Medler, T.; et al. Transcriptional and immunohistological assessment of immune infiltration in pancreatic cancer. PLoS ONE 2020, 15, e0238380. [Google Scholar] [CrossRef]
- Chen, J.; Liu, X.; Zeng, Z.; Li, J.; Luo, Y.; Sun, W.; Gong, Y.; Zhang, J.; Wu, Q.; Xie, C. Immunomodulation of NK Cells by Ionizing Radiation. Front. Oncol. 2020, 10, 874. [Google Scholar] [CrossRef]
- Gallo, P.M.; Gallucci, S. The dendritic cell response to classic, emerging, and homeostatic danger signals. Implications for autoimmunity. Front. Immunol. 2013, 4, 138. [Google Scholar] [CrossRef]
- Paganetti, H. A review on lymphocyte radiosensitivity and its impact on radiotherapy. Front. Oncol. 2023, 13, 1201500. [Google Scholar] [CrossRef] [PubMed]
- Heylmann, D.; Ponath, V.; Kindler, T.; Kaina, B. Comparison of DNA repair and radiosensitivity of different blood cell populations. Sci. Rep. 2021, 11, 2478. [Google Scholar] [CrossRef] [PubMed]
- Philippé, J.; Louagie, H.; Thierens, H.; Vral, A.; Cornelissen, M.; De Ridder, L. Quantification of apoptosis in lymphocyte subsets and effect of apoptosis on apparent expression of membrane antigens. Cytometry 1997, 29, 242–249. [Google Scholar] [CrossRef]
- Wilkins, R.C.; Kutzner, B.C.; Truong, M.; McLean, J.R.N. The effect of the ratio of CD4 + to CD8 + T-cells on radiation-induced apoptosis in human lymphocyte subpopulations. Int. J. Radiat. Biol. 2002, 78, 681–688. [Google Scholar] [CrossRef]
- Horn, S.; Barnard, S.; Brady, D.; Prise, K.M.; Rothkamm, K. Combined analysis of gamma-H2AX/53BP1 foci and caspase activation in lymphocyte subsets detects recent and more remote radiation exposures. Radiat. Res. 2013, 180, 603–609. [Google Scholar] [CrossRef]
- Chambers, K.A.; Harrington, N.P.; Ross, W.M.; Filion, L.G. Relative alterations in blood mononuclear cell populations reflect radiation injury in mice. Cytometry 1998, 31, 45–52. [Google Scholar] [CrossRef]
- Harrington, N.P.; Chambers, K.A.; Ross, W.M.; Filion, L.G. Radiation damage and immune suppression in splenic mononuclear cell populations. Clin. Exp. Immunol. 1997, 107, 417–424. [Google Scholar] [CrossRef] [PubMed]
- Bogdándi, E.N.; Balogh, A.; Felgyinszki, N.; Szatmári, T.; Persa, E.; Hildebrandt, G.; Sáfrány, G.; Lumniczky, K. Effects of low-dose radiation on the immune system of mice after total-body irradiation. Radiat. Res. 2010, 174, 480–489. [Google Scholar] [CrossRef] [PubMed]
- Gustafson, M.P.; Bornschlegl, S.; Park, S.S.; Gastineau, D.A.; Roberts, L.R.; Dietz, A.B.; Hallemeier, C.L. Comprehensive assessment of circulating immune cell populations in response to stereotactic body radiation therapy in patients with liver cancer. Adv. Radiat. Oncol. 2017, 2, 540–547. [Google Scholar] [CrossRef]
- Eckert, D.; Rapp, F.; Tsedeke, A.T.; Molendowska, J.; Lehn, R.; Langhans, M.; Fournier, C.; Rödel, F.; Hehlgans, S. ROS- and Radiation Source-Dependent Modulation of Leukocyte Adhesion to Primary Microvascular Endothelial Cells. Cells 2021, 11, 72. [Google Scholar] [CrossRef] [PubMed]
- Pugh, J.L.; Sukhina, A.S.; Seed, T.M.; Manley, N.R.; Sempowski, G.D.; van den Brink, M.R.; Smithey, M.J.; Nikolich-Žugich, J. Histone deacetylation critically determines T cell subset radiosensitivity. J. Immunol. 2014, 193, 1451–1458. [Google Scholar] [CrossRef]
- Li, H.; Yang, T.; Zhang, J.; Xue, K.; Ma, X.; Yu, B.; Jin, X. Pyroptotic cell death: An emerging therapeutic opportunity for radiotherapy. Cell Death Discov. 2024, 10, 32. [Google Scholar] [CrossRef]
- Uhl, L.F.K.; Cai, H.; Oram, S.L.; Mahale, J.N.; MacLean, A.J.; Mazet, J.M.; Piccirilli, T.; He, A.J.; Lau, D.; Elliott, T.; et al. Interferon-γ couples CD8+ T cell avidity and differentiation during infection. Nat. Commun. 2023, 14, 6727. [Google Scholar] [CrossRef] [PubMed]
- Wan, Y.Y.; Flavell, R.A. How diverse--CD4 effector T cells and their functions. J. Mol. Cell Biol. 2009, 1, 20–36. [Google Scholar] [CrossRef]
- Vanbuskirk, A.; Oberyszyn, T.M.; Kusewitt, D.F. Depletion of CD8+ or CD4+ lymphocytes enhances susceptibility to transplantable ultraviolet radiation-induced skin tumours. Anticancer. Res. 2005, 25, 1963–1967. [Google Scholar]
- Simon, S. Dynamic Regulation of CD4+ Regulatory T Cells by Radiation Treatment. Ph.D. Thesis, Georgia State University, Atlanta, GA, USA, December 2019. [Google Scholar] [CrossRef]
- Luan, Y.Y.; Yin, C.F.; Qin, Q.H.; Dong, N.; Zhu, X.M.; Sheng, Z.Y.; Zhang, Q.H.; Yao, Y.M. Effect of Regulatory T Cells on Promoting Apoptosis of T Lymphocyte and Its Regulatory Mechanism in Sepsis. J. Interferon Cytokine Res. 2015, 35, 969–980. [Google Scholar] [CrossRef]
- Long, E.O.; Kim, H.S.; Liu, D.; Peterson, M.E.; Rajagopalan, S. Controlling natural killer cell responses: Integration of signals for activation and inhibition. Annu. Rev. Immunol. 2013, 31, 227–258. [Google Scholar] [CrossRef]
- Yoon, M.S.; Pham, C.T.; Phan, M.T.; Shin, D.J.; Jang, Y.Y.; Park, M.H.; Kim, S.K.; Kim, S.; Cho, D. Irradiation of breast cancer cells enhances CXCL16 ligand expression and induces the migration of natural killer cells expressing the CXCR6 receptor. Cytotherapy 2016, 18, 1532–1542. [Google Scholar] [CrossRef] [PubMed]
- Guo, S.; Yao, Y.; Tang, Y.; Xin, Z.; Wu, D.; Ni, C.; Huang, J.; Wei, Q.; Zhang, T. Radiation-induced tumor immune microenvironments and potential targets for combination therapy. Signal Transduct. Target. Ther. 2023, 8, 205. [Google Scholar] [CrossRef]
- Muraro, E.; Furlan, C.; Avanzo, M.; Martorelli, D.; Comaro, E.; Rizzo, A.; Fae, D.A.; Berretta, M.; Militello, L.; Del Conte, A.; et al. Local High-Dose Radiotherapy Induces Systemic Immunomodulating Effects of Potential Therapeutic Relevance in Oligometastatic Breast Cancer. Front. Immunol. 2017, 8, 1476. [Google Scholar] [CrossRef]
- Paul, S.; Lal, G. The Molecular Mechanism of Natural Killer Cells Function and Its Importance in Cancer Immunotherapy. Front. Immunol. 2017, 8, 1124. [Google Scholar] [CrossRef]
- Zhu, S.; Wang, Y.; Tang, J.; Cao, M. Radiotherapy induced immunogenic cell death by remodeling tumor immune microenvironment. Front. Immunol. 2022, 13, 1074477. [Google Scholar] [CrossRef] [PubMed]
- Henry, C.J.; Ornelles, D.A.; Mitchell, L.M.; Brzoza-Lewis, K.L.; Hiltbold, E.M. IL-12 produced by dendritic cells augments CD8+ T cell activation through the production of the chemokines CCL1 and CCL17. J. Immunol. 2008, 181, 8576–8584. [Google Scholar] [CrossRef]
- Xu, Y.; Sun, X.; Tong, Y. Interleukin-12 in multimodal tumor therapies for induction of anti-tumor immunity. Discov. Oncol. 2024, 15, 170. [Google Scholar] [CrossRef]
- Thierfelder, W.E.; van Deursen, J.M.; Yamamoto, K.; Tripp, R.A.; Sarawar, S.R.; Carson, R.T.; Sangster, M.Y.; Vignali, D.A.; Doherty, P.C.; Grosveld, G.C.; et al. Requirement for Stat4 in interleukin-12-mediated responses of natural killer and T cells. Nature 1996, 382, 171–174. [Google Scholar] [CrossRef]
- Sun, J.C.; Lanier, L.L. NK cell development, homeostasis and function: Parallels with CD8+ T cells. Nat. Rev. Immunol. 2011, 11, 645–657. [Google Scholar] [CrossRef]
- Castro, F.; Cardoso, A.P.; Gonçalves, R.M.; Serre, K.; Oliveira, M.J. Interferon-Gamma at the Crossroads of Tumor Immune Surveillance or Evasion. Front. Immunol. 2018, 9, 847. [Google Scholar] [CrossRef] [PubMed]
- Kim, W.; Seong, J.; Oh, H.J.; Koom, W.S.; Choi, K.J.; Yun, C.O. A novel combination treatment of armed oncolytic adenovirus expressing IL-12 and GM-CSF with radiotherapy in murine hepatocarcinoma. J. Radiat. Res. 2011, 52, 646–654. [Google Scholar] [CrossRef]
- Wu, C.J.; Tsai, Y.T.; Lee, I.J.; Wu, P.Y.; Lu, L.S.; Tsao, W.S.; Huang, Y.J.; Chang, C.C.; Ka, S.M.; Tao, M.H. Combination of radiation and interleukin 12 eradicates large orthotopic hepatocellular carcinoma through immunomodulation of tumor microenvironment. Oncoimmunology 2018, 7, e1477459. [Google Scholar] [CrossRef] [PubMed]
- Gkika, E.; Adebahr, S.; Brenner, A.; Schimek-Jasch, T.; Radicioni, G.; Exner, J.-P.; Rühle, A.; Spohn, S.K.B.; Popp, I.; Zamboglou, C.; et al. Changes in Blood Biomarkers of Angiogenesis and Immune Modulation after Radiation Therapy and Their Association with Outcomes in Thoracic Malignancies. Cancers 2021, 13, 5725. [Google Scholar] [CrossRef] [PubMed]
- Meirovitz, A.; Gross, M.; Cohen, S.; Popovtzer, A.; Barak, V. Effect of irradiation on cytokine production in cancer patients. Int. J. Biol. Markers 2022, 37, 360–367. [Google Scholar] [CrossRef]
- Li, B.; Chen, S.; Lu, H.; Tan, Y. Predictive values of TNF-[alpha], IL-6, IL-10 for radiation pneumonitis. Int. J. Radiat. Res. 2016, 14, 173. [Google Scholar]
- Zakeri, F.; Hirobe, T.; Akbari Noghabi, K. Biological effects of low-dose ionizing radiation exposure on interventional cardiologists. Occup. Med. 2010, 60, 464–469. [Google Scholar] [CrossRef] [PubMed]
- Paun, A.; Kunwar, A.; Haston, C.K. Acute adaptive immune response correlates with late radiation-induced pulmonary fibrosis in mice. Radiat. Oncol. 2015, 10, 45. [Google Scholar] [CrossRef] [PubMed]
- Zheng, X.; Guo, Y.; Wang, L.; Zhang, H.; Wang, S.; Wang, L.; An, L.; Zhou, X.; Li, X.; Yao, C. Recovery Profiles of T-Cell Subsets Following Low-Dose Total Body Irradiation and Improvement with Cinnamon. Int. J. Radiat. Oncol. Biol. Phys. 2015, 93, 1118–1126. [Google Scholar] [CrossRef]
- Stoecklein, V.M.; Osuka, A.; Ishikawa, S.; Lederer, M.R.; Wanke-Jellinek, L.; Lederer, J.A. Radiation exposure induces inflammasome pathway activation in immune cells. J. Immunol. 2015, 194, 1178–1189. [Google Scholar] [CrossRef] [PubMed]




Disclaimer/Publisher’s Note: The statements, opinions and data contained in all publications are solely those of the individual author(s) and contributor(s) and not of MDPI and/or the editor(s). MDPI and/or the editor(s) disclaim responsibility for any injury to people or property resulting from any ideas, methods, instructions or products referred to in the content. |
© 2025 by the authors. Licensee MDPI, Basel, Switzerland. This article is an open access article distributed under the terms and conditions of the Creative Commons Attribution (CC BY) license (https://creativecommons.org/licenses/by/4.0/).
Share and Cite
Yudech, P.; Phongprapun, W.; Dankulchai, P.; Polpanich, D.; Elaissari, A.; Wanotayan, R.; Jangpatarapongsa, K. Impact of 6 MV-LINAC Radiation on Lymphocyte Phenotypes and Cytokine Profiles. Radiation 2025, 5, 29. https://doi.org/10.3390/radiation5040029
Yudech P, Phongprapun W, Dankulchai P, Polpanich D, Elaissari A, Wanotayan R, Jangpatarapongsa K. Impact of 6 MV-LINAC Radiation on Lymphocyte Phenotypes and Cytokine Profiles. Radiation. 2025; 5(4):29. https://doi.org/10.3390/radiation5040029
Chicago/Turabian StyleYudech, Papichaya, Wisawa Phongprapun, Pittaya Dankulchai, Duangporn Polpanich, Abdelhamid Elaissari, Rujira Wanotayan, and Kulachart Jangpatarapongsa. 2025. "Impact of 6 MV-LINAC Radiation on Lymphocyte Phenotypes and Cytokine Profiles" Radiation 5, no. 4: 29. https://doi.org/10.3390/radiation5040029
APA StyleYudech, P., Phongprapun, W., Dankulchai, P., Polpanich, D., Elaissari, A., Wanotayan, R., & Jangpatarapongsa, K. (2025). Impact of 6 MV-LINAC Radiation on Lymphocyte Phenotypes and Cytokine Profiles. Radiation, 5(4), 29. https://doi.org/10.3390/radiation5040029

