Next Article in Journal
From Virtual Substitution to Phygital Extension: A Strategic Framework for the Tourism Metaverse in Thailand
Previous Article in Journal
Determinants of Wellness Tourism Development in Emerging Hot Spring Destinations: Evidence from Allelobad Hot Spring, Ethiopia Using SEM
Previous Article in Special Issue
Image-Based Analysis of Tourist Destination Perceptions: A Deep Learning and Spatial–Temporal Study in Slovenia
 
 
Font Type:
Arial Georgia Verdana
Font Size:
Aa Aa Aa
Line Spacing:
Column Width:
Background:
Article

Insights from Football Stadiums as Tourist Destinations Using Online User Reviews

by
Vasiliki Matika
*,
Alkiviadis Panagopoulos
and
Ioannis A. Nikas
Tourism Information Systems & Forecasts Laboratory, Department of Tourism Management, University of Patras, GR26334 Patras, Greece
*
Author to whom correspondence should be addressed.
Tour. Hosp. 2026, 7(3), 76; https://doi.org/10.3390/tourhosp7030076
Submission received: 16 January 2026 / Revised: 19 February 2026 / Accepted: 4 March 2026 / Published: 9 March 2026
(This article belongs to the Special Issue Sustainability of Tourism Destinations)

Abstract

Over the past 20 years, trends in the construction or renovation of football stadiums have undergone rapid transformation. Simple sports venues are constantly evolving into multifunctional facilities and play a decisive role in shaping cities’ image. To date, significant emphasis has been placed on developing stadiums as venues for sporting events, with a focus on supply-side perspectives, particularly in relation to design, marketing, and sustainability. However, we know relatively little about how the direct consumers of this product, the visitors to these facilities, experience and perceive these infrastructures, especially outside of match days. This paper follows a framework for researching this perspective, focusing on the services provided as key points of interest in stadium tourism, and on the written reactions on social networks. This framework is implemented by employing a set of well-known single-word themes, matching each review to these themes, and finally measuring the sentiment of the collected short texts as an implicit indicator of sentiment on the studied themes. Its realization is based on natural language processing, semantic similarity analysis, and sentiment evaluation to identify dominant themes, recurring lexical patterns, and emotional tones in visitor comments. The study concerns thirteen major European stadiums and reviews posted on Google and TripAdvisor. The research findings highlight the themes that shape a unique tourist experience, capturing tourist interests in stadium tourism in the post-COVID-19 era. Finally, the individual evaluation of the themes provides practical and clear tools for stadium managers, tourism operators, destination managers and legislators who seek to maximize visitor engagement and multiply the overall socio-economic value of these iconic infrastructures for the benefit of the wider urban environment that hosts them.

1. Introduction

In recent decades, the approach to building new stadiums has changed radically, both because of the need to replace aging facilities and because of the emergence of new football clubs seeking to establish their identity through their home ground. This new trend is due to changing socioeconomic conditions, but also to the modern demands of sports (Paramio et al., 2008). Luxury and an improved fan experience have become defining features of modern stadiums (Rockerbie, 2024). Safety issues have played a key role in shaping sports infrastructure, as the past violent incidents at football matches have led to stricter regulations and government intervention (Ginesta, 2016; Paramio et al., 2008).
At the same time, various economic pressures, sports marketing, technological innovation, and the requirements of global events and activities have significantly contributed to the transformation of stadium design and its multi-functionality. Significant investments have enhanced both visitors’ experience and stadium efficiency (Fried & Kastel, 2020; Ginesta, 2016; Lee et al., 2015).
Many large American and European stadiums now operate as platforms for promoting their brand throughout the year, offering, among other things, hospitality services and products aimed at attracting visitors-consumers outside of match days (Brochado et al., 2021; Ramos et al., 2022). Services such as stadium tours, visits to club museums, and the availability of retail stores, restaurants, and cafes offer complementary experiences, providing visitors with access to both the front and back-end of the main “stage” of a stadium (Brochado et al., 2021). Hence, stadiums have become an integral part of the tourism marketing strategies of both football clubs and the cities that host them, offering multidimensional and high-quality experiences to visitors/tourists to an urban destination (Ginesta, 2016; Edensor et al., 2021; Ramos et al., 2022). This new role for stadiums transforms infrastructure into attractive landmarks, incorporates strategic tourism alliances, invests in sponsorship opportunities, such as naming rights, and participates in new cooperation programs to gain visitor loyalty that goes beyond traditional participation (Vrondou, 2022).
In addition, emphasis is placed on sustainability, which is fundamentally considered from the early stages of design and construction, as well as on contemporary architectural trends. The sustainability of stadiums is closely linked to the effective use of sports facilities after events, since the very high construction and maintenance cost requires investments that are not fully recouped by match-day spectator attendance alone (Fried & Kastel, 2020). In this context, there is a growing tendency to renovate existing stadiums to meet sustainability requirements (Khashaba & Rehan, 2020). The renovation of stadiums requires a multidisciplinary approach that addresses social, environmental, and economic dimensions to enhance comfort and quality of life and reduce waste production (Trachte & Salvesen, 2014).
On the other hand, this transformation is followed by increasing challenges, such as economic, environmental, and social changes, while it competes with the rapid growth of other entertainment venues (Paramio et al., 2008; Lee et al., 2012; Ginesta, 2016). The demand for modern, sustainable, and attractive tourist destinations, combined with the impact of new technologies and continuous improvements in venue management, has led to the construction of increasingly luxurious stadiums that attract millions of tourists throughout the year, serving as multifunctional entertainment platforms (Ginesta, 2016).
However, academic interest in stadium tourism is considered insufficient, despite the increasing efforts of clubs to promote their facilities as tourist destinations, both on match days and outside of them, and despite the growing global appeal of football, star players, major events, and large, multi-functional stadiums (Oliveira et al., 2021; Brochado et al., 2021; Edensor et al., 2021).
Some papers highlight the broader role of sports tourism in enhancing the image of a destination (Andersson et al., 2021; Chang et al., 2021). However, it is only recently that football-related tourism has begun to be studied, with the first studies appearing in 2003 (Oliveira et al., 2021). More recent studies have used bibliometric approaches to examine its relationship with sustainable development (Jiang & Jiang, 2024), while reviews of sports tourism provide the necessary framework for understanding the phenomenon (Mollah et al., 2021; Kumar et al., 2023; Arici et al., 2023). It is worth noticing that most studies have explored the topic from the supply side (Ginesta, 2016; Brochado et al., 2021; Ramshaw & Gammon, 2010; Ramshaw et al., 2013).
It is clear that football stadiums should be further investigated as primary hubs of football tourism, particularly from visitors’ perspectives, focusing on the post-COVID-19 pandemic period. Tourist experiences and their sentiment impact, as experienced on match days, and especially outside them, also need more study and analysis (Brochado et al., 2021; Ramos et al., 2022; Edensor et al., 2021; Darko et al., 2023). Thus, this paper aims to enrich the existing literature by exploring visitors’ experiences of stadium visits, measuring the sentiment impact of those experiences.
More specifically, this study aims to examine the sentiment impact of visitors’ experiences at a football stadium on well-defined themes known to be related to football stadiums. The research is focused on comments posted on well-known online review platforms by visitors to eight (8) major European and five (5) Greek football stadiums. The main selection criteria were the UEFA ranking and UEFA star-quality of stadiums/stadium capacity. The objectives of this study are summarized in the following research questions:
Q1. What are the main themes that emerge from online reviews of selected football stadiums? Do the findings confirm the themes identified in the literature?
Q2. Which themes are most frequently mentioned?
Q3. What is the sentiment impact on visitors for each of these themes?
Q4. Are there differences in the preferences and experiences of visitors between the European and Greek stadiums studied?
The article is structured as follows. The subsequent section reviews the relevant literature, followed by a detailed description of the methodological framework. Data analysis employs a mixed text-mining approach applied to football stadium reviews from well-known and widely used platforms, such as Google and TripAdvisor. The adopted strategy is based on natural language processing (NLP) techniques, semantic similarity algorithms, and sentiment analysis. In depth, the proposed process begins with the lexical expansion of the adopted themes and generates comprehensive keyword sets for each theme. These sets are then used to match the used comments to the members of the theme set and consequently to the themes themselves. The next step is to apply sentiment analysis, using a dictionary-based approach to represent experience sentiment as a numeric value. This combination of sentiment analysis and theme-based matching enables the measurement of sentiment for each theme. The article concludes with the presentation of research findings, a discussion of their practical implications, and suggestions for future research.

2. Materials and Methods

2.1. Literature Review

As the tourism industry increasingly focuses on providing exciting and memorable experiences, growing competition among destinations has led to the need to create value through distinctive and differentiated experiential offerings (Neuhofer et al., 2015). This shift coincided with a broader transformation of the global economy, moving from a service-based model to an experience-based model, triggering an increasing academic interest in the nature of these tourism experiences and supporting the development of interdisciplinary approaches to their study (H. Zhang et al., 2018). Since then, tourism experiences have been examined from various scientific perspectives, from consumer behavior to phenomenology and sociology, with researchers recognizing the subjective and personal nature of these experiences (Otto & Ritchie, 1996; Knobloch et al., 2017).
In the context of football tourism, the tourist experience has been identified as an important factor in understanding their motivations, preferences, and behaviors. Football-related travelers exhibit a wide range of profiles and a variety of reasons for visiting, including participation in sporting events, watching matches, and participating in nostalgia-based activities such as stadium tours and visits to iconic football landmarks (Gibson, 1999; Higham, 2005). The connection between the experience and the “place,” as mediated through the physical stadium space and the atmosphere of the sports facilities, has been recognized as a vital element in shaping meaningful and immersive tourist experiences (Higham, 2005).
Enhancing the attractiveness of stadium facilities is a priority for sports teams, which often extend their offerings beyond their core product, the games, by providing complementary experiences and services (Ginesta, 2016). Thus, a visit to a stadium can be described by a multidimensional set of factors, including visitor characteristics, the social and physical environment, which collectively shape the overall visitor experience (Kaplanidou et al., 2012). From a marketing perspective, Berry (2000) emphasizes the importance of customer experience in shaping perceptions of service providers, which in this case extends to the image of the team itself. Ross (2006) argues that the image of a team is significantly influenced by the quality of services provided to fans.
Ramos et al. (2022) point out that football stadiums provide visitors with an opportunity to dive into the emotional and symbolic meaning of these places, which are often linked to the historic achievements of their favorite athletes and teams. This aspect of sports tourism, which invites individuals to engage with their memories and imagination, represents a unique position in the broader landscape of tourism (Cordina et al., 2019). As Humphreys (2019) notes, stadium tours are a form of recreation that offers personal satisfaction and emotional fulfillment. Regardless of watching live matches, visitor satisfaction is primarily based on the opportunity to enjoy an authentic behind-the-scenes experience (Gammon & Fear, 2005).
According to Brochado et al. (2021), the holistic nature of tours of football stadiums and museums includes not only distinct physical spaces but also varied experiences at different points in time. Visitors often associate these tours with the historical achievements of the clubs, while at the same time projecting their expectations for future success. These expectations motivate football clubs to expand the use of their facilities, enhancing their financial sustainability and creating memorable moments for visiting fans, promoting their involvement and co-creation of content (Brochado et al., 2021). Furthermore, the emotional intensity experienced by fans during these visits highlights their central role in shaping a competitive tourist destination. Thus, rather than relying solely on technological simulations, these tours create a form of “virtual emotional reality” in which captivating emotional experiences evoke a dreamlike state filled with intense emotional bonds.
The image of a team, understood as the sum of consumers’ associations and attitudes toward a team, is largely shaped by previous experiential interactions (Papadimitriou et al., 2016). Whenever offering experiences go beyond passively watching a game, fans’ loyalty to their team is strengthened (Woratschek et al., 2020). Positive experiences in the stadium environment can reinforce brand memory and cultivate positive attitudes toward the team (Biscaia et al., 2016). Keller (1993) emphasizes that brand experiences delineate the basis for the cognitive associations that consumers develop, which are crucial for brand formation. Therefore, the team, which acts as the main service provider during the stadium experience, plays a decisive role in shaping consumer perceptions and brand loyalty (Berry, 2000). Ultimately, visitors are likely to associate their stadium experience directly with the team’s brand, reinforcing the strategic importance of managing the quality and design of such experiences.
Despite growing interest in football stadium tourism, only a few studies have focused on the multifaceted and multi-layered experiences that these offers. These include, among other things, commercial activities such as retail shopping (Bale, 2000), the organization of corporate events (Lee et al., 2015; Stevens & Wootton, 1997), and the hosting of private events such as weddings and family celebrations (Ginesta, 2016). Other studies have examined the use of stadiums as concert venues (Zinganel, 2010) or as platforms for promoting health and wellness activities (Ramshaw, 2017). At the same time, scholars have focused on integrating tourist experiences within the wider stadium environment, particularly through sports halls of fame, stadium tours, and museums (Gammon & Fear, 2005; Ramshaw & Gammon, 2010). According to Proctor and Bordoloi (2023), multi-layered experiences not only promote leisure and corporate products and services, but also appeal to “heritage customers,” that is, visitors interested in the history, culture, and nostalgia surrounding sports. Darko et al. (2023) examined the satisfaction of stadium visitors through service quality analysis, using a text mining technique, highlighting the need to understand audience’s preferences.
Oliveira et al. (2024) examined the tourist experience offered by the “Camp Nou Experience” service, highlighting the role of the stadium as a leading football-related attraction, leveraging existing literature and managerial insights. The key elements shaping the experience include professionally guided tours, technological amenities, and the strong global brand identity of the club. In conclusion, the “Camp Nou Experience” service illustrates how football clubs can transform stadiums into global tourist destinations that combine cultural heritage, entertainment, and commerce, while enhancing both cultural value and economic strength and resilience. In this direction, Brochado et al. (2021) examined visitor reviews posted on TripAdvisor for 10 top European football stadiums and identified 15 key factors that shape visitor experiences, namely fans, tours, stadium infrastructure, the team, museums, staff, and catering services. They argue that these factors are critical to optimizing stadium utilization and enhancing fan engagement, although their continued relevance in the post-COVID-19 context requires further investigation. Similarly, Edensor et al. (2021) examined TripAdvisor visitor reviews of 44 English football stadiums through thematic analysis, revealing the function of stadiums as sites of pilgrimage and heritage, restaurants, and venues with prosaic and functional attributes. They suggested future research on the subject after the COVID-19 pandemic, in more diverse stadiums, using alternative algorithms and techniques. Ramos et al. (2022) analyzed reviews of 17 European stadiums and highlighted the relationship between visitor experiences, their satisfaction, and the brands of both the teams and the cities that host them, suggesting that future works should consider less-recognized destinations globally and incorporate additional platforms. Overall, these studies underscore the importance of investigating how experiences shape the role of stadiums as tourist attractions and their broader contribution to destination development, particularly on non-match days.

2.2. Methodology

Online reviews can be briefly defined as public evaluations of various products and services posted on online platforms to share positive or negative opinions and experiences (Pocchiari et al., 2025). The content of online reviews can provide a large set of data about the experiences of stadium visitors, whether they are watching a match or enjoying complementary services, retail products, and hospitality services, offering additional benefits such as spontaneity, reliability, and accessibility (Brochado et al., 2021). Beyond describing behavior and experiences, online reviews provide a variety of data, facts, opinions, impressions, emotions, and attitudes of visitors (Ye et al., 2014; Edensor et al., 2021), offering researchers valuable insights into the visitor experience. Online reviews, considered either as data or as forms of electronic word-of-mouth, hold important information for businesses, either in multimedia form or as numerical ratings (Pocchiari et al., 2025).
This study focused on this valuable data source and examined the online narratives posted and shared by visitors (Brochado et al., 2021; Ramos et al., 2022; Edensor et al., 2021) to some of the most significant football stadiums in Europe and Greece, including match days and non-match-day experiences. As Ramos et al. (2022) highlighted “a guest’s review regarding a visit within a particular game event context, a supplemental service (like the club’s museum), or a tour outside of an event could not be thoroughly dissected. Some stadiums may find it easier to separate these services than others because many stadiums are now multipurpose spaces that promote several sub-brands in addition to sporting activities”. Moreover, according to official sources, e.g., football clubs’ official websites, and existing literature (Ginesta, 2016; Brochado et al., 2021; Gammon & Fear, 2005), various services, such as stadium tours and museums, are explicitly offered on non-match days. Therefore, it can be assumed that the experiences that are related to these services should be consumed on non-match days. To this end, existing theoretical frameworks with known thematic categories, concerning both match and non-match days, were used (deductive method of producing results), while allowing for new themes as they emerged from the data analysis (inductive method of producing results), thereby improving the validity and reliability of the results (Fereday & Muir-Cochrane, 2006; Y. Zhang & Wildermuth, 2009; Proudfoot, 2023).
Initially, thematic frameworks related to the experiences developed during visits to football stadiums were adopted from the existing literature: Brochado et al. (2021), Ramos et al. (2022), Edensor et al. (2021), Panagopoulos et al. (2025), Panchanathan et al. (2017), van Heck et al. (2021), and Proctor and Bordoloi (2023). Then, some new thematic objects were mined and introduced from the wider literature about stadium tourism, namely nostalgia, backstage (the word associated with “behind the scenes”), social, impact (“social impact” was the proposed phrase), and legacy (Table 1).
The primary criterion for selecting the research subjects, the football stadiums, was the UEFA ranking list of football teams (UEFA, 2024). The geographical location of these stadiums was the second criterion: in this study, purely European and purely Greek stadiums were selected. The second criterion is introduced to enable a comparative study of a global market, such as European football, and a relatively small one, such as Greek football, with different tourist experiences and stadium characteristics, etc. European stadiums were selected based on the UEFA rankings of the respective football teams as the most prominent European football brands, hosted in top-quality stadiums (UEFA, 2024), while Greek stadiums were selected based on their capacity and ranking as UEFA star-quality stadiums (Wikipedia, 2025). Accordingly, the following eight most important European stadiums and five most important Greek stadiums were selected (Table 2a,b).
The online reviews used in this study were collected between August and November 2025 from the online platforms TripAdvisor and Google. These reviews document the post-visit experience at the aforementioned football stadiums. TripAdvisor and Google are the largest and most popular travel platforms (Su & Teng, 2018; Edensor et al., 2021; Ramos et al., 2022). Initially, TripAdvisor was selected as the main data source, as, it is regarded as the “premier” source for social media research in the hospitality and travel industry (Xiang et al., 2018). But in the case of Greek stadiums, data collected from both Google and TripAdvisor, since the number of reviews were insufficient for this research. Mellinas and Sicilia (2024) pointed out that “the findings clearly indicate that Google has greater potential to accumulate reviews” as well as “destinations tend to have higher ratings on Google than on TripAdvisor”. So, it stands to reason to supplement our data set using Google platform. Furthermore, the higher ratings on Google somewhat mitigate the differences among European and Greek Stadiums. So given this data, any observed difference will be established due to “more favorable” ratings of Greek stadiums. The TripAdvisor/Google data ratio is as follows: Olympic Stadium/OAKA 62/1077, Karaiskaki Stadium 114/412, OPAP Arena 16/427, Toumpa Stadium 100/357, AEL Arena 0/283.
Collectively, these reviews constitute the core dataset for this study, that is, the recorded experiences of visitors to the selected stadiums (Figure 1).

2.3. Research Framework

The proposed methodological design is described in Figure 2 and consists of a mixed approach combining text-mining and analysis processes, implemented in the R programming language (version 4.5.1) (R Core Team, 2025). In the first step of preprocessing, the collected reviews were translated into English (where necessary) using automatic translation tools. For this research, the built-in “Translate” tool in Microsoft 365 was used and specifically DETECTLANGUAGE and TRANSLATE functions of MS Excel. In cases where the total number of reviews did not exceed 2000, they were translated regardless of the language in which they were written. Reviews that were not written in English and numbered fewer than 50 were not included. Then, the data was “cleaned” following the basic procedure below: removing formatting, tokenization, text normalization, handling punctuation, removing stop words, stemming and lemmatization (Chai, 2023): all punctuation marks, numbers, and unnecessary spaces were deleted, each review was converted to lowercase, and common English keywords were removed so that the study could focus on keywords with content of interest. In natural language processing, preprocessing the text is necessary to ensure consistency and minimize linguistic noise. Furthermore, text preprocessing is essential, as it increases the accuracy of subsequent stages of semantic and sentiment analysis and the reliability of keyword matching (Silge & Robinson, 2017).
The second step of the analysis consists of the process of theme definition and keyword expansion. In addition to the well-known thematic frameworks found in the literature review (Table 1), additional themes were proposed following an initial screening of the reviews, which were assumed to be part of the visitors’ experience. It should be noted that the additional themes do not affect the validity of the overall process. The methodology used analyzes each comment independently, allowing researchers to explore a variety of themes without necessarily having evidence of their significance. Thus, in the experiments of this study, a set of 46 single-word themes was used, as described in Table 3. Non-single-word themes (multidimensional thematic frameworks), e.g., safety–security, commercial opportunities, were considered as distinct words or replaced with a single one. Each of the themes used represents a dimension of the experience of visitors at a football stadium.
The one-dimensional nature of the proposed thematic framework (Table 1) imposed limitations on language coverage and the lexical variety used in the actual reviews. For this reason, the proposed themes were expanded by generating keywords that semantically describe them. This expansion was implemented using a pre-trained 50-dimensional vector space for word representation, the Global Vectors for Word Representation (GloVe) model (Pennington et al., 2014). For each theme, semantically related words were identified by cosine similarity between the vector representation of the theme and all other word vectors in the GloVe embedding space. The nearest neighbor approach was used instead of a fixed cosine similarity threshold to ensure a consistent number of keywords per theme. Based on this similarity ranking, the ten most semantically similar words were selected as candidate keywords for each theme (Manning et al., 2008). This procedure is grounded on the distributional hypothesis, which argues that words with similar meanings tend to occur in similar linguistic contexts (Firth, 1957). To maintain conceptual clarity and reduce overlap among themes, candidate keywords that were identical to the themes in Table 3 were excluded. The resulting expanded keyword sets were subsequently reviewed by the authors to ensure their relevance within the tourism and hospitality context.
In the third step of the analysis, each review was assigned to a theme or to several themes. The assignment was performed using a lexicon-based content analysis approach, allowing reviews to be assigned to multiple themes based on the presence of keywords. Reviews that did not contain any of the keywords were identified as “Unclassified”.
A frequency analysis was then carried out in two stages. In the first stage, the frequency of the themes in Table 1 was calculated for each stadium in order to identify the most important facets of the visitors’ experience. In the second stage, word-frequency analysis was performed on all reviews for each stadium to capture visitors’ expressive patterns and commonly used vocabulary. The purpose of this analysis was to identify the aspects of the visitor experience that are most frequently mentioned in user reviews. By examining the distribution of themes across the entire dataset, thematic frequency analysis allows for the identification of dominant dimensions of experience and recurring patterns in visitor perceptions (Marine-Roig, 2017).
In the final step, sentiment analysis was performed using a general dictionary-based approach, specifically the syuzhet method (Jockers, 2017), to assign a continuous sentiment score to each review. The syuzhet method relies on a pre-compiled sentiment dictionary in which individual words are assigned continuous polarity scores reflecting their positive or negative emotional valence. For each comment each word is matched to the lexicon and compute a sentiment score by summing the individual word values. The resulting sentiment score is a continuous numeric value, where positive values indicate overall positive emotional tone and negative values indicate negative tone. The raw output is not constrained to the interval [−1, 1], as it represents the aggregate sum of word-level sentiment scores, and therefore, longer texts may yield larger absolute values. In this study, theme-level sentiment was calculated by averaging comment-level sentiment scores within each theme. This approach was used to evaluate the overall sentiment tone and reactions expressed through visitor reviews.

3. Results

Forty-six single-word themes were used to implement the proposed methodological framework. Each collected review can potentially be matched to any number of themes, theoretically, from none to all. Some themes are not worth mentioning, as very few reviews were mapped on them.
To ensure that analyses of each stadium were meaningful, ranking lists were introduced. A ranking list corresponds to a stadium and contains themes sorted based on the total number of reviews assigned to them. We then arbitrarily considered only the top ten themes from each ranking list. At the end of this function, a total of 19 out of 46 themes were considered to be the most prominent for this study, as presented in Table 4 (Table A1 and Table A2 in the Appendix A presents the frequencies of all studied themes across all stadiums). The first column of Table 4 lists the considered themes, the second shows the frequency of theme occurrences in ranking lists, and the third shows the weighted average sentiment per theme across all stadiums, while the fourth and fifth columns present the average sentiment per theme in European and Greek stadiums, respectively.
Based on the results of Table 4, we can make the following initial observations:
  • The themes team, experience, place, and game were spotted in 13 stadiums.
  • The themes room, opportunity, and fan appeared in 12 stadiums.
  • The theme events was located in 8 stadiums.
  • The themes seating and legacy were spotted in 6 stadiums.
  • The theme dining was found in 5 stadiums.
  • The theme stadium appeared in 4 stadiums.
  • The themes ticket and service were discussed in 3 stadiums.
  • The theme tour was spotted in 2 stadiums.
  • The themes shop, museum, heritage, and attraction were located in 1 stadium each.
The most dominant emerging themes are presented in Table 5. It is evident that the application of the proposed framework results in well-known and validated themes found in existing literature. The “legacy” theme is thoroughly analyzed in an Olympic stadium framework (Preuss & Plambeck, 2021) and was initially considered as possible thematic dimension in stadium tourism.
Following the above findings, visitors are interested in a variety of themes, perhaps due to the distinct characteristics of each stadium, such as age and services provided (Ramos et al., 2022). Themes related to the core activities of the stadiums and the football experience (team, place, game, and experience) were discussed across all thirteen stadiums, indicating their fundamental role in shaping the visitor experience. These themes are consistently associated with relatively high sentiment scores across all stadiums, regardless of their geographical location, highlighting the centrality of sporting action, team identity, and overall experience quality in visitor ratings.
Themes related to visitor engagement and spatial experience (room, opportunity, and fan) were also prevalent across 12 stadiums. Among these, fan and experience scored particularly highly on the sentiment scale, suggesting that emotional engagement and participatory aspects of stadium visits are key factors in visitors’ positive perceptions.
Themes such as events, seating, and legacy were discussed in a moderate number of stadiums (six to eight). Despite their lower frequency compared to the core themes, these dimensions received high sentiment scores, particularly in European stadiums. The strong emotions associated with legacy suggest that the historical and symbolic narratives of stadiums can elicit significant emotional responses, even when not widely discussed. Similarly, seating consistently achieved a high sentiment score, suggesting that comfort and viewing quality remain important factors for visitor satisfaction when explicitly addressed.
Hospitality-related themes, such as dining, appeared in only five stadiums but achieved some of the highest overall sentiment scores in the dataset. This pattern underscores the importance of the food and beverage experience in the stadium environment, reinforcing its role as a value-adding element to the visitor experience.
Themes related to ancillary services (service, tour, and shop) appeared in relatively few stadiums. However, when they did appear, these themes were associated with particularly high sentiment scores, especially in Europe. This finding suggests that complementary services, although not widely discussed, can significantly improve emotional ratings when provided effectively.
Themes such as museum, heritage, and attraction appeared only once each, but were associated with the highest sentiment scores in the table. This result highlights the potential of cultural and educational activities to cause strong positive emotional reactions, even when they constitute specialized elements of the overall stadium experience.
Another interesting finding is that the proposed theme “legacy” appeared highly on the ranking lists, showing high positive levels of emotional excitement. According to the Cambridge Dictionary, “legacy” is “something that is a part of your history or that remains from an earlier time” (dictionary.cambridge.org). Furthermore, according to the Merriam-Webster dictionary, “legacy is something transmitted by or received from an ancestor or predecessor or from the past… relating to, associated with, or carried over from an earlier time, technology, business, etc.” (merriam-webster.com).
In stadium tourism, legacy refers to the consequences of using stadiums after a sporting event (Fang & Wan, 2014). Preuss and Plambeck (2021) developed a conceptual framework for stadium legacy consisting of four dimensions and twelve functions that an Olympic property may exhibit. Sant et al. (2013) conceptualized the legacy of Olympic tourism in Vancouver. Sant and Mason (2015) identified potential legacies arising from the events in Vancouver during the Olympic bid. Bama and Tichaawa (2020) explored mega-events and stadium legacies in South Africa. Essex and Latuf de Oliveira Sanchez (2024) examined the concepts of sustainability and legacies from cities that hosted the Summer Olympic Games, 2012–2024. Romano et al. (2023) investigated the legacy and impact of major sporting events in Brazil. Bondarik et al. (2020) identified the legacy of the 2014 World Cup in Brazil in terms of tourism development and urban mobility.
The above findings reveal an academic tendency to evaluate the forms of legacy left behind at stadiums after major sporting events. According to the results of this study, interest in stadium legacy is strong in football venues beyond major sporting events and, moreover, beyond football matches.
Remark 1. 
Although we limited the studied themes (we selected the 10 most dominant in each stadium and then the union of them formulate the proposed thematic framework), almost every theme occurs in every stadium except ticket, tour and shop, which occur in 12 (in all European and in 4 Greek stadiums), and museum in 11 stadiums (in all European and in 3 Greek stadiums). It is clear from Table A1 and Table A2 (Appendix A), especially in European stadiums, that all themes were reviewed by visitors, sometimes with less and sometimes with more intensity. For example, the “legacy” theme, appears only in 6 stadiums in the top ten ranking lists, however the average ranking across all stadiums is 10.15 and the average number of corresponding reviews is 365.23 across all stadiums (13), while for “attraction” theme, the average ranking is 16.77 and the average number of reviews is 104.31 across all stadiums (13). On the other hand, there are themes that exist in almost all stadiums but do not seem to “concern” a large portion of visitors, e.g., the “museum” theme is ranked at 29.18, with 75.18 reviews on average, while “heritage” theme is ranked at 24.77 and has 43.31 reviews on average (Appendix A, Table A3).
In the second part of the analysis, the dominant themes in European and Greek stadiums were considered separately. In other words, the themes that appeared at least once in the top 10 of the European stadiums ranking lists were considered themes of interest, followed by the themes that appeared at least once in the top 10 of the Greek stadiums ranking lists.
In the first case, the thematic framework consisted of 15 themes (Table 6), including “legacy”. Visitors to European stadiums showed a common interest in team, room, place, opportunity, game, fan, and experience. This trend suggests a balanced interest in multiple themes that shape the tourist experience at European stadiums. The themes events, dining, and seating were an important factor in shaping the experience at about half of the stadiums, whereas in a few stadiums, visitors showed interest in tickets, legacy, stadium, tour, and service. The differences recorded in the latter themes indicate organizational differences among stadiums’ management, as the characteristics of each stadium shape the opinion and interest of visitors.
In the second case, the thematic framework consists of 17 themes (Table 7), including “legacy” as well. Visitors to Greek football stadiums show interest in topics related to team, place, game, and experience (these themes appeared in all 5 stadiums), room, opportunity, and fan (4 stadiums), legacy and events (3 stadiums), stadium, service, and seating (2 stadiums), and tour, shop, museum, heritage, and attraction (1 stadium). The strong interest in the team and the game indicates that visitors to Greek stadiums tend to consider themselves part of the team, especially during the game, while also paying attention to the physical environment (place), without neglecting the importance of the overall experience. Thus, visitors’ attention is mainly focused on the characteristics of the match day, and their impressions are shaped by these elements. Next, the themes of room, opportunity, and fan suggest that for visitors, spatial conditions are just as important as the available opportunities (e.g., shops, access, etc.), enhanced by the atmosphere and environment of the fans. Issues such as legacy, events, and service, which are mentioned in 3 of the 5 stadiums, suggest that visitors are also interested in specialized topics and emotions, while the themes of tour, shop, museum, heritage, and attraction are at the bottom of the ranking lists, indicating the distinct characteristics of each Greek stadium (age, owner, activities organized there, etc.).
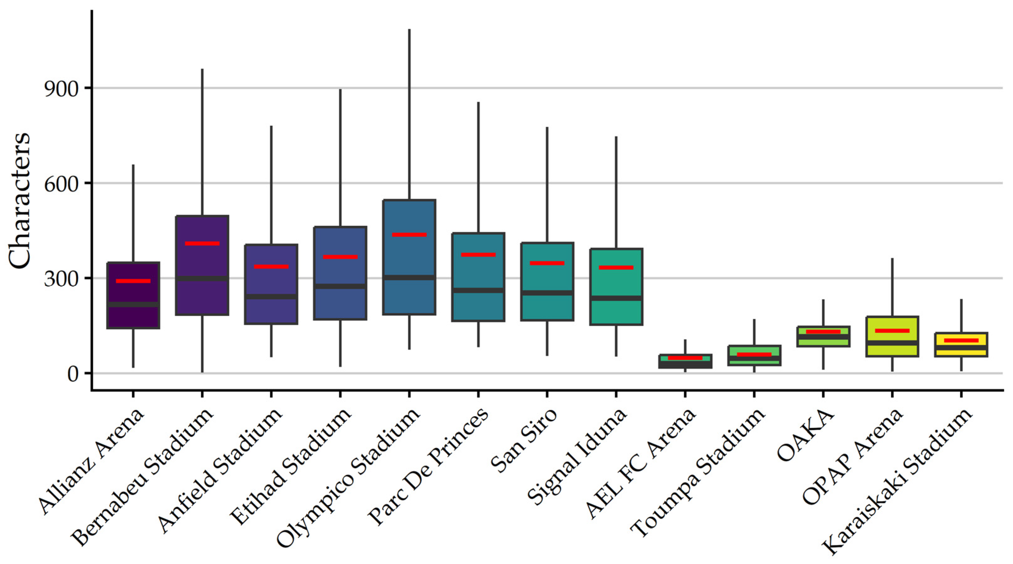
Although the overall thematic structure of stadium visitors’ experiences is largely similar across European and Greek stadiums, there are clear differences in terms of the dominance of themes, the intensity of emotions, and the expression of criticism. Key thematic elements of the experience (team, place, game, and experience) are consistently present in both analyses, confirming their universal significance. However, their frequency is lower in Greek stadiums, suggesting a less uniform expression of these dimensions. The themes of participation and space (fan, room, and opportunity) are also discussed less consistently in Greek stadiums, although they maintain a positive sentiment when present. A notable deviation concerns hospitality: dining is moderately common and is evaluated very positively in European stadiums, but it is absent from Greek stadiums, suggesting differences in the integration or importance of food and beverage services. In contrast, Greek stadiums reveal specialized themes related to culture and cultural heritage (museum, heritage, and attraction), which are absent from European stadiums but are associated with some of the highest sentiment scores, suggesting a strong emotional response where they are found. In almost all common themes, the sentiment scores for Greek stadiums are consistently lower than those observed for European stadiums, regardless of the resulting thematic context (Figure 3). Although the empirical dimensions are largely comparable, the emotional intensity expressed in reviews of Greek stadiums appears to be more moderate. This difference is further reflected in the significantly higher number of unclassified reviews for Greek stadiums, which often consist of very short, slogan-like expressions referring to favorite teams (e.g., “PAOKARA,” “only AEK”), while reviews of European stadiums tend to be longer, more descriptive, and emotionally expressive. Overall, these findings suggest that regional differences in stadium experiences are due less to a lack of empirical data and more to differences in expressive culture, emotional engagement, service quality, infrastructure maturity, and visitor expectations. The differences in expressive culture among fans visiting European and Greek stadiums are presented in Figure 4, which shows a descriptive analysis of the reviews’ lengths (the red line indicates the average characters used).

4. Discussion

Existing online reviews regarding visitors at football stadiums reveal a wide variety of themes, beyond the match experience, which can shape a unique tourist experience, ranging from topics related to the team, the game, and the atmosphere created by the fans to functional and cultural elements and characteristics, such as service, legacy, dining, and shopping (Q1).
Visitors’ experiences at European stadiums were analyzed across a range of themes, essential for providing a holistic experience. In Greek stadiums, visitors’ interests vary and focus primarily on matchday experiences and the characteristics of each venue. The different emotional impact on satisfaction between visitors to European and Greek stadiums suggests differences in sports venues depending on their age, management, and ownership, and the products and services they offer. Topics such as dining, legacy, fans, experience, and services elicit the strongest positive emotional responses in European stadiums visitors, while museums, shops, and fan experiences elicit the most intense positive emotions in Greek ones (Q2).
The thematic and sentiment analyses provide a comprehensive understanding of the opinions, preferences, and prior experiences of visitors to European and Greek football stadiums. The well-developed and organized facilities at European stadiums impress visitors, while, in contrast, Greek stadiums receive relatively lower ratings and reactions, suggesting that despite interest in certain aspects, such as museums and shops, the overall experience remains low (Q3).
All European stadiums offer a well-organized and balanced experience, enhanced by complementary features such as quality services and various attractions, which influence the intensity of visitors’ emotions. Greek stadiums offer various services and products, usually to a limited extent, which leads to lower visitor satisfaction. Additionally, the excitement in Greek stadiums results from features such as fan and museums, mainly from the experience of match days (Q4).
Overall, the study’s findings underscore the importance of providing a multidimensional and well-integrated stadium experience to enhance visitor enjoyment and engagement, as well as to attract a wide range of visitors, fans, and tourists. Thus, this information can provide valuable guidance for managers and tourism professionals seeking improvements and attractive tourist experiences at football stadiums.

5. Conclusions

5.1. Policy and Managerial Implications

The findings have various implications for the studied stadiums’ managers and policymakers in the tourism sector. The significance of team-, game-, experience-, and fan-related themes (ranking/reviews: 2.38/1021.69, 3.77/732, 4.54/585.69 and 6.08/511.69 respectively—Appendix A, Table A3) underscores the importance of maintaining and enhancing the core athletic and emotional elements of stadium visits. Investments aimed at enhancing the atmosphere, fan engagement, and experience design are likely to yield consistently positive results across all destinations.
Themes related to backstage stadium experiences, such as tour, room, and events (ranking/reviews: 14.67/241.67, 7.62/524.15, and 9.62/307.46 respectively—Appendix A, Table A3), appear in relatively high rankings, generating positive feelings among visitors. The increased interest in behind-the-scenes activities at the studied stadiums, given that these are offered outside of match days, points the way to the creation of new services for visitors, expanding the activities offered at these entities.
Finally, we have consistently observed lower sentiment scores in all Greek stadiums. The indications of a different mode of expression among visitors to the Greek stadiums studied (Figure 4) reveal a different culture in the way services are evaluated by them, as well as in the way they express themselves through the online platforms used. The managers and administrators of Greek stadiums should take this into account in order to better understand visitors and offer more targeted and improved services.

5.2. Limitations—Future Work

The use of single-word thematic frameworks constitutes a limitation of the proposed analysis, as they lack the depth required to explain the underlying meaning or patterns across the entire dataset.
However, the severity of this limitation is reduced by allowing reviews to be assigned to multiple single-word themes. Furthermore, the results of this study confirm recent research employing single-word themes.
In future work, the researchers should focus on combining single-word themes with the proposed matching process to obtain results comparable to those obtained with phrasal themes. Furthermore, they may also consider incorporating multi-word or phrasal themes, as well as alternative topic-modeling methodologies, to unveil richer and more nuanced meanings.
In addition, data from a wider range of sources could be employed, and more diverse football stadiums could be studied.

Author Contributions

Conceptualization, V.M., A.P. and I.A.N.; methodology, V.M., A.P. and I.A.N.; software, I.A.N.; validation, V.M., A.P. and I.A.N.; formal analysis, V.M., A.P. and I.A.N.; investigation, V.M. and I.A.N.; resources, V.M. and I.A.N.; data curation, V.M. and I.A.N.; writing—original draft preparation, V.M.; writing—review and editing, V.M., A.P. and I.A.N.; visualization, I.A.N. All authors have read and agreed to the published version of the manuscript.

Funding

This research received no external funding.

Institutional Review Board Statement

Not applicable.

Informed Consent Statement

Not applicable.

Data Availability Statement

Restrictions apply to the availability of these data. Data were obtained from TripAdvisor and Google platforms of user-generated reviews and are subject to the platforms’ terms of use. The authors cannot redistribute the data that are used solely for research purposes.

Conflicts of Interest

The authors declare no conflict of interest.

Appendix A

Table A1. Review frequencies (FRQ) and average sentiment (SNT) for all European and Greek stadiums (Part A).
Table A1. Review frequencies (FRQ) and average sentiment (SNT) for all European and Greek stadiums (Part A).
Etihad StadiumAllianz ArenaBernabéuParc de Princes St.Anfield StadiumStadio Olimpico San Siro Stadium
NoTHMFRQSNTTHMFRQSNTTHMFRQSNTTHMFRQSNTTHMFRQSNTTHMFRQSNTTHMFRQSNT
1Place47943.72place70362.30place55422.87Place9612.28place74233.11Place16651.93place57771.35
2Team15054.63team24612.83team30613.40Game3712.59team24113.58Game6132.34team18582.33
3Experience12864.45stadium21472.60game17573.56Team3542.60game19263.65Team5162.19game12062.43
4Game12044.46game16302.78room15483.55Experience2372.87experience16854.07Experience4202.75room10482.34
5Opportunity9314.70room15192.88opportunity14343.72Fan2203.05legacy15383.74opportunity3872.34opportunity7772.46
6Fan8584.98experience13203.15legacy12613.62Opportunity1952.55opportunity14414.17Fan3842.85experience7752.87
7Room7814.76opportunity12352.90seating12133.66Room1582.29Fan13364.03Tour3562.05fan7612.79
8Legacy5795.15fan11233.20experience11883.73Ticket1202.81room11244.17Room2842.38seating6542.38
9Dining5105.33events8202.78dining11823.69Events1192.51dining9494.50events2682.41dining6072.44
10Seating4865.21dining7613.19fan11653.89Service1173.10seating7294.33ticket2332.72events5702.42
11Events4384.44ticket7603.03stadium9043.77Stadium852.51events6263.96service1622.53legacy5012.56
12Service4354.79seating7503.22ticket7883.60Shop782.73tour4824.20social1052.01ticket4362.22
13Tour3964.50service6002.89events7343.77Legacy712.58service4724.68legacy1032.29service3902.81
14Stadium3723.60tour6002.75service5103.57Seating682.76ticket4223.89seating1031.93tour3582.44
15Staff3585.70shop5812.70image4714.27Tour653.09staff4035.11stadium992.52attraction2412.73
16Shop2515.20legacy4363.35tour4453.84Dining612.89shop3764.82attraction932.81shop2372.36
17Backstage2415.08recommend3443.07shop3653.81Attraction403.48image3634.71Shop863.35stadium2042.19
18Ticket2154.47attraction3013.14staff2974.09Functions383.13stadium3303.97infrastructure852.00staff2023.08
19Recommend2085.40social2272.89destination2244.25Image373.23museum3174.34Staff762.46infrastructure2012.13
20Image1585.87staff2253.61functions2054.05Staff352.98functions2363.95functions712.93functions1552.33
21Functions1484.41destination2202.81museum1904.01Destination332.89recommend2364.21Destination623.05heritage1282.87
22Hospitality1124.78impact2202.53attraction1874.39Social302.92impact1913.71image622.44recommend1232.96
23Corporate1065.75functions1963.12recommend1843.91Infrastructure221.78attraction1904.37impact602.99image1223.08
24Impact1034.92hospitality1912.69infrastructure1102.43Safety221.78backstage1594.65dining482.14economy1201.91
25Attraction955.59image1843.48impact1064.24Food201.80corporate1445.79heritage462.73destination1193.05
26Destination905.03infrastructure1522.92revenues1064.18impact183.14destination1383.69Hospitality432.51social992.48
27Social885.12food1322.97hospitality984.30recommend163.35heritage1224.47recommend413.17impact982.30
28Heritage676.48revenues1182.62food974.19heritage152.49infrastructure1134.08economy351.43museum922.58
29Infrastructure625.40museum1093.31corporate934.06economy141.43hospitality1105.47Operation352.05hospitality862.90
30Strategy625.25strategy963.09heritage874.87museum122.83food1004.98safety342.07revenues832.63
31Museum615.05business673.34strategy793.59revenues121.55strategy784.84Accessibility231.48food693.57
32Efficiency605.68backstage583.33business683.88backstage113.46social674.15strategy202.40safety623.00
33Food534.09corporate564.43social673.87hospitality113.91revenues623.85commerce180.88strategy523.11
34Business525.49safety553.00pilgrimage464.39security101.52business605.04efficiency163.56efficiency443.36
35Safety504.12efficiency543.57operations363.24accessibility93.28efficiency585.31revenues162.57business433.84
36Revenues344.62operations532.44efficiency354.76business92.42pilgrimage532.94Food143.20operations333.12
37Operations294.62heritage473.39backstage335.28loyalty82.49safety434.30loyalty142.04accessibility252.73
38Loyalty287.85economy403.49safety304.11operations72.09operations364.95business113.96loyalty212.88
39Security236.42accessibility352.12loyalty276.42strategy71.84loyalty335.78museum102.93security192.00
40Accessibility193.67commerce273.85security264.21efficiency62.71security275.61corporate70.91backstage173.55
41Technology177.23loyalty264.00accessibility254.48technology51.85technology205.30security75.02pilgrimage174.21
42Economy154.48security224.76economy232.70commerce41.68economy177.81nostalgia65.24commerce152.12
43Commerce133.87technology204.06commerce203.95corporate40.91commerce123.74backstage42.29corporate144.93
44Pilgrimage53.73pilgrimage162.50technology194.88pilgrimage21.98nostalgia124.13Technology32.10nostalgia63.13
45Nostalgia13.05sustainability93.74nostalgia54.16 accessibility113.54Pilgrimage20.50technology55.16
46 nostalgia22.18Unclassified4 sustainability27.28
Table A2. Review frequencies (FRQ) and average sentiment (SNT) score for all European and Greek stadiums (Part B).
Table A2. Review frequencies (FRQ) and average sentiment (SNT) score for all European and Greek stadiums (Part B).
Signal Iduna ParkOPAP ArenaOlympic Stadium/OAKAKaraiskaki StadiumAEL ArenaToumpa Stadium
NoTHMFRQSNTTHMFRQSNTTHMFRQSNTTHMFRQSNTTHMFRQSNTTHMFRQSNT
1Place19012.35place4341.48place10570.69place5151.23place2320.56place4340.76
2Team7892.77team602.02experience1471.52team931.80Team280.84fan731.72
3Game5932.87fan452.64events1110.97fan692.18experience210.90team620.99
4Fan5713.18legacy452.44team841.17experience581.88Unclassified20 game391.22
5experience4033.37experience392.88game831.20game471.66game120.79experience351.54
6opportunity2863.12game352.39opportunity731.21legacy301.72Fan100.69legacy330.57
7Ticket2563.13room342.06stadium541.21service282.11service72.01attraction211.39
8Events2522.79opportunity262.59room490.53shop231.80stadium60.48events200.81
9Stadium2472.72museum212.71tour480.72opportunity192.02Room4−0.19heritage171.78
10Room2373.23events191.97seating470.78room191.32seating40.14opportunity171.74
11Seating1422.93shop192.48service451.05events181.57heritage31.58Unclassified14
12attraction1393.09attraction171.77fan371.15ticket151.39opportunity30.68room90.69
13Tour1313.42stadium140.95social330.74attraction131.65events2−1.13infrastructure80.66
14Service1263.24food132.04legacy261.72heritage121.23hospitality20.13service81.34
15Legacy1233.41functions131.20dining251.13hospitality91.50Legacy20.88ticket80.48
16Dining1043.09service133.75image250.56food82.10Safety20.75shop61.63
17Staff973.62seating112.76staff191.18safety81.13Social20.33impact50.80
18functions882.84infrastructure93.09accessibility180.89tour81.79Accessibility10.95social40.60
19recommend823.26dining82.69attraction182.14dining72.24Attraction10.60food31.93
20destination693.38safety81.36efficiency141.35recommend72.76Business1−0.50loyalty30.90
21Shop643.20tour81.58functions131.89staff72.39Dining13.95nostalgia30.67
22Social623.47heritage71.54hospitality131.56Unclassified7 Economy11.15safety32.00
23hospitality472.65staff71.64destination121.70infrastructure60.53Efficiency11.30stadium30.42
24infrastructure413.20hospitality62.30impact110.93loyalty61.88Food10.00tour30.53
25Impact313.25loyalty62.60food100.69stadium61.42Infrastructure1−0.40dining21.78
26economy274.43destination52.40heritage92.02image51.43 efficiency21.63
27Image273.20social51.75infrastructure91.58seating51.56 functions2−0.15
28Safety252.50business31.85safety90.61social51.28 hospitality2−0.05
29business233.41image33.42shop71.23accessibility32.13 image20.13
30revenues232.98recommend33.67business61.13efficiency33.12 pilgrimage20.38
31backstage223.78strategy31.38loyalty60.36strategy32.98 recommend21.60
32strategy223.55Unclassified3 operations60.67business21.60 seating21.78
33food183.45accessibility21.43security60.13commerce22.05 staff21.58
34commerce173.52impact21.20ticket61.78destination20.50 accessibility11.70
35corporate176.22nostalgia24.95strategy52.32impact23.20 corporate11.70
36efficiency144.94operations20.83corporate42.75security21.18 destination10.25
37loyalty143.70security21.63revenues4−0.18museum10.00 economy11.15
38museum133.79corporate11.90recommend32.23nostalgia10.60 operations13.15
39operations134.80economy11.90commerce13.40operations10.50 revenues11.55
40security93.14efficiency12.25museum13.40pilgrimage12.30 strategy1−0.10
41pilgrimage83.28pilgrimage1−3.40 revenues12.00
42technology72.70sustainability11.75
43accessibility44.05technology11.75
44heritage34.50ticket12.85
45nostalgia24.18
46
Table A3. Themes’ average ranking and average number of reviews across all, European and Greek stadiums.
Table A3. Themes’ average ranking and average number of reviews across all, European and Greek stadiums.
TotalEuropeGreece
ThemeAvg RankAvg RevsAvg RankAvg RevsAvg RankAvg Revs
team2.381021.692.251619.382.665.4
place12905.4614387.381534.4
game3.7773231162.5543.2
experience4.54585.695914.253.860
room7.62524.156.63837.389.223
opportunity6.92524.925.63835.75927.6
fan6.08511.696.63802.255.246.8
events9.62307.4610478.38934
seating14324.1510.75518.1319.213.8
legacy10.15365.2310.88576.5927.2
dining15.46328.0812.75527.7519.88.6
stadium13.38343.9212.25548.515.216.6
ticket *16.42271.6711.5403.7526.257.5
service11.92224.0812.5351.51120.2
tour *14.67241.6713354.131816.75
shop *16.17174.4216.25254.751613.75
museum **29.1875.1829.38100.528.677.67
heritage24.7743.313064.3816.49.6
attraction16.77104.3118.5160.751414
* Data are referred to 12 stadiums. ** Data are referred to 11 stadiums.

References

  1. Andersson, S., Bengtsson, L., & Svensson, A. (2021). Mega-sport football events’ influence on destination images: A study of the of 2016 UEFA European football championship in France, the 2018 FIFA world cup in Russia, and the 2022 FIFA world cup in Qatar. Journal of Destination Marketing & Management, 19(2), 100536. [Google Scholar] [CrossRef]
  2. Arici, H. E., Aydin, C., Koseoglu, M. A., & Sokmen, A. (2023). Sports tourism research: A bibliometric analysis and agenda for further inquiry. Tourism and Hospitality Research, 25(3), 1–15. [Google Scholar] [CrossRef]
  3. Bale, J. (2000). The changing face of football: Stadiums and communities. Soccer & Society, 1(1), 91–101. [Google Scholar] [CrossRef]
  4. Bama, H. K. N., & Tichaawa, T. M. (2020). Mega-event and stadium legacies in the global south: The case of South Africa. In New directions in South African tourism geographies (pp. 129–145). Springer. [Google Scholar] [CrossRef]
  5. Berry, L. (2000). Cultivating service brand equity. Journal of the Academy of Marketing Science, 28, 128–137. [Google Scholar] [CrossRef]
  6. Biscaia, R., Ross, S., Yoshida, M., Correia, A., Rosado, A., & Marôco, J. (2016). Investigating the role of fan club membership on perceptions of team brand equity in football. Sport Management Review, 19(2), 157–170. [Google Scholar] [CrossRef]
  7. Bondarik, R., Pilatti, L. A., & Horst, D. J. (2020). Sports mega-events and overestimated promises: The case of the 2014 FIFA world cup in Brazil. Journal of Tourism and Cultural Change, 18(3), 351–367. [Google Scholar] [CrossRef]
  8. Brochado, A., Brito, C., Bouchet, A., & Oliveira, F. (2021). Dimensions of football stadium and museum tour experiences: The case of Europe’s most valuable brands. Sustainability, 13(12), 6602. [Google Scholar] [CrossRef]
  9. Chai, C. P. (2023). Comparison of text preprocessing methods. Natural Language Engineering, 29(3), 509–553. [Google Scholar] [CrossRef]
  10. Chang, M.-X., Choong, Y.-O., Ng, L.-P., & Seow, A.-N. (2021). The importance of support for sport tourism development among local residents: The mediating role of the perceived impacts of sport tourism. Leisure Studies, 41(1), 420–436. [Google Scholar] [CrossRef]
  11. Cho, H., Chiu, W., & Tan, X. D. (2021). Travel overseas for a game: The effect of nostalgia on satellite fans’ psychological commitment, subjective well-being, and travel intention. Current Issues in Tourism, 24(10), 1418–1434. [Google Scholar] [CrossRef]
  12. Cordina, R., Gannon, M., & Croall, R. (2019). Over and over: Local fans and spectator sport tourist engagement. The Service Industries Journal, 39(7–8), 590–608. [Google Scholar] [CrossRef]
  13. Darko, A. P., Liang, D., Zhang, Y., & Kobina, A. (2023). Service quality in football tourism: An evaluation model based on online reviews and data envelopment analysis with linguistic distribution assessments. Annals of Operations Research, 325, 185–218. [Google Scholar] [CrossRef] [PubMed]
  14. Edensor, T., Millington, S., Steadman, C., & Taecharungroj, V. (2021). Towards a comprehensive understanding of football stadium tourism. Journal of Sport & Tourism, 25(3), 217–235. [Google Scholar] [CrossRef]
  15. Essex, S., & Latuf de Oliveira Sanchez, R. (2024). The achievement of sustainability and legacies by the host cities of the Summer Olympiads, 2012–2024. Planning Perspectives, 39(3), 595–613. [Google Scholar] [CrossRef]
  16. Fang, J. W., & Wan, D. (2014). Utilization of Beijing Olympic stadiums and development of the Asian Olympic business district. Applied Mechanics and Materials, 587–589, 57–62. [Google Scholar] [CrossRef]
  17. Fereday, J., & Muir-Cochrane, E. (2006). Demonstrating rigor using thematic analysis: A hybrid approach of inductive and deductive coding and theme development. International Journal of Qualitative Methods, 5(1), 80–92. [Google Scholar] [CrossRef]
  18. Firth, J. R. (1957). Applications of general linguistics. Transactions of the Philological Society, 56(1), 1–14. [Google Scholar] [CrossRef]
  19. Fried, G., & Kastel, M. (2020). Managing sport facilities. Human Kinetics. [Google Scholar]
  20. Gammon, S., & Fear, V. (2005). Stadia tours and the power of backstage. Journal of Sport & Tourism, 10(4), 243–252. [Google Scholar] [CrossRef]
  21. Gibson, H. J. (1999). Sport tourism: The rules of the game. Parks & Recreation, 34(6), 36. [Google Scholar]
  22. Ginesta, X. (2016). The business of stadia: Maximizing the use of Spanish Football venues. Tourism and Hospitality Research, 17(4), 411–423. [Google Scholar] [CrossRef]
  23. Higham, J. (2005). Sport tourism as an attraction for managing seasonality. Sport in Society, 8(2), 238–262. [Google Scholar] [CrossRef]
  24. Humphreys, C. (2019). The city of sport: London’s stadiums as visitor attractions. In A. Smith, & A. Graham (Eds.), Destination London: The expansion of the visitor economy (pp. 91–116). University of Westminster Press. [Google Scholar] [CrossRef]
  25. Jiang, G., & Jiang, S. (2024). Mapping the football tourism for sustainable development goals: A bibliometric approach to understand research agenda. Journal of Sport Psychology, 33(3), 137–154. [Google Scholar]
  26. Jockers, M. (2017). Introduction to the Syuzhet package. The Comprehensive R Archive Network. Available online: https://cran.r-project.org/web/packages/syuzhet/vignettes/syuzhet-vignette.html (accessed on 10 September 2025).
  27. Kaplanidou, K., Jordan, J., Funk, D., & Ridinger, L. (2012). Recurring sport events and destination image perceptions: Impact on active sport tourist behavioral intentions and place attachment. Journal of Sport Management, 26(3), 237–248. [Google Scholar] [CrossRef]
  28. Keller, K. L. (1993). Conceptualizing, measuring, and managing customer-based brand equity. Journal of Marketing, 57(1), 1–22. [Google Scholar] [CrossRef]
  29. Khashaba, S., & Rehan, G. (2020). Architectural renovation of stadiums as a new vision for sustainability case study (renovation of Castelão Arena stadium, Brazil & Soldier field stadium, Chicago). Architecture and Planning Journal (APJ), 25(1), 7. [Google Scholar] [CrossRef]
  30. Knobloch, U., Robertson, K., & Aitken, R. (2017). Experience, emotion, and eudaimonia: A consideration of tourist experiences and well-being. Journal of Travel Research, 56(5), 651–662. [Google Scholar] [CrossRef]
  31. Kumar, N. R., Pavithra, R., Yuvaraj, V., & Kumar, T. M. (2023). The role of smart tourism in India for optimizing visitor experiences through technology. JIMS8I International Journal of Information Communication and Computing Technology, 11(2), 692–701. [Google Scholar] [CrossRef]
  32. Lee, S. S., Kim, J., & Parrish, C. (2012). Are you ready for the extra inning? An exploratory study of the evaluation of professional sport teams’ website as a marketing tool to prospective meeting/event customers. Journal of Convention and Event Tourism, 13(4), 270–289. [Google Scholar] [CrossRef]
  33. Lee, S. S., Parrish, C., & Kim, J. H. (2015). Sports stadiums as meeting and corporate/social event venues: A perspective from meeting/event planners and sport facility administrators. Journal of Quality Assurance in Hospitality & Tourism, 16(2), 164–180. [Google Scholar] [CrossRef]
  34. List of football stadiums in Greece. (2025). Available online: https://en.wikipedia.org/wiki/List_of_football_stadiums_in_Greece (accessed on 17 October 2025).
  35. Manning, C. D., Raghavan, P., & Schütze, H. (2008). Introduction to information retrieval. Cambridge University Press. [Google Scholar]
  36. Marine-Roig, E. (2017). Measuring destination image through travel reviews in search engines. Sustainability, 9(8), 1425. [Google Scholar] [CrossRef]
  37. Mellinas, J. P., & Sicilia, M. (2024). Comparing google reviews and TripAdvisor to help researchers select the more appropriate information source. Consumer Behavior in Tourism and Hospitality, 19(7), 646–655. [Google Scholar] [CrossRef]
  38. Mollah, M. R. A., Cuskelly, G., & Hill, B. (2021). Sport tourism collaboration: A systematic quantitative literature review. Journal of Sport & Tourism, 25(1), 3–25. [Google Scholar] [CrossRef]
  39. Morfoulaki, M., Myrovali, G., Kotoula, K.-M., Karagiorgos, T., & Alexandris, K. (2023). Sport tourism as driving force for destinations’ sustainability. Sustainability, 15, 2445. [Google Scholar] [CrossRef]
  40. Neuhofer, B., Buhalis, D., & Ladkin, A. (2015). Smart technologies for personalized experiences: A case study in the hospitality domain. Electronic Markets, 25(3), 243–254. [Google Scholar] [CrossRef]
  41. Oliveira, J. R., Tobar, F., & Capraro, A. M. (2021). Football tourism: A bibliometric analysis of published works in the tourism-based journals (2003–2019). Journal of Sport and Tourism, 24(4), 317–335. [Google Scholar] [CrossRef]
  42. Oliveira, J. R., Uvinha, R. R., Silveira, C. E., & Capraro, A. M. (2024). Football tourism: Constructing and managing the camp nou experience as a local sporting tourist attraction. PODIUM Sport, Leisure and Tourism Review, 13(2), 221–249. [Google Scholar] [CrossRef]
  43. Otto, J. E., & Ritchie, J. R. B. (1996). The service experience in tourism. Tourism Management, 17(3), 165–174. [Google Scholar] [CrossRef]
  44. Panagopoulos, A., Matika, V., Nikas, I. A., & Paraschi, E. P. (2025). A comprehensive Structural Framework for Smart Stadiums as Essential Components of Smart Tourism Destinations. Worldwide Hospitality and Tourism Themes, 17(1), 106–119. [Google Scholar] [CrossRef]
  45. Panchanathan, S., Chakraborty, S., McDaniel, T., Tadayon, R., Fakhri, B., O’Connor, N. E., Marsden, M., Little, S., McGuinness, K., & Monaghan, D. (2017). Enriching the fan experience in a smart stadium using internet of things technology. International Journal of Semantic Computing, 11(2), 1–34. [Google Scholar] [CrossRef]
  46. Papadimitriou, D., Apostolopoulou, A., & Kaplanidou, K. (2016). Participant-based brand image perceptions of international sport events: The case of the universiade. Journal of Convention & Event Tourism, 17(1), 1–20. [Google Scholar] [CrossRef]
  47. Paramio, J. L., Buraimo, B., & Campos, C. (2008). From modern to postmodern: The development of football stadia in Europe. Sport in Society, 11(5), 517–534. [Google Scholar] [CrossRef]
  48. Pennington, J., Socher, R., & Manning, C. D. (2014). GloVe: Global vectors for word representation. In Proceedings of the 2014 conference on empirical methods in natural language processing (EMNLP) (pp. 1532–1543). Association for Computational Linguistics. [Google Scholar] [CrossRef]
  49. Pocchiari, M., Proserpio, D., & Dover, Y. (2025). Online reviews: A literature review and roadmap for future research. International Journal of Research in Marketing, 42(2), 275–297. [Google Scholar] [CrossRef]
  50. Preuss, H., & Plambeck, A. (2021). Utilization of Olympic stadiums: A conceptual stadium legacy framework. International Journal of Sports Marketing and Sponsorship, 22(1), 10–31. [Google Scholar] [CrossRef]
  51. Proctor, D., & Bordoloi, P. (2023). Beyond the 90 minutes: Football, tourism and hospitality. Research in Hospitality Management, 13(1), 35–43. [Google Scholar] [CrossRef]
  52. Proudfoot, K. (2023). Inductive/deductive hybrid thematic analysis in mixed methods research. Journal of Mixed Methods Research, 17(3), 308–326. [Google Scholar] [CrossRef]
  53. Ramos, R. F., Biscaia, R., Moro, S., & Kunkel, T. (2022). Understanding the importance of sport stadium visits to teams and cities through the eyes of online reviewers. Leisure Studies, 42(1), 693–708. [Google Scholar] [CrossRef]
  54. Ramshaw, G. (2017). Sport heritage and the healthy stadia agenda: An overview. Sport in Society, 20(2), 219–225. [Google Scholar] [CrossRef]
  55. Ramshaw, G., & Gammon, S. (2010). On home ground? Twickenham stadium tours and the construction of sport heritage. Journal of Heritage Tourism, 5(2), 87–102. [Google Scholar] [CrossRef]
  56. Ramshaw, G., Gammon, S., & Huang, W.-J. (2013). Acquired pasts and the commodification of borrowed heritage: The case of the Bank of America Stadium tour. Journal of Sport Tourism, 18, 17–31. [Google Scholar] [CrossRef]
  57. R Core Team. (2025). R: A language and environment for statistical computing [Computer software]. R Foundation for Statistical Computing. Available online: https://www.R-project.org/.
  58. Rockerbie, D. (2024). Revenue sharing in professional sports leagues. Encyclopedia, 4(3), 1173–1187. [Google Scholar] [CrossRef]
  59. Romano, F. S., Vico, R. P., & Uvinha, R. R. (2023). Legacies and impacts of sports mega-events in Brazil: São Paulo as a host city for football matches. Local Economy, 38(4), 327–346. [Google Scholar] [CrossRef]
  60. Ross, S. (2006). A conceptual framework for understanding spectator-based brand equity. Journal of Sport Management, 20(1), 22–38. [Google Scholar] [CrossRef]
  61. Sant, S.-L., & Mason, D. S. (2015). Event legacy in a prospective host city: Managing Vancouver’s Olympic bid. Journal of Sport Management, 29, 42–56. [Google Scholar] [CrossRef]
  62. Sant, S.-L., Mason, D. S., & Hinch, T. D. (2013). Conceptualising Olympic tourism legacy: Destination marketing organisations and Vancouver 2010. Journal of Sport & Tourism, 18(4), 287–312. [Google Scholar] [CrossRef]
  63. Silge, J., & Robinson, D. (2017). Text mining with R: A tidy approach. O’Reilly Media. [Google Scholar]
  64. Stevens, T., & Wootton, G. (1997). Sports stadia and arena: Realizing their full potential. Tourism Recreation Research, 22(2), 49–56. [Google Scholar] [CrossRef]
  65. Su, Y., & Teng, W. (2018). Contemplating museums’ service failure: Extracting the service quality dimensions of museums from negative on-line reviews. Tourism Management, 69, 214–222. [Google Scholar] [CrossRef]
  66. Trachte, S., & Salvesen, F. (2014). Sustainable renovation of non-residential buildings, a response to lowering the environmental impact of the building sector in Europe. Energy Procedia, 48, 1512–1518. [Google Scholar] [CrossRef]
  67. UEFA. (2024). UEFA Rankings. Available online: https://www.uefa.com/nationalassociations/uefarankings/club/?year=2024 (accessed on 23 July 2025).
  68. van Heck, S., Valks, B., & Den Heijer, A. (2021). The added value of smart stadiums: A case study at Johan Cruijff Arena. Journal of Corporate Real Estate, 23(2), 130–148. [Google Scholar] [CrossRef]
  69. Vrondou, O. (2022). Sport venues evolving to tourism and hospitality giants? Proof of dynamic tendency. In V. Katsoni, & A. C. Şerban (Eds.), Transcending borders in tourism through innovation and cultural heritage (pp. 791–802). Springer Proceedings in Business and Economics. Springer. [Google Scholar] [CrossRef]
  70. Woratschek, H., Horbel, C., & Popp, B. (2020). Determining customer satisfaction and loyalty from a value co-creation perspective. The Service Industries Journal, 40(11–12), 777–799. [Google Scholar] [CrossRef]
  71. Xiang, Z., Du, Q., Ma, Y., & Fan, W. (2018). Assessing reliability of social media data: Lessons from mining TripAdvisor hotel reviews. Information Technology & Tourism, 18(1–4), 43–59. [Google Scholar] [CrossRef]
  72. Ye, Q., Li, H., & Law, R. (2014). The influence of hotel price on perceived service quality and value in E-tourism: An empirical investigation based on online traveler reviews. Journal of Hospitality and Tourism Research, 38(1), 23–51. [Google Scholar] [CrossRef]
  73. Zhang, H., Wub, Y., & Buhalis, D. (2018). A model of perceived image, memorable tourism experiences and revisit intention. Journal of Destination Marketing & Management, 8, 326–336. [Google Scholar] [CrossRef]
  74. Zhang, Y., & Wildermuth, B. M. (2009). Qualitative analysis of content. In B. M. Wildemuth (Ed.), Applications of social research methods to questions in information and library science (pp. 1–12). Libraries Unlimited. [Google Scholar]
  75. Zinganel, M. (2010). The stadium as cash machine. In S. Frank, & S. Steets (Eds.), Stadium worlds: Football, space and built environment (pp. 77–97). Routledge. [Google Scholar]
Figure 1. The number of reviews used for the European (blue) and Greek (orange) stadiums.
Figure 1. The number of reviews used for the European (blue) and Greek (orange) stadiums.
Tourismhosp 07 00076 g001
Figure 2. The used research framework.
Figure 2. The used research framework.
Tourismhosp 07 00076 g002
Figure 3. Comparison of average sentiment score for European and Greek stadiums.
Figure 3. Comparison of average sentiment score for European and Greek stadiums.
Tourismhosp 07 00076 g003
Figure 4. Visitor reviews’ length analysis for European and Greek stadiums.
Figure 4. Visitor reviews’ length analysis for European and Greek stadiums.
Tourismhosp 07 00076 g004
Table 1. Existing concepts and thematic frameworks on stadium tourism.
Table 1. Existing concepts and thematic frameworks on stadium tourism.
AuthorsThematic Framework
Panagopoulos et al. (2025)technology, accessibility, commercial opportunity, customer service, entertainment, engagement, operational efficiency, safety/security, sustainability
Morfoulaki et al. (2023)social impact
Proctor and Bordoloi (2023)hospitality, business, corporate, heritage, dining, museum, tour, events
Ramos et al. (2022)experience, team brand image, destination image
Brochado et al. (2021)fan, tour, stadium, team, museum, room, staff, game, (best) place, ticket, seating, recommendation, food, shop, attraction
Cho et al. (2021)Nostalgia
Edensor et al. (2021)museum, restaurant, pilgrimage, heritage, service
Preuss and Plambeck (2021)Legacy
van Heck et al. (2021)economy, infrastructure, strategy, functions, revenues
Panchanathan et al. (2017)entertainment, service, commerce, safety/security, sustainability
Table 2. (a). Target population: European Stadiums. (b). Target population: Greek Stadiums.
Table 2. (a). Target population: European Stadiums. (b). Target population: Greek Stadiums.
(a)
UEFA RankingFootball ClubLeagueCountryStadium
1Manchester CityPremier LeagueUKEtihad Stadium
2Bayern MunichBundesligaGermanyAllianz Arena
3Real MadridLa LigaSpainBernabéu Stadium
4Paris Sain-Germain FCLigue 1FranceParc de Princes St.
5Liverpool FCPremier LeagueUKAnfield Stadium
6Roma FC, Lazio FCSerie AItalyStadio Olimpico
7Milan FC, Inter FCSerie AItalySan Siro Stadium
8Borussia DortmundBundesligaGermanySignal Iduna Park
(b)
Stadium CapacityFootball ClubLeagueCountryStadium
1Panathinaikos FCSuper League GreeceOlympic Stadium/OAKA
2Olympiacos FCSuper League GreeceKaraiskaki Stadium
3AEK FCSuper League GreeceOPAP Arena
4PAOK FCSuper League GreeceToumpa Stadium
5AEL FCSuper League GreeceAEL Arena
Table 3. The proposed thematic framework on stadium tourism sorted in alphabetical order.
Table 3. The proposed thematic framework on stadium tourism sorted in alphabetical order.
accessibility, attraction, backstage, business, commerce, corporate, destination, dining, economy, efficiency, events, experience, fan, food, functions, game, heritage, hospitality, image, impact, infrastructure, legacy, loyalty, museum, nostalgia, operations, opportunity, pilgrimage, place, recommend, revenues, room, safety, seating, security, service, shop, social, stadium, staff, strategy, sustainability, team, technology, ticket, tour
Table 4. Theme frequencies and average sentiment score for European and Greek stadiums.
Table 4. Theme frequencies and average sentiment score for European and Greek stadiums.
ThemeFrequencyTotalEuropeGreece
team133.1633.2061.443
place132.4652.5820.922
game133.213.251.475
experience133.5593.6341.727
room123.3233.3621.099
opportunity123.4793.5171.634
fan123.5993.6611.897
events83.1723.2641.102
seating63.5563.5961.14
legacy63.6043.6611.666
dining53.7373.7581.693
stadium42.983.0161.099
ticket33.2273.2461.272
service33.5363.5991.782
tour23.2693.3240.943
shop13.5583.6011.943
museum13.893.9262.626
heritage13.884.0891.636
attraction13.493.5871.71
Table 5. The proposed thematic framework on stadium tourism.
Table 5. The proposed thematic framework on stadium tourism.
Proposed Thematic FrameworkValidation
(commercial) opportunity, (customer) servicePanagopoulos et al. (2025)
events, dining, heritage, museum, service, tourProctor and Bordoloi (2023)
ExperienceRamos et al. (2022)
attraction, fan, game, museum, place, room, seating, shop, stadium, team, ticket, tourBrochado et al. (2021)
legacyPreuss and Plambeck (2021)
heritage, museum, serviceEdensor et al. (2021)
ServicePanchanathan et al. (2017)
Table 6. Frequencies and average sentiment for all stadiums based on European stadiums.
Table 6. Frequencies and average sentiment for all stadiums based on European stadiums.
ThemeFrequencyTotalEuropeGreece
team83.1633.2061.443
place82.4652.5820.922
game83.213.251.475
experience83.5593.6341.727
room83.3233.3621.099
opportunity83.4793.5171.634
fan83.5993.6611.897
events53.1723.2641.102
dining53.7373.7581.693
seating43.5563.5961.14
legacy33.6043.6611.666
ticket33.2273.2461.272
stadium22.983.0161.099
service13.5363.5991.782
tour13.2693.3240.943
Table 7. Frequencies and average sentiment for all stadiums based on Greek stadiums.
Table 7. Frequencies and average sentiment for all stadiums based on Greek stadiums.
ThemeFrequencyTotalEuropeGreece
team53.1633.2061.443
place52.4652.5820.922
game53.213.251.475
experience53.5593.6341.727
room43.3233.3621.099
opportunity43.4793.5171.634
fan43.5993.6611.897
events33.1723.2641.102
seating33.5563.5961.14
legacy23.6043.6611.666
stadium22.983.0161.099
service23.5363.5991.782
tour13.2693.3240.943
shop13.5583.6011.943
museum13.893.9262.626
heritage13.884.0891.636
attraction13.493.5871.71
Disclaimer/Publisher’s Note: The statements, opinions and data contained in all publications are solely those of the individual author(s) and contributor(s) and not of MDPI and/or the editor(s). MDPI and/or the editor(s) disclaim responsibility for any injury to people or property resulting from any ideas, methods, instructions or products referred to in the content.

Share and Cite

MDPI and ACS Style

Matika, V.; Panagopoulos, A.; Nikas, I.A. Insights from Football Stadiums as Tourist Destinations Using Online User Reviews. Tour. Hosp. 2026, 7, 76. https://doi.org/10.3390/tourhosp7030076

AMA Style

Matika V, Panagopoulos A, Nikas IA. Insights from Football Stadiums as Tourist Destinations Using Online User Reviews. Tourism and Hospitality. 2026; 7(3):76. https://doi.org/10.3390/tourhosp7030076

Chicago/Turabian Style

Matika, Vasiliki, Alkiviadis Panagopoulos, and Ioannis A. Nikas. 2026. "Insights from Football Stadiums as Tourist Destinations Using Online User Reviews" Tourism and Hospitality 7, no. 3: 76. https://doi.org/10.3390/tourhosp7030076

APA Style

Matika, V., Panagopoulos, A., & Nikas, I. A. (2026). Insights from Football Stadiums as Tourist Destinations Using Online User Reviews. Tourism and Hospitality, 7(3), 76. https://doi.org/10.3390/tourhosp7030076

Article Metrics

Back to TopTop