Simple Summary
The image quality index for bone scintigraphy is traditionally defined by the total count of the whole-body image. However, variations in bone counts can significantly impact the accuracy of image-analysis programs. The total count is influenced by factors such as urine retention, soft tissue uptake, and other physiological variables, which introduce inconsistencies and reduce its reliability as a representation of actual bone counts. To address this issue, we propose the skeletal count as an alternative index that minimizes the influence of urine retention and other extraneous factors. This study aimed to stratify patients into groups based on thresholds derived from various count values, evaluate the diagnostic performance of each group, and identify the optimal skeletal count threshold. By doing so, the skeletal count index could enhance the accuracy and reliability of bone-scintigraphy image-analysis programs.
Abstract
The image quality index for whole-body bone scintigraphy has traditionally relied on the total count (Total-C) with a threshold of ≥1.5 million counts (MC). However, Total-C measurements are susceptible to variability owing to urine retention. This study aimed to develop a skeletal count (Skel-C)-based index, focusing exclusively on bone regions, to improve the accuracy of image analysis in bone scintigraphy. To determine the optimal Skel-C-based threshold, Skel-C thresholds were set at 0.9, 1.0, 1.1, and 1.2 MC, and Total-C thresholds were set at 1.75, 2.0, and 2.25 MC. Patients were then categorized based on whether their values were above or below these thresholds. The group including all cases was defined as the Total-C 1.5 high group. Sensitivity and specificity were calculated for each group, and receiver operating characteristic analyses and statistical evaluations were conducted. The specificity of the bone scintigraphy image analysis program in the Skel-C < 0.9 MC group was significantly lower than that in the Skel-C ≥ 0.9 MC and Total-C 1.5 high groups. The decrease in specificity was evident only with Skel-C and was not identified based on Total-C levels. These findings highlight the importance of achieving Skel-C ≥ 0.9 MC and suggest that Total-C alone is insufficient for reliable image assessment.
1. Introduction
Bone scintigraphy is one of the most frequently performed tests in the field of nuclear medicine [1]. This diagnostic method visualizes the uptake of radiopharmaceuticals into the bone tissue, aiding in the detection of bone metastases from malignant tumors and the assessment of bone metastasis treatment efficacy [2,3]. Among malignant tumors, prostate cancer frequently presents with osteoblastic bone metastases [4]. Early diagnosis of bone metastasis plays a crucial role in optimizing treatment decisions, and early detection and treatment are essential for improving patient quality of life (QOL) and survival [5,6]. The 2016 Prostate Cancer Practice Guidelines indicate the effectiveness of bone scintigraphy in diagnosing bone metastases [7]. Guidelines for prostate cancer recommend abdominopelvic Computed Tomography (CT) and bone scans for metastasis screening in patients with intermediate- or high-risk disease [8]. Additionally, bone scintigraphy is used for prognostication after treatment of bone metastases in prostate cancer patients [9,10,11,12]. Typically, the diagnosis through bone scintigraphy relies on visual assessments by a doctor, and the accuracy of these readings can vary based on the examiner’s skill and experience, leading to inter-observer variability [13]. BONENAVI (PDRadiopharma Inc., Tokyo, Japan) is an imaging analysis program for bone scintigraphy that uses an artificial neural network (ANN) to automatically identify regions of high uptake, thereby aiding in image interpretation [14,15]. Through various improvements, this program has been trained on a dataset of 1532 Japanese patients to automatically segment bone regions into 12 segments based on skeletal data derived from 50 healthy Japanese individuals [16,17,18]. Using both anterior and posterior bone scintigraphy images, it can automatically calculate the skeletal count (Skel-C). Importantly, Skel-C focuses solely on the bones, excluding other structures such as the kidneys, bladder, soft tissues, and the peripheral bones of the extremities. In addition to Skel-C, which represents the skeletal count, BONENAVI can obtain the total count (Total-C), which includes all counts within the imaging field of view (Figure 1). The Skel-C region was automatically determined and delineated by a solid line using an image analysis program incorporating Morphon non-rigid registration. Skel-C includes only counts within this defined region [18]. Additionally, the bladder is automatically detected and excluded from the Skel-C calculation.
Figure 1.
Calculation regions for total count (Total-C) and skeletal count (Skel-C) are shown. High uptake levels observed in the elbow, knee, and ankle joints are indicative of arthritis. (a) Calculation region for the anterior view of Total-C. (b) Calculation region for the posterior view of Total-C. (c) Calculation region for the anterior view of Skel-C. (d) Calculation region for the posterior view of Skel-C. (e) For anterior view Skel-C calculations, bladder recognition is performed, and the bladder region is excluded from the Skel-C calculation region. (f) For posterior view Skel-C calculations, bladder recognition is performed, and the bladder region is excluded from the Skel-C calculation region.
Sadik et al. reported that the use of an image analysis program for bone scintigraphy can reduce inter-observer variability [19]. In fact, BONENAVI has been shown to be a helpful diagnostic tool for both diagnosis and prognostication, with numerous studies focusing on enhancing its functionality [20,21,22]. The European Association of Nuclear Medicine guidelines recommend a Total-C of 1.5 million counts (MC) or more for bone scintigraphy [23]. According to Anand et al., the bone scan index (BSI) decreases when Total-C falls below 1 MC; the authors concluded that, for whole-body bone scintigraphy, the scan speed should be chosen such that Total-C is above 1.5 MC [24]. However, the previous study was based on simulations, and actual Total-C measurements may vary owing to factors such as urine retention and soft-tissue accumulation. We believe that the image count of interest in the image-analysis program is Skel-C, and that Total-C may not contribute directly. Therefore, we hypothesized that the diagnostic accuracy of bone scintigraphy image analysis programs is primarily influenced by Skel-C, rather than Total-C, which can vary owing to various factors. However, Skel-C is not currently recommended by existing guidelines; to our knowledge, no prior studies have evaluated its use. Thus, this study aimed to develop a new image quality index (Skel-C) to improve the accuracy of bone-scintigraphy imaging-analysis programs.
2. Materials and Methods
2.1. Target Cases
This study included patients who underwent bone scintigraphy between January 2020 and March 2022 due to a suspicion of bone metastases from prostate cancer or for monitoring known bone metastases. This study included only patients with Total-C ≥ 1.5 MC, based on established image quality criteria. Bone scintigraphy is recommended by guidelines in cases of suspected prostate cancer bone metastasis, where it has demonstrated prognostic value [7,25,26]. Considering breast cancer, an example of a malignancy with a relatively high propensity for bone metastasis, according to the European Society for Medical Oncology Clinical Practice Guidelines for Early Breast Cancer, evaluation for distant metastases is recommended only for patients with stage IIb or higher disease, or those at high risk of recurrence at the time of initial diagnosis, or those presenting with symptoms [27]. James et al. stated that bone scintigraphy is not recommended for staging evaluation in patients with early-stage breast cancer [28]. According to Tada et al., more than 80% of breast cancer patients are diagnosed at stage IIa or lower, and bone scintigraphy may not be recommended for these patients [29]. Therefore, considering prostate cancer one of the most suitable malignancies for bone scintigraphy, this study focused on patients with prostate cancer. The study cohort comprised 236 male patients (mean age: 75.1 ± 7.8 (52–91) years; 52–91 years), of whom 81 had bone metastases and 155 did not. This retrospective study was approved by our institutional review board (approval number: 3779) and was conducted in accordance with the ethical standards of the Declaration of Helsinki. The requirement for informed consent was waived.
2.2. Equipment and Analysis Software
The single-photon emission computed tomography/computed tomography (SPECT/CT) systems used in this study were the Discovery NM/CT 670 (GE Healthcare, Chicago, IL, USA) and Bright View X with XCT (Philips Medical Systems International, Cleveland, OH, USA), both equipped with low-energy high-resolution collimators. The nuclear medicine workstations included GENIE-Xeleris (GE Healthcare, Chicago, IL, USA) and Extended Brilliance Workspace Nuclear Medicine (Philips Medical Systems International, Cleveland, OH, USA). The bone-scintigraphy imaging-analysis program BONENAVI® version 2.1.7 (PDRadiopharma Inc., Tokyo, Japan) was employed for image analysis; JMP®16 (SAS Institute, Cary, NC, USA) and R (The R Foundation for Statistical Computing, Vienna, Austria) [30] were used for statistical data analysis.
2.3. Imaging
Patients received an intravenous injection of 99mTc-methylene diphosphonate (MDP) (PDRadiopharma Inc., Tokyo, Japan) (757.8 ± 70.2 MBq) and then underwent bone scintigraphy approximately 3–5 h later. Patients were instructed to urinate immediately before imaging, without the need for aggressive hydration. The imaging parameters were as follows: energy window, 140.5 keV ± 7.5%; pixel size, 2.21 mm; zoom, 1.0; and scanning speed, 12 cm/min.
2.4. Criteria for the Presence or Absence of Bone Metastasis
The presence or absence of bone metastases was determined by clinicians based on an integrated assessment of nuclear medicine and radiology reports, clinical imaging findings, laboratory test results, and clinical symptoms.
2.5. Case Grouping and Data Analysis
Patients were stratified according to the presence or absence of bone metastasis as determined by clinical evaluation by physicians. The mean, median, minimum, maximum, and standard deviation (SD) of Total-C and Skel-C were calculated for the bone metastasis group, and the non-bone metastasis group. Differences between Total-C and Skel-C within each group were assessed using the Wilcoxon’s rank-sum test at a 5% significance level. BONENAVI analyzes bone scintigraphy images by evaluating the count, location, size, and shape of accumulation sites to generate an ANN value ranging from 0 to 1, which indicates the risk of bone metastasis. A value of 0 represents a negative result, 1 represents a positive result, and 0.5 serves as the threshold for determining the presence of bone metastases [31]. Based on the clinician’s criteria for determining the presence of bone metastases, cases with bone metastases confirmed by BONENAVI analysis and an ANN value of 0.5 or higher were defined as true positive cases. Cases with bone metastases that did not meet these criteria were defined as false negative cases. For cases without bone metastases, those with hyper-accumulation regions in the analysis result report and an ANN value of 0.5 or higher were considered false-positive cases. All other cases without bone metastases were classified as true negative cases. Since the aim of this study was to identify the optimal Skel-C threshold for improving the accuracy of image analysis programs in bone scintigraphy, Skel-C thresholds were set at 0.9 MC, 1.0 MC, 1.1 MC, and 1.2 MC, while Total-C thresholds were set at 1.75 MC, 2.0 MC, and 2.25 MC. The groups were defined based on whether Skel-C or Total-C values were below or above the specified thresholds. The group including all cases, regardless of thresholds, was referred to as the Total-C 1.5 high group. Details of each group are presented in Table 1.
Table 1.
Details of each grouping with the total count (Total-C) and skeletal count (Skel-C) as thresholds.
The sensitivity and specificity of each group were calculated. Fisher’s exact test (significance level: 5%) was performed using JMP Pro®16 to evaluate significant differences between groups. Receiver operating characteristic (ROC) analysis using ANN values was conducted to evaluate the diagnostic performance of each group, and the area under the curve (AUC) was calculated for each group. A bootstrap method (significance level: 5%) was performed using R to evaluate significant differences between groups.
3. Results
All patients were grouped on the basis of the presence or absence of bone metastases. The mean, median, minimum (Min), maximum (Max), and SD of Total-C and Skel-C are summarized in Table 2, with the results of significance tests shown in Figure 2. Skel-C was significantly lower than Total-C in cases with and without bone metastases. Additionally, Skel-C exhibited a lower SD and less variability in counts than Total-C.
Table 2.
Mean [million count (MC)], median [MC], minimum (Min) [MC], maximum (Max) [MC], and standard deviation (SD) of Total-C and Skel-C grouped by bone metastasis (Bone meta).
Figure 2.
Distribution of Total-C and Skel-C and the results of significance tests. (*: p < 0.05). Skel-C was lower than Total-C with and without bone metastases.
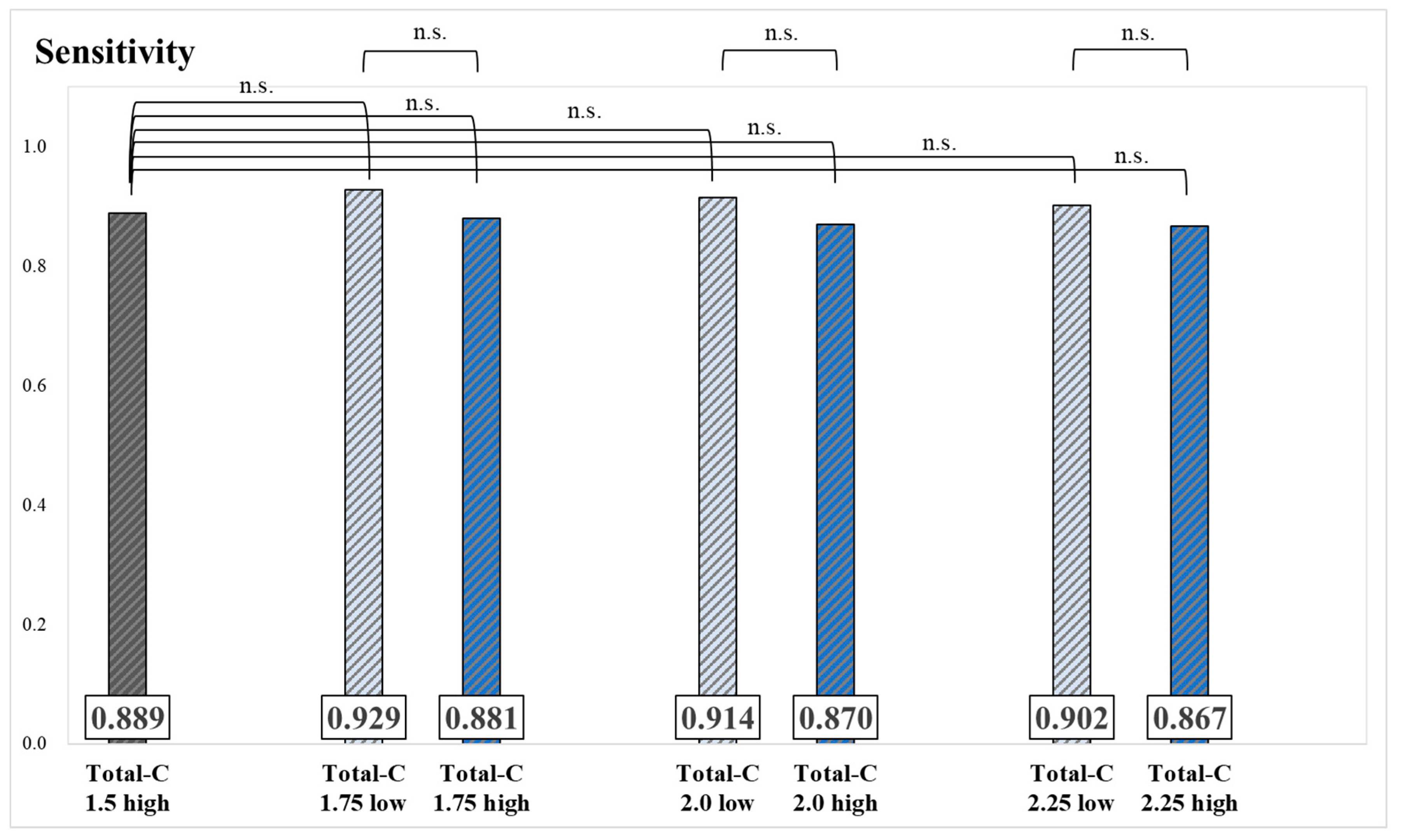
Results of the sensitivity and significance tests for each group are presented in Figure 3 and Figure 4. No significant differences were observed in sensitivity values between groups.
Figure 3.
Sensitivity and significance tests for each group, classified based on the threshold of Skel-C (n.s.: not significant).
Figure 4.
Sensitivity and significance tests for each group, classified based on the threshold of Total-C (n.s.: not significant).
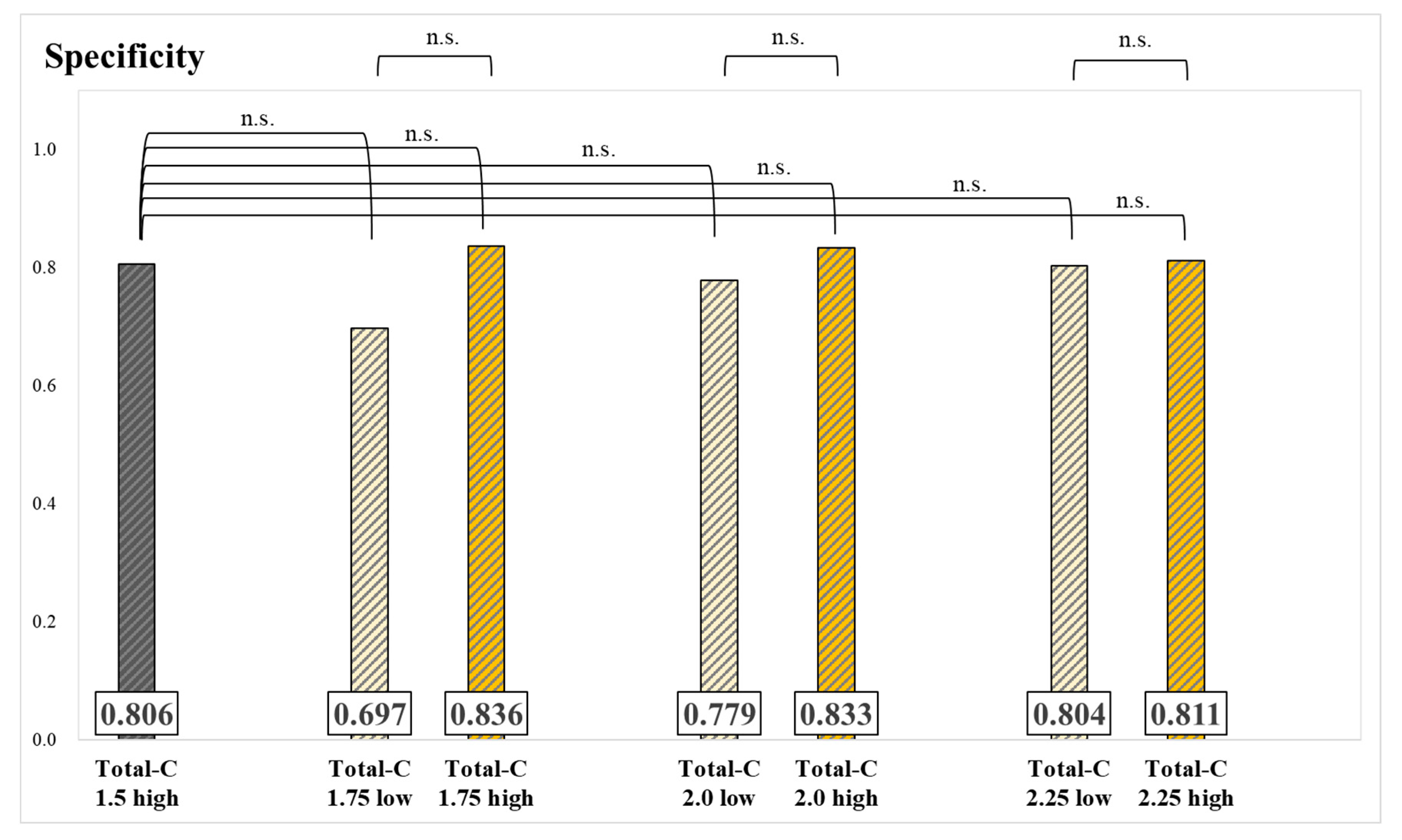
The results of specificity for each group and significance tests are presented in Figure 5 and Figure 6. The specificity of the Skel-C 0.9 low group was significantly lower than that of the Skel-C 0.9 high group and the Total-C 1.5 high group.
Figure 5.
Specificity and significance tests for each group, classified based on the threshold of Skel-C (*: p < 0.05, n.s.: not significant).
Figure 6.
Specificity and significance tests for each group, classified based on the threshold of Total-C (n.s.: not significant).
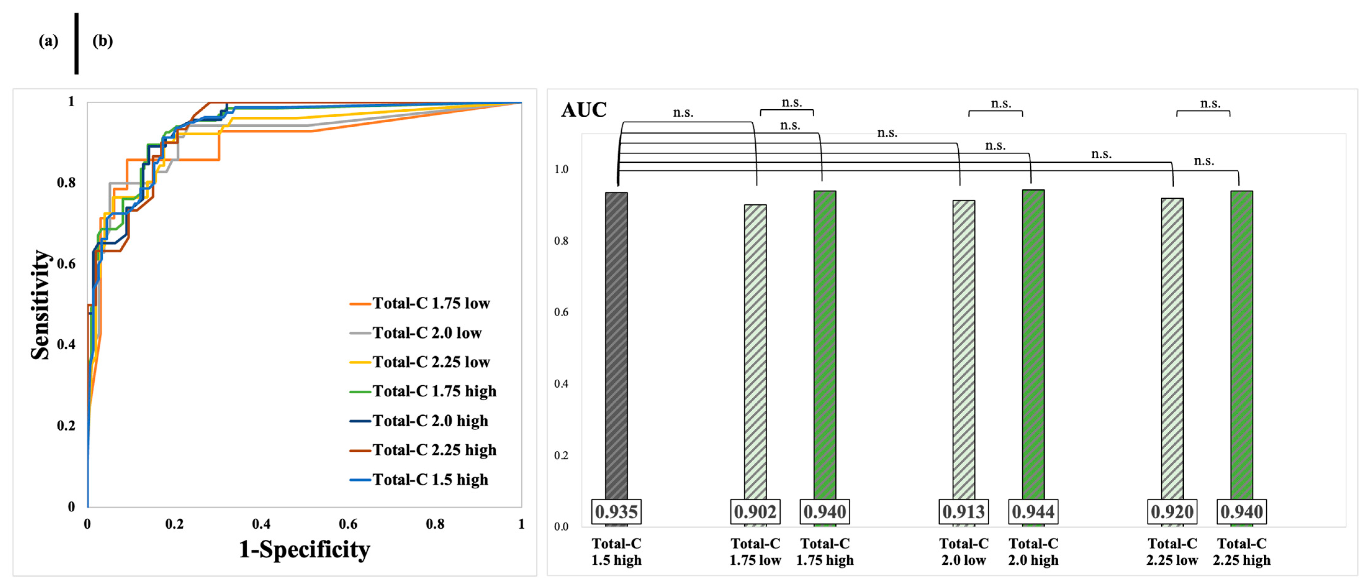
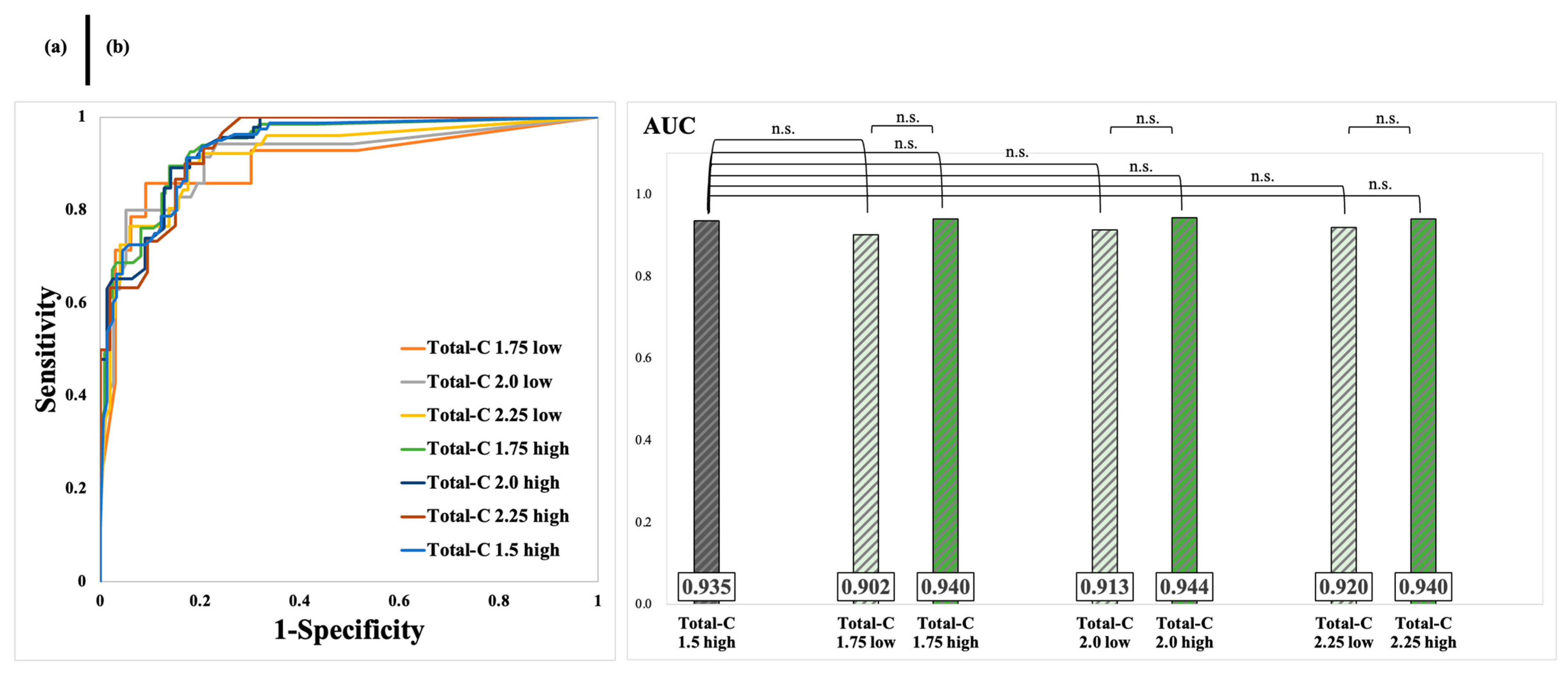
The ROC curves, AUC values, and bootstrapping results are shown in Figure 7 and Figure 8. No statistically significant differences were detected between the groups.
Figure 7.
(a) Receiver operating characteristic curves (ROC) of groups classified based on the threshold of Skel-C and (b) area under the curve (AUC) values and results of significance tests for each group (n.s.: not significant).
Figure 8.
(a) ROC curves of groups classified based on the threshold of Total-C and (b) AUC values and results of significance tests for each group (n.s.: not significant).
4. Discussion
In this study, we focused on developing a new image quality index using the Skel-C index to improve the accuracy of bone-scintigraphy imaging analysis. Total-C and Skel-C were compared to evaluate differences in count variability on whole-body images and the impact of high and low Skel-C and Total-C values on diagnostic performance. As shown in Table 2, the mean, median, and minimum values were higher in the group with bone metastases than in the group without bone metastases. Increased osteoblastic activity leads to greater tracer uptake compared to that observed in normal bone tissue [23], which likely accounts for the increased mean and median values in the bone metastasis group. In the Skel-C group, the maximum value was higher in the group without bone metastases. Further, upon examining the case with the maximum value, we found that the patient had a markedly reduced estimated glomerular filtration rate (eGFR = 5 mL/min/1.73 m2). We hypothesize that reduced renal function caused less efflux of radiopharmaceuticals from the body, leading to increased counts. This finding suggests that even in patients without bone metastases, individual physiological differences can cause variations in radiopharmaceutical accumulation in normal bone. The SD of Skel-C was smaller than that of Total-C, regardless of the presence or absence of bone metastases. We attribute this difference to the effects of urinary retention and soft tissue accumulation. Prostate cancer patients often experience dysuria and may have difficulty completely emptying their bladders, even when encouraged to urinate before the examination. Skel-C, which excludes counts from the bladder, soft tissues, and peripheral limb bones, is less affected by these factors. Consequently, we believe that Skel-C reduces variability in whole-body image counts between patients, enhancing the reliability of image quality assessments.
Herein, Skel-C thresholds of 0.9 MC, 1.0 MC, 1.1 MC, and 1.2 MC and Total-C thresholds of 1.75 MC, 2.0 MC, and 2.25 MC were used to classify patients into high and low groups for each threshold, with the aim of identifying the optimal Skel-C threshold. The sensitivity results showed no significant differences between groups divided by Skel-C and Total-C thresholds (Figure 3 and Figure 4). This finding reflects the inherently high sensitivity of bone scintigraphy for detecting bone metastases. False-negative cases primarily included osteolytic bone metastases, small accumulations that were undetectable, and slight residual bone metastases during treatment. Bone scintigraphy is highly sensitive for detecting osteoblastic bone metastases but has lower sensitivity for osteolytic bone metastases [23]. While osteoblastic bone metastases are more common in prostate cancer, osteolytic bone metastases can also occur. In this study, three patients with osteolytic bone metastases were classified as false negatives. The low accumulation of 99mTc-MDP in osteolytic metastases likely contributed to their limited detectability. Additional false-negative cases included three patients with small metastases in the ribs and pelvis and three patients with residual bone metastases alleviated by treatment. Koizumi et al. noted that in patients with small bone metastases or those undergoing treatment, the metastases tend to be smaller, resulting in a lower ANN value and subsequent false-negative results when using analysis software [31]. Since there were no significant differences in sensitivity values among all groups, we conclude that the influence of high and low Total-C and Skel-C values on sensitivity is minimal. Instead, the primary factors influencing sensitivity appear to be the characteristics of individual cases, including the presence of osteolytic metastases, the size of the metastases, and other patient-specific factors. The specificity of the image analysis program for the Skel-C 0.9 low group was significantly lower than that for the Skel-C 0.9 high group and the Total-C 1.5 high group. In contrast, no significant differences were observed among groups classified based on Total-C thresholds (Figure 5 and Figure 6). The Total-C 1.5 high group was imaged based on the currently established index, whereas the Skel-C 0.9 low group demonstrated significantly lower specificity. The Skel-C 0.9 low group was also imaged with Total-C values exceeding 1.5 MC; however, its specificity was lower, suggesting that the accuracy of the image-analysis program is more influenced by Skel-C than by Total-C. Because a Total-C-based threshold did not significantly reduce specificity, whereas a Skel-C-based threshold reflected a decrease in specificity, we consider Skel-C to be a valuable image quality index. No significant differences in AUC values were detected between groups stratified by either Skel-C or Total-C thresholds (Figure 7 and Figure 8). Although a Skel-C threshold associated with decreased specificity was identified in this study, the sensitivity did not vary substantially with Skel-C thresholds. Therefore, we conclude that no significant differences in AUC values were observed between groups. Since Total-C is influenced by variables such as urine storage and soft tissue accumulation, it may not accurately represent bone uptake. Although Total-C exceeded the recommended threshold of 1.5 MC in all cases, these extraneous factors may reduce its ability to precisely reflect the actual bone count. In this study, 31 false-positive cases were reported, and approximately 42% (13 cases) had a Skel-C of less than 0.9 MC. Examples of cases with accumulation in osteophytes classified as true negatives and false positives are illustrated in Figure 9 and Figure 10, respectively.
Figure 9.
A case showing a true negative result in BONENAVI. Total-C: 2.37 million count (MC), Skel-C:1.34 MC. (a): results of BONENAVI analysis (b): computed tomography (CT) image (c): single-photon emission computed tomography (SPECT) image.
Figure 10.
A patient showing a false-positive result in BONENAVI. Total-C: 3.17 MC, Skel-C: 0.89 MC. (a): results of BONENAVI analysis (b): CT image (c): SPECT image.
In Figure 10, Skel-C is low, and the result is a false positive despite the high Total-C. As a feature of the image-analysis program, the whole-body image is subdivided into regions such as the skull, vertebrae, and pelvis. A count threshold is then established based on the counts within these regions, which are recognized as hotspots [15]. Therefore, in cases with low Skel-C, the threshold for recognizing hyperaccumulation sites within each region tends to be lower, likely increasing the likelihood of false positives. In this study, the specificity of Skel-C < 0.9 MC was approximately 64%, which we consider insufficient for the precision required by the imaging-analysis program. In bone scintigraphy, accumulating 99mTc-MDP exclusively in bone metastases is challenging, as it also accumulates in fractures, osteophytes, and osteoarthritis. Improving the ability to differentiate between bone metastases and nonspecific uptake is crucial to enhancing diagnostic accuracy. A limitation of bone scintigraphy is its low specificity [6,25]. Low specificity in bone scintigraphy may lead to incorrect identification of bone metastases, potentially resulting in misdiagnosis of prostate cancer staging and affecting subsequent treatment planning. Therefore, a test with both high sensitivity and specificity is essential. Based on the results of this study, we believe that Total-C alone may not accurately reflect the bone area count. Using both Total-C and Skel-C as complementary image quality indexes can improve diagnostic reliability. The specificity of the Skel-C 0.9 low group was significantly lower than that of the Skel-C 0.9 high group and the Total-C 1.5 high group, suggesting that imaging should be conducted with Skel-C values of 0.9 MC or higher. This study highlights the advantages of incorporating Skel-C as an image quality index in bone-scintigraphy imaging-analysis programs.
Factors that may influence Skel-C include the administered dose, post-injection waiting time, and scan speed. Increasing the administered dose is not considered an appropriate approach owing to concerns about increased radiation exposure. Based on the results of this study, we propose an approach to adjust the scan speed and post-injection waiting time to ensure adequate image counts. According to Anand et al. [24], doubling the scan speed reduces the acquired image counts by approximately 50%. Based on this observation, we formulated Equation (1) to determine the optimal scan speed.
Optimal scan speed = Preset scan speed/α
α = 0.9 MC/Lowest Skel-C value observed among the cases (unit: MC)
α = 0.9 MC/Lowest Skel-C value observed among the cases (unit: MC)
In this study, the scan speed was set at 12 cm/min, and the lowest observed Skel-C value was 0.73 MC. To meet the criterion of Skel-C > 0.9 MC, the image count would need to increase by approximately 1.233 times. Using Equation (1), the optimal scan speed was calculated to be approximately 9.73 cm/min. However, extending the scan time increases the risk of motion artifacts, potentially degrading image quality. Therefore, careful attention should be paid to each patient’s physical condition; if feasible, adjusting the scan speed may allow for higher accuracy in image analysis compared to conventional methods. Additionally, Figure 11 presents the distribution of post-injection waiting times for each group classified based on the Skel-C threshold, along with results of Wilcoxon’s rank-sum test (significance level: 5%) for statistical analysis.
Figure 11.
Distribution of post-injection waiting times and results of significance tests for each group stratified by Skel-C threshold. (*: p < 0.05, n.s.: not significant).
Figure 11 presents significant differences in post-injection waiting times among groups with Skel-C thresholds other than 1.0 MC. The post-injection waiting time was significantly longer in the Skel-C 0.9 low group than in the Skel-C 0.9 high group. Consistently, significantly longer post-administration waiting times were observed in the low Skel-C groups compared to the high Skel-C groups for both Skel-C 1.1 and Skel-C 1.2. As indicated in Table 1, the Skel-C 0.9 low group had a relatively long mean waiting time of approximately 4 h. These findings suggest that setting the post-injection waiting time to around 3–3.5 h helps maintain higher Skel-C. Numerous studies have investigated the post-injection waiting time, and variations in this time have been reported to affect the analysis results [32,33]. Ideally, imaging should be performed approximately 3–3.5 h post-injection.
This study had several limitations. We focused on prostate cancer as the subject of this study. Prostate cancer is often associated with urinary dysfunction, which may contribute to greater variability in Total-C compared to Skel-C. The relationship between Total-C and Skel-C may differ in other carcinomas, such as breast and lung cancer, compared to prostate cancer patients. Senda et al. reported that women aged 50–59 years have a particularly high accumulation in the skull [34]. Umeda et al. reported significantly lower uptake in non-metastatic sites in patients with bone metastases compared to those without [35]. If high uptake in the skull is defined as a high-uptake site similar to bone metastasis, the naturally higher uptake in the skull of middle-aged female patients could reduce uptake in other normal bone regions, potentially affecting the accuracy of the analysis. However, this was not investigated in this study. Furthermore, as this was a single-center retrospective study with a small cohort, larger multicenter collaborative studies are needed to achieve broader generalizability. In addition, this study was limited to using two types of imaging devices. The potential influence of higher or lower performance imaging devices on the collected counts was not examined, and it remains unclear how this might affect Total-C and Skel-C. It was not possible to examine in detail the effects of scan speed, dose, and variations in post-injection waiting time on Skel-C. The pattern of bone metastases may differ depending on the type of cancer, and tracer uptake may vary with age and sex. Nakajima et al. reported differences in the accuracy of image analysis program results when trained on European versus Japanese datasets [16]. This suggests that differences in ethnicity may also affect the outcomes. However, the effects of these variables on Total-C and Skel-C could not be evaluated. These variables may influence the counts and should be considered in future prospective studies to further validate the findings.
5. Conclusions
Conventional practices rely solely on Total-C as an image quality index for whole-body images in bone scintigraphy. This study introduced Skel-C, with a threshold of 0.9 MC or higher, as a new image quality indicator to enhance the accuracy of bone-scintigraphy imaging-analysis programs. Incorporating Skel-C alongside Total-C has the potential to improve diagnostic reliability and optimize the interpretation of bone-scintigraphy results.
Author Contributions
Writing—Original Draft Preparation, R.M.; Data Curation, T.T. and Y.T. (Yoshiyuki Takahashi); Supervision, K.K. and Y.T. (Yasuyuki Takahashi). All authors have read and agreed to the published version of the manuscript.
Funding
This research received no external funding.
Institutional Review Board Statement
The study was conducted in accordance with the guidelines of the Declaration of Helsinki and was approved by the Ethics Committee of Hyogo Medical University Hospital (approval number: 3779, dated 24 May 2021).
Informed Consent Statement
As this was a retrospective study for which informed consent could not be obtained, information regarding the research was disclosed on the hospital’s website as part of an “opt-out” policy. A document explaining the means to refuse participation was also made available on the website.
Data Availability Statement
The data presented in this study are available on request from the corresponding author (The data are not publicly available due to privacy or ethical restrictions).
Acknowledgments
We thank the members of the Radiological Technology Department of Hyogo Medical University Hospital and PDRadiopharma Inc. for their cooperation in this study.
Conflicts of Interest
The authors declare no conflicts of interest.
Abbreviations
ANN, artificial neural network; Skel-C, skeletal count; Total-C, total count; MC, million counts; BSI, bone scan index; SD, standard deviation; ROC, receiver operating characteristic.
References
- Nishiyama, Y.; Kinuya, S.; Kato, T.; Kayano, D.; Sato, S.; Tashiro, M.; Tatsumi, M.; Hashimoto, T.; Baba, S.; Hirata, K.; et al. Nuclear medicine practice in Japan: A report of the eighth nationwide survey in 2017. Ann. Nucl. Med. 2019, 33, 725–732. [Google Scholar] [CrossRef]
- Nakajima, K.; Edenbrandt, L.; Mizokami, A. Bone scan index: A new biomarker of bone metastasis in patients with prostate cancer. Int. J. Urol. 2017, 24, 668–673. [Google Scholar] [CrossRef] [PubMed]
- Nakashima, K.; Makino, T.; Kadomoto, S.; Iwamoto, H.; Yaegashi, H.; Iijima, M.; Kawaguchi, S.; Nohara, T.; Shigehara, K.; Izumi, K.; et al. Initial experience with radium-223 chloride treatment at the Kanazawa University Hospital. Anticancer Res. 2019, 39, 2607–2614. [Google Scholar] [CrossRef] [PubMed]
- Yonou, H.; Ogawa, Y.; Ochiai, A. Mechanism of osteoblastic bone metastasis of prostate cancer. Clin Calcium. 2006, 16, 557–564. [Google Scholar]
- Beheshti, M.; Langsteger, W.; Fogelman, I. Prostate cancer: Role of SPECT and PET in imaging bone metastases. Semin. Nucl. Med. 2009, 39, 396–407. [Google Scholar] [CrossRef] [PubMed]
- Nasibeh, M.; Nazanin, Z.; Sara, H.; Ghasemali, D.; Christian, P.; Mohsen, B. Bone Metastasis in Prostate Cancer: Bone Scan Versus PET Imaging. Semin. Nucl. Med. 2024, 54, 97–118. [Google Scholar]
- Kakehi, Y.; Sugimoto, M.; Taoka, R. Committee for establishment of the evidenced-based clinical practice guideline for prostate cancer of the Japanese Urological Association. Evidenced-based clinical practice guideline for prostate cancer (summary: Japanese Urological Association, 2016 edition). Int. J. Urol. 2017, 24, 648–666. [Google Scholar] [PubMed]
- Cornford, P.; van den Bergh, R.C.N.; Briers, E.; Van den Broeck, T.; Brunckhorst, O.; Darraugh, J.; Eberli, D.; De Meerleer, G.; De Santis, M.; Farolfi, A.; et al. EAU-EANM-ESTRO-ESUR-ISUP-SIOG Guidelines on Prostate Cancer-2024 Update. Part I: Screening, Diagnosis, and Local Treatment with Curative Intent. Eur Urol. 2024, 86, 148–163. [Google Scholar] [CrossRef] [PubMed]
- Li, D.; Lv, H.; Hao, X.; Dong, Y.; Dai, H.; Song, Y. Prognostic value of bone scan index as an imaging biomarker in metastatic prostate cancer: A meta-analysis. Oncotarget 2017, 8, 84449–84458. [Google Scholar] [CrossRef]
- Dennis, E.R.; Jia, X.; Mezheritskiy, I.S.; Stephenson, R.D.; Schoder, H.; Fox, J.J.; Heller, G.; Scher, H.I.; Larson, S.M.; Morris, M.J. Bone scan index: A quantitative treatment response biomarker for castration-resistant metastatic prostate cancer. J. Clin. Oncol. 2012, 30, 519–524. [Google Scholar] [CrossRef]
- Zhang, X.; Nakajima, K.; Mizokami, A.; Horikoshi, H.; Nishimoto, K.; Hashine, K.; Matsuyama, H.; Takahashi, S.; Wakabayashi, H.; Kinuya, S. Flare phenomenon visualized by 99mTc-bone scintigraphy has prognostic value for patients with metastatic castration-resistant prostate cancer. Ann. Nucl. Med. 2024, 38, 428–440. [Google Scholar] [CrossRef]
- Poulsen, M.H.; Rasmussen, J.; Edenbrandt, L.; Høilund-Carlsen, P.F.; Gerke, O.; Johansen, A.; Lund, L. Bone Scan Index predicts outcome in patients with metastatic hormone-sensitive prostate cancer. BJU Int. 2016, 117, 748–753. [Google Scholar] [CrossRef]
- Sadik, M.; Suurkula, M.; Höglund, P.; Järund, A.; Edenbrandt, L. Quality of planar whole-body bone scan interpretations—A nationwide survey. Eur. J. Nucl. Med. Mol. Imaging 2008, 35, 1464–1472. [Google Scholar] [CrossRef] [PubMed]
- Agatonovic-Kustrin, S.; Beresford, R. Basic concepts of artificial neural network (ANN) modeling and its application in pharmaceutical research. J. Pharm. Biomed. Anal. 2000, 22, 717–727. [Google Scholar] [CrossRef]
- Sadik, M.; Hamadeh, I.; Nordblom, P.; Suurkula, M.; Höglund, P.; Ohlsson, M.; Edenbrandt, L. Computer-assisted interpretation of planar whole-body bone scans. J. Nucl. 2008, 49, 1958–1965. [Google Scholar] [CrossRef]
- Horikoshi, H.; Kikuchi, A.; Onoguchi, M.; Sjöstrand, K.; Edenbrandt, L. Computer-aided diagnosis system for bone scintigrams from Japanese patients: Importance of training database. Ann. Nucl. Med. 2012, 26, 622–626. [Google Scholar] [CrossRef] [PubMed]
- Kikuchi, A.; Onoguchi, M.; Horikoshi, H.; Sjöstrand, K.; Edenbrandt, L. Automated segmentation of the skeleton in whole-body bone scans: Influence of difference in atlas. Nucl. Med. Commun. 2012, 33, 947–953. [Google Scholar] [CrossRef] [PubMed]
- Nakajima, K.; Nakajima, Y.; Horikoshi, H.; Ueno, M.; Wakabayashi, H.; Shiga, T.; Yoshimura, M.; Ohtake, E.; Sugawara, Y.; Matsuyama, H.; et al. Enhanced diagnostic accuracy for quantitative bone scan using an artificial neural network system: A Japanese multi-center database project. EJNMMI Res. 2013, 3, 83. [Google Scholar] [CrossRef] [PubMed]
- Sadik, M.; Suurkula, M.; Höglund, P.; Järund, A.; Edenbrandt, L. Improved classifications of planar whole-body bone scans using a computer-assisted diagnosis system: A multicenter, multiple-reader, multiple-case study. J. Nucl. Med. 2009, 50, 368–375. [Google Scholar] [CrossRef] [PubMed]
- Koizumi, M.; Miyaji, N.; Murata, T.; Motegi, K.; Miwa, K.; Koyama, M.; Terauchi, T.; Wagatsuma, K.; Kawakami, K.; Richter, J. Evaluation of a revised version of computer-assisted diagnosis system, BONENAVI version 2.1.7, for bone scintigraphy in cancer patients. Ann. Nucl. Med. 2015, 29, 659–665. [Google Scholar] [CrossRef] [PubMed]
- Koizumi, M.; Motegi, K.; Koyama, M.; Terauchi, T.; Yuasa, T.; Yonese, J. Diagnostic performance of a computer-assisted diagnosis system for bone scintigraphy of newly developed skeletal metastasis in prostate cancer patients: Search for low-sensitivity subgroups. Ann. Nucl. Med. 2017, 31, 521–528. [Google Scholar] [CrossRef] [PubMed]
- Okada, Y.; Matsushita, S.; Nakajima, Y.; Yamaguchi, K.; Okuda, I.; Kojima, Y.; Tsugawa, K. Comparison of diagnostic precision for bone metastasis of primary breast cancer between BONENAVI version 1 and BONENAVI version 2. Nucl. Med. Commun. 2019, 40, 1148–1153. [Google Scholar] [CrossRef]
- Van den Wyngaert, T.; Strobel, K.; Kampen, W.U.; Kuwert, T.; van der Bruggen, W.; Mohan, H.K.; Gnanasegaran, G.; Delgado-Bolton, R.; Weber, W.A.; Beheshti, M.; et al. The EANM practice guidelines for bone scintigraphy. Eur. J. Nucl. Med. Mol. Imaging 2016, 43, 1723–1738. [Google Scholar] [CrossRef] [PubMed]
- Anand, A.; Morris, M.J.; Kaboteh, R.; Reza, M.; Trägårdh, E.; Matsunaga, N.; Edenbrandt, L.; Bjartell, A.; Larson, S.M.; Minarik, D. A Preanalytic Validation Study of Automated Bone Scan Index: Effect on Accuracy and Reproducibility Due to the Procedural Variabilities in Bone Scan Image Acquisition. J. Nucl. Med. 2016, 57, 1865–1871. [Google Scholar] [CrossRef] [PubMed]
- Nakajima, K.; Kaneko, G.; Takahashi, S.; Matsuyama, H.; Shiina, H.; Ichikawa, T.; Horikoshi, H.; Hashine, K.; Sugiyama, Y.; Miyao, T.; et al. Role of bone scan index in the prognosis and effects of therapy on prostate cancer with bone metastasis: Study design and rationale for the multicenter Prostatic Cancer Registry of Standard Hormonal and Chemotherapy Using Bone Scan Index (PROSTAT-BSI) study. Int. J. Urol. 2018, 25, 492–499. [Google Scholar]
- Mitsui, Y.; Shiina, H.; Yamamoto, Y.; Haramoto, M.; Arichi, N.; Yasumoto, H.; Kitagaki, H.; Igawa, M. Prediction of survival benefit using an automated bone scan index in patients with castration-resistant prostate cancer. BJU. Int. 2012, 110, E628–E634. [Google Scholar] [CrossRef] [PubMed]
- Loibl, S.; André, F.; Bachelot, T.; Barrios, C.H.; Bergh, J.; Burstein, H.J.; Cardoso, M.J.; Carey, L.A.; Dawood, S.; Del Mastro, L.; et al. Early breast cancer: ESMO Clinical Practice Guideline for diagnosis, treatment and follow-up. Ann Oncol. 2024, 35, 159–182. [Google Scholar] [CrossRef]
- James, J.; Teo, M.; Ramachandran, V.; Law, M.; Ip, E.; Cheng, M. Looking for Metastasis in Early Breast Cancer: Does Bone Scan Help? A Retrospective Review. Clin Breast Cancer. 2021, 21, e18–e21. [Google Scholar] [CrossRef] [PubMed]
- Tada, K.; Kumamaru, H.; Miyata, H.; Asaga, S.; Iijima, K.; Ogo, E.; Kadoya, T.; Kubo, M.; Kojima, Y.; Tanakura, K.; et al. Characteristics of female breast cancer in japan: Annual report of the National Clinical Database in 2018. Breast Cancer. 2023, 30, 157–166. [Google Scholar] [CrossRef]
- R Core Team. _R: A Language and Environment for Statistical Computing_. R Foundation for Statistical Computing, Vienna, Austria. 2024. Available online: https://www.R-project.org/ (accessed on 1 December 2024).
- Koizumi, M.; Wagatsuma, K.; Miyaji, N.; Murata, T.; Miwa, K.; Takiguchi, T.; Makino, T.; Koyama, M. Evaluation of a computer-assisted diagnosis system, BONENAVI version 2, for bone scintigraphy in cancer patients in a routine clinical setting. Ann. Nucl. Med. 2015, 29, 138–148. [Google Scholar] [CrossRef]
- Shintawati, R.; Achmad, A.; Higuchi, T.; Shimada, H.; Hirasawa, H.; Arisaka, Y.; Takahashi, A.; Nakajima, T.; Tsushima, Y. Evaluation of bone scan index change over time on automated calculation in bone scintigraphy. Ann. Nucl. Med. 2015, 29, 911–920. [Google Scholar] [CrossRef]
- Kaboteh, R.; Minarik, D.; Reza, M.; Sadik, M.; Trägårdh, E. Evaluation of changes in Bone Scan Index at different acquisition time-points in bone scintigraphy. Clin. Physiol. Funct. Imaging 2018, 38, 1015–1020. [Google Scholar] [CrossRef] [PubMed]
- Senda, K.; Itoh, S. Evaluation of diffusely high uptake by the calvaria in bone scintigraphy. Ann. Nucl. Med. 1987, 1, 23–26. [Google Scholar] [CrossRef] [PubMed]
- Umeda, T.; Koizumi, M.; Fukai, S.; Miyaji, N.; Motegi, K.; Nakazawa, S.; Takiguchi, T. Evaluation of bone metastatic burden by bone SPECT/CT in metastatic prostate cancer patients: Defining threshold value for total bone uptake and assessment in radium-223 treated patients. Ann. Nucl. Med. 2018, 32, 105–113. [Google Scholar] [CrossRef] [PubMed]
Disclaimer/Publisher’s Note: The statements, opinions and data contained in all publications are solely those of the individual author(s) and contributor(s) and not of MDPI and/or the editor(s). MDPI and/or the editor(s) disclaim responsibility for any injury to people or property resulting from any ideas, methods, instructions or products referred to in the content. |
© 2025 by the authors. Licensee MDPI, Basel, Switzerland. This article is an open access article distributed under the terms and conditions of the Creative Commons Attribution (CC BY) license (https://creativecommons.org/licenses/by/4.0/).










