Abstract
Economic transformations in emerging countries have resulted in an increase in the volume of international travellers from diverse geographical regions. In the tourism sector, service providers must possess cultural competencies that foster a flexible and appropriate attitude, which in turn affects the perception of service. The present study aims to shed light on the motivational factors and cultural behaviours that influence intercultural empathy among staff working in the tourism sector in Quintana Roo. To this end, a comprehensive literature review has been conducted, during which the variables have been validated, and a quantitative study has been undertaken, employing multivariate analysis through a Multiple Correspondence Analysis and inferential statistics with an Ordinal Logistic Regression. The findings of this study demonstrate a positive correlation between motivation and cultural behaviour, which is contingent on experience and age, and its impact on empathy in understanding and meeting the diverse needs of tourists. Cultural motivation is defined as the interest in learning and interacting in multicultural situations, and its impact on behaviour is reflected in appropriate personal management for effective cultural interactions. The probabilities estimated by ordinal logistic regression models of consistently or predominantly exhibiting intercultural empathy increase with age and experience for the most significant variables obtained by the Multiple Correspondence Analysis.
1. Introduction
In the context of globalised markets, the imperative need for services that exhibit an increasingly competitive character is evident. This necessitates a comprehensive understanding and consideration of the cultural needs of tourists, ensuring the provision of services that meet their expectations and requirements. It is therefore vital that personnel responsible for direct interaction with international tourists are equipped with the requisite competencies to interpret and respond appropriately to these demands. In this regard, intercultural empathy emerges as a pivotal element, facilitating a comprehensive understanding of others’ needs and emotions from both cognitive and emotional perspectives while accounting for cultural differences. In this context, cultural intelligence is defined as the ability to interact appropriately and is motivated by an understanding of cultural nuances and behaviours. This, in turn, facilitates a more nuanced understanding of the cultural approach to services, enabling the provider to respond in a manner that is appropriate and effective.
In particular, we examine the tourism context of Quintana Roo, which receives the largest influx of international tourism in the country, with tourists from different countries and with diverse cultural patterns. The present study identifies the elements that are instrumental in shaping the behaviour and motivation of cultural intelligence, thereby facilitating the empathetic understanding of the demands of the intercultural market, including tourism. The methodology employed is outlined, and the results of surveys administered to 77 employees of four- and five-star hotels in Quintana Roo in the latter half of 2019 are presented. The relevance of the identified elements is then discussed, with reference to theoretical studies and the findings from statistical models. A discussion of the results and conclusions of the study is then presented, along with proposals for future research and the limitations of the study. The research model is grounded in the seminal studies of Hofstede et al. (2010), which elucidate the impact of culture and cultural differences on the adaptation of services to market requirements.
In the context of Quintana Roo’s tourism industry, which receives the largest influx of international tourism in the country and is home to visitors from diverse cultural backgrounds, the importance of understanding the tourism phenomenon from an intercultural perspective is evident. The present study focuses on the determinants that influence the behaviour and motivation of cultural intelligence, with the aim of facilitating the development of an empathetic understanding of the demands of the intercultural market, specifically in the field of tourism. To this end, the results of a survey administered to 77 employees of four- and five-star hotels in the Quintana Roo region during the latter half of 2019 are presented. This section will address the relevance of the findings and their correspondence with the established theoretical foundations, as well as the results derived from the application of statistical models. The ensuing discourse will present the results of the study, along with the conclusions and proposals for future research, as well as the limitations identified. The methodological approach of the research is based on the studies conducted by Hofstede et al. (2010), who established a correlation between the impact of culture and cultural disparities on service adaptation to market requirements.
2. Literature Review
2.1. Characteristics of the International Tourism Service Provider
The attitudes and behaviours of individuals acting as hosts in the tourism sector are influenced by the cultural context, which exerts a significant impact on the perception of service (Ang et al., 2007; Harris, 2012). Given that hosts and tourists are comprised of individuals belonging to diverse cultural groups, it is imperative to understand cultural differences in terms of values, attitudes, behavioural norms, and verbal and non-verbal communication patterns in order to foster positive interactions (Reisinger & Turner, 1998). In this regard, the tourism industry is obliged to undertake perpetual evaluation of its operations in order to align traveller expectations with those of employees and suppliers from diverse cultural backgrounds (Harris & Goode, 2004).
A substantial body of research has indicated that national culture exerts a significant influence on tourist behaviour. In a similar vein, the service provider, in this case Pizam et al. (1997), was found to have a significant impact on the behaviour of hotel employees rather than the organisation itself or the culture of the industry.
2.2. Approach to Intercultural Empathy
Empathy, as defined in scientific literature, is the ability to place oneself in another person’s position, with the capacity to understand their perception and feelings (Garaigordobil & De Galdeano García, 2006). From a multidimensional perspective, empathy implies the ability to respond from a cognitive and emotional perspective, distinguishing between one’s own feelings and those of others (García Martínez, 2019). Empathy research has identified two distinct components: the affective or empathic tendency, characterised by the ability to experience concern and sadness—thus establishing an emotional connection through feeling the emotions of others—and the cognitive component, which facilitates the ability to perceive the world from the perspective of another, allowing for identification with the experiences of others (Jolliffe & Farrington, 2006).
Empathy, defined as the ability to understand the perspective of another individual (G.-M. Chen & Starosta, 2000), has been observed to be positively correlated with respect to those perceived as different (Lozano & Etxebarria, 2007). Within the domain of intercultural relations, empathy is conceptualised as the capacity to comprehend the perspective of individuals from diverse cultural backgrounds while concurrently integrating congruent thoughts and emotions during social interactions (G.-M. Chen & Starosta, 2000).
In this sense, empathy can be defined as a personal construct that exerts a significant influence on attitudes towards individuals belonging to different cultural groups (Nesdale et al., 2005). This phenomenon is primarily characterised by emotional components and concern for the other (Belacchi & Farina, 2012; Lozano & Etxebarria, 2007; Micó-Cebrián & Cava, 2014; Nesdale et al., 2005). Moreover, several literary studies have demonstrated that fostering empathy leads to an increased appreciation for individuals from diverse cultures and ethnic groups (Aboud & Levy, 2013). This increase in empathy has been identified as a contributing factor to the reduction of racist attitudes and prejudice (Albiero & Matricardi, 2013; Shih et al., 2013). In addition, the promotion of empathy has been found to be related to increased tolerance and diversity (Esteban-Guitart et al., 2012; Lozano & Etxebarria, 2007).
A paucity of research has been identified in the field of cultural approaches to empathy (Rasoal et al., 2011). Conversely, research on empathy related to cooperative behaviour has yielded favourable outcomes (Garaigordobil & Maganto, 2011; Rumble et al., 2010). Empathy has also been positively correlated with emotional stability (Schultz et al., 2004) and the effective management of conflict resolution strategies (Garaigordobil & Maganto, 2011). Intercultural empathy (IE) is defined as the ability to establish an emotional connection with individuals from diverse cultural backgrounds (Javidan et al., 2010). Ridley and Lingle (1996) further enriched the concept of general empathy by incorporating the understanding and acceptance of the other’s culture from one’s own perspective.
2.3. Elements of Cultural Intelligence
In contemporary practice settings, individual disparities have been observed and associated with the diversity of intelligence styles. As posited by Benatuil and Laurito (2011), cultural intelligence has been shown to facilitate effective interaction in diverse cultural contexts within the broader global multicultural context. Tuleja (2014) defines cultural intelligence as an individual’s ability to interact effectively in diverse cultural settings, taking into account the intellectual circumstances they process in relation to prior cultural knowledge. In this sense, behaviour would reflect the ability to choose the most appropriate actions derived from the intercultural nature (Thomas & Inkson, 2007). Despite the paucity of research on intercultural effectiveness, there is a lack of studies that address the underlying causes that influence variation in individuals’ effectiveness in different contexts (Ang et al., 2007).
Earley and Ang (2003) emphasise the significance of the concept of cultural intelligence (CI), which is measured using the cultural quotient (CQ). This ability, as posited by Earley and Ang (2003), entails the capacity to adapt and perform effectively in a range of culturally diverse environments and contexts (Ang et al., 2007; Earley & Ang, 2003; Thomas & Inkson, 2007; Van Dyne et al., 2012). This construct encompasses four interconnected factors: metacognitive, cognitive, motivational, and behavioural. Each of these factors relates to a specific ability that helps people to handle intercultural situations. The present study will address the motivational and behavioural elements of cultural intelligence and their impact on intercultural empathy.
The motivational model of CQ, as proposed by Ang and Van Dyne (2015), posits that the capacity to focus attention and energy on learning and interacting effectively in situations characterised by cultural differences is critical. This factor is deemed to be of particular significance due to its proactivity, as it necessitates a considerable degree of effort to function effectively in novel cultural environments, which can engender stress (Ang & Van Dyne, 2015; Earley & Ang, 2003). The motivational CQ is characterised by an interest in cross-cultural situations, a value placed on the benefits of such interactions, and the confidence to cope with the challenges inherent in cultural differences (Van Dyne et al., 2012). Behavioural CQ reflects the ability to display appropriate behaviours towards people from diverse cultures (MacNab & Worthley, 2012; Van Dyne et al., 2012). Individuals who possess a high behavioural factor are characterised by their ability to adapt and adjust their behaviour in a flexible manner to the specific characteristics of each cultural interaction (Bücker et al., 2014).
Motivational cultural intelligence, defined as the ability to attend appropriately to interactions with diverse cultures (Ang & Van Dyne, 2015), has been shown to predict performance in cross-cultural activities and is derived from the development of cognitive and behavioural abilities (X.-P. Chen et al., 2012). Motivational cultural intelligence (MO) is subdivided into three components: extrinsic interest (MOIE), intrinsic interest (MOII), and adaptive self-efficacy (MOAU).
MOII is defined as the enjoyment of culturally diverse situations and the experience of such environments (Van Dyne et al., 2010). It is a self-generated benefit that is independent of the situation or person. In contrast, MOIE is about valuing the tangible, personal benefits of multicultural experiences, such as reputation and opportunities to work internationally.
Within the paradigm of MOAU, the term signifies the confidence demonstrated when confronted with unfamiliar cultural contexts and adapting to tasks within diverse cultural settings (Eccles & Wigfield, 2002). Research has demonstrated that this fosters effective intercultural encounters (Van Dyne et al., 2010), as confidence and motivation are conducive to effective participation in activities (Latham & Locke, 2007; Vancouver et al., 2008).
The behavioural aspect (CO) of cultural intelligence is defined as the ability to exhibit a repertoire of verbal and non-verbal actions in interactions with individuals from diverse cultures (Ang & Van Dyne, 2015). It involves the regulation of social behaviour to avoid misinterpretations in cross-cultural encounters (Ghahremani et al., 2009). Empirical evidence demonstrates the benefits of effective communication in multicultural contexts (Gudykunst, 2003), with effective interactions being characterised by the verbal and non-verbal adaptation of staff towards the client from a different culture, involving the ability to understand and reciprocate cultural gestures and behaviours (Hansen et al., 2011).
The construct ‘cultural intelligence behaviour’ has been shown to have three subdimensions: verbal behaviour (COCV), non-verbal behaviour (CONV), and manifestations (Varner & Beamer, 2011). COCV has been identified as a set of elements including vocalisation, speed, volume, formality, flexibility, pauses, and silences. CONV behaviour, meanwhile, has been identified as a set of elements including flexibility of communication through gestures, facial expressions, and body language (Knapp et al., 1972), as well as physical distance, eye contact, greeting, and dress etiquette. Communicative performance (COPR), finally, focuses on specific messages, such as requests, invitations, and others, which must conform to local protocols. The process of adapting one’s behaviour involves the discarding of established habits, thereby demonstrating adaptability in intercultural contexts (Molinsky, 2007).
The significance of cultural intelligence in the tourism sector is predicated on the recognition of the disparities between the cognitive processes of tourists and the effective interpretation of behaviour to align with their original intentions (Triandis, 2006). Research indicates that in cross-cultural interactions, certain actions are culturally appropriate for some cultures and not for others, which can lead to conflicts in behaviour. This phenomenon emerges when employees interacting with customers from diverse cultures interpret cultural roles, cues, or scripts in divergent ways, resulting in inappropriate actions. This underscores the imperative need to consider, respect, and integrate cultural differences in tourism service transactions (Arora & Rohmetra, 2010).
2.4. Motivation and Cultural Behaviour in Tourism Service
In the context of economic globalisation and the proliferation of distribution channels, there has been a remarkable transformation in consumer demands and expectations, which poses constant challenges for the hotel sector, which has become highly competitive (Abdullah & Haan, 2012). It is therefore vital for hotel managers to adapt to the changing demands of their guests. The reception area constitutes the first point of contact of the guest with the company and its image. The quality of the interaction between hotel staff and guests and the efficiency of the check-in process have been identified as key factors in shaping the perception of the hotel’s image (Ismail, 2002). It has been determined that the check-in process is a significant component of guest satisfaction, with Ismail (2002) stating that it accounts for 75% of the overall satisfaction level. This underscores the importance of the check-in experience, as it represents the initial and concluding interaction that a guest has with the hotel.
The dearth of studies conducted on the subject of cultural intelligence and empathy in Latin America is evident, as evidenced by Navas Cueva et al. (2024). Regarding cultural intelligence in the workplace, a study was conducted among Ecuadorian front-line employees in the context of corporate diplomacy (Haros Pérez & Mata Sánchez, 2021). A recent study examined the incidence of cultural intelligence factors in intercultural empathy in the tourism sector in Mexico (Arjona Granados, 2021). Another study investigated the application of cultural intelligence and its impact on service quality in hotels in Mexico (Arjona Granados, 2024). An analysis was conducted on the incidence of intercultural empathy among personnel employed in travel agencies in Nuevo León, Mexico (Arjona Granados, 2022).
The behaviour of employees is a determining factor in the appreciation of guests, as they must provide interpersonal skills, multilingualism, legitimate interest in tourist needs and receiving their fulfilment, and creative problem solving, as well as be action-oriented and have the technological skills and the motivation to attract and retain guests (Sudhir, 2013).
In view of the aforementioned points, it can be posited that effective interaction with guests necessitates certain elements of verbal communication, including appropriate greeting, well-directed conversation, expressions of appreciation, and listening skills (Ismail, 2002). However, it is imperative to acknowledge the significance of non-verbal communication, including smiling, awareness, and the capacity to interpret guest body language, as well as adhering to appropriate dress norms. This is crucial for understanding, respecting, and responding promptly to guests’ needs, which may be influenced by their diverse cultural backgrounds.
The extant academic literature indicates that cultural intelligence possesses the ability to predict responses in specific intercultural contexts, such as cultural adaptation, expatriate performance, global leadership, intercultural negotiation, and multicultural team processes (Van Dyne et al., 2012). Furthermore, the predictive ability of cultural intelligence has been proven in various sectors, such as tourism, influencing perceived value (Frías-Jamilena et al., 2018), and hotel customer satisfaction (R. Lam et al., 2022). The impact of cultural intelligence on destination brand value, as per the work of Frías-Jamilena et al. (2018), is also evident. Furthermore, the quality of service, as explored by Alshaibani and Bakir (2017), and the strategic formulation process within the hotel industry, as delineated by Ljubica and Dulcic (2012), have been found to be influenced by cultural intelligence. In addition, a significant impact on employees in the tourism sector has been evidenced in aspects such as education and training (Bobanovic & Grzinic, 2019; Kamal & Jacob, 2019; Lee et al., 2018) as well as work and its presentation (Suthatorn et al., 2018; Teimouri et al., 2016).
A growing body of research has indicated an association between cultural intelligence and enhancements in the domains of management and social skills on a global scale. These enhancements have been observed in various domains, including motivation, leadership, productivity, authority, and satisfaction (Vlajčić et al., 2019). A substantial body of research has underscored the significance of cultural intelligence in the tourism sector (Arora & Rohmetra, 2010; Heo et al., 2004; V. Lam, 2021; Ljubica & Dulcic, 2012; Teimouri et al., 2016). Consequently, tourist satisfaction is intrinsically linked to the effective implementation of cultural intelligence. In the domain of tourism, the quality of staff has been identified as a pivotal factor in guest satisfaction (Arora & Rohmetra, 2012; Smith et al., 2019). This aspect has been associated with the ability to adapt and interact appropriately with visitors, suggesting that guest satisfaction can be significantly affected by the presence of committed and well-trained staff. In contrast, V. Lam (2021) similarly conclude that the level of CQ of a hotel’s suppliers and employees is relevant to tourist satisfaction with the services it offers. This finding underscores the importance of enhancing employees’ understanding of the cultural context, as well as their planning and interpretation skills, to achieve this objective (Ang et al., 2007).
As posited by Arthur and Bennet (1995), the term ’cultural empathy’ is defined as the ability to clearly project an interest in others, as well as to obtain and consider a reasonable, complete, and accurate sense of the thoughts, feelings, and/or experiences of others (Arthur & Bennet, 1995). The scale of this dimension has been meticulously designed to assess an individual’s capacity to empathise with individuals from diverse cultural backgrounds.
Interculturality has been shown to facilitate effective functioning and the achievement of interactional and transactional goals in contexts characterised by cultural differences (Consejo de Ministros de Europa, 2009). The concept is predicated on a range of cognitive, affective, and behavioural competencies and is known as intercultural competence.
The Big Five study is an analysis of personality dimensions, which is designed to explore events related to multicultural interaction. Multicultural effectiveness, as defined by Kealey and Protheroe (1996), is the integration of appropriate presentation and adaptation to the environment of a new culture.
In relation to the behavioural variable of cultural intelligence, research findings indicate that age does not positively influence an individual’s capacity to adapt to the cultural environment. This suggests a lack of understanding that would facilitate the separation from one’s personal past experiences. While experience permits the development of adaptation skills and adjustment to cultural environments, this ability facilitates the modification of one’s own disagreements and the presentation of flexible behaviour to generate positive impressions (Bhaskar-Shrinivas et al., 2005). Furthermore, this finding contributes to the development of intercultural empathy, which is imperative for effective interaction in diverse cultural contexts, particularly within customer service sectors (Bostjancic, 2010). Furthermore, it is a salient attribute for integration into the hotel industry (Tesone & Ricci, 2012).
In relation to verbal and non-verbal conduct, both age and experience have been shown to exert a favourable influence on the development of the capacity to anticipate and provide solutions to the tourist’s requirements with kindness and efficiency (Murphy et al., 2000; Yuksel, 2001).
The elements of the cultural intelligence motivation variable in the study sample demonstrate comparable levels of competence with regard to age and experience. This is advantageous due to the significance of employee–tourist interaction in the hospitality context (Chu & Murrmann, 2006; Kuo et al., 2012). Furthermore, it is indicative of the commitment of frontline staff to being proactive in their customer service (Raub & Liao, 2012). As the cultural motivation of individuals increases in accordance with age and experience, it is evident that there is a concomitant drive to learn and absorb information about cultures. The enhancement of this skill among personnel facilitates their capacity to adapt to diverse cultural contexts (Frías-Jamilena et al., 2018), thereby contributing to the enhancement of tourist satisfaction with hotel services (V. Lam, 2021).
The existence of a discrepancy in cultural backgrounds has been proven to have a detrimental effect on the quality of service delivery. The issue under discussion arises from the omission of cultural requirements in the provision of international tourism services, resulting in traveller dissatisfaction. Moreover, there is a paucity of research into the reasons why people’s effectiveness differs in culturally diverse environments (Ang et al., 2007). The acquisition of training skills is imperative for the comprehension of cultural behavioural patterns, thus facilitating the provision of a service that aligns with the needs of the traveller. Intercultural empathy was shaped by the revised Multicultural Personality Questionnaire (MPQ) (Van Oudenhoven & Van der Zee, 2002), as well as considering the Intercultural Readiness Check (IRC) (Van Oudenhoven & Van der Zee, 2002) and integrating elements of the G.-M. Chen and Starosta (2000) Intercultural Sensitivity Model scale and the work of Arthur and Bennet (1995).
3. Methodology
The present study incorporates components of the ‘Intercultural Sensitivity Model’ scale proposed by G.-M. Chen and Starosta (2000), which comprises five factors for assessing intercultural empathy. In addition, it is integrated with the original model of cultural intelligence, which is based on four factors (Earley, 2002). The evolution of the model to a scheme of subdimensions, with precision in the concepts for its appropriate application (Van Dyne et al., 2012), is also a feature of this study. Figure 1 presents the scheme of the quantitative research design.
Figure 1.
Quantitative research design.
The cultural perspective of the study is based on the approach of Hofstede (1980), which considers the impact of culture and cultural differences on the host market, as well as the cultural adaptation of the service. The tourism model under consideration is that of Doxey et al. (1975), which is predicated on the attitude of local residents towards tourists. This approach is influenced by the cultural elements exhibited by both visitors and the local population, with the overarching objective being the achievement of integration, thereby facilitating the establishment of a competitive tourism destination.
The study’s analysis incorporates the perspectives of individuals engaged in various activities that facilitate direct interaction with international tourism. This engagement is examined within the framework of three distinct cultural motivations: intrinsic interest, extrinsic interest, and self-confidence. Additionally, the study explores the dynamics of cultural behavior, encompassing both verbal and non-verbal conduct and communicative performance. Finally, it delves into the concept of intercultural empathy, addressing its implications for understanding and navigating interactions across cultural boundaries.
The instrument is based on the Likert scale, in which respondents express their level of agreement or disagreement with a specific statement on an ordered and unidimensional scale (Bertram, 2008), with five responses based on frequency. The following question is posed: ‘always’ equates to 100%, ‘almost always’ corresponds to 75%, ‘sometimes’ to 50%, ‘rarely’ to 25%, and ‘never’ to 0%. The respondent profile was augmented by the incorporation of specific questions regarding age, gender (male/female), educational attainment, years of experience in tourism, municipality, and hotel performance level (4 or 5 stars).
In terms of methodology, this is an exploratory study on theories that provide statements for verification; it is descriptive, as through the analysis of the phenomenon and its manifestation, the attributes that provide basic predictions are measured. The present study employs a correlational approach, examining the relationship between motivational variables, cultural behaviour, and intercultural empathy. The approach adopted is also of an explanatory nature, with the objective being the identification of the underlying causes of the phenomena and conditions that have been observed. The present study adopts a cross-sectional research design, whereby data are collected in a single temporal space. The reliability of the instrument was tested in a pilot study, and the sample size was calculated a priori and a posteriori to confirm its reliability.
The pilot test was conducted with 35 workers in the tourism sector to evaluate the reliability of the instrument in various tourist destinations in the Mexican Republic. The subsequent sample comprised 4- and 5-star hotels located in Cancun, Quintana Roo, specifically in the municipality of Benito Juarez. A total of 84 questionnaires were administered, of which 77 were deemed valid. These questionnaires were administered to individuals who performed functions related to international tourism service during the second semester of 2019. According to studies conducted by Marcoulides and Saunders (2006), the number of the samples can be estimated based on the number of relationships present in the structural model.
It is important to note that the scope of the study does not extend to other areas of the hotel, such as restaurants, travel agencies, and shops. Furthermore, it does not incorporate the ancillary services that collectively constitute the value chain of the tourism sector, such as taxis, tourist guides, and entertainment centres.
3.1. Statistical Methods
The subsequent stage of the analysis involved the description of the categorical variables, frequencies, and tests. These were implemented in order to identify significant differences between the responses obtained. With regard to the numerical variables, these were described by calculating their measures of central tendency and dispersion. The overall description was conducted using a Multiple Correspondence Analysis (MCA), which facilitated the identification of the variables exhibiting the greatest variability. Subsequent to this, an inferential analysis was performed utilising ordinal logistic regression (OLR) models. According to Díaz-Monroy and Morales-Rivera (2012), the purpose of the MCA is to identify those variables or factors that are ‘close’ (highly correlated) with all the groups of modalities, as well as to establish the association between categorical variables; this approach is oriented towards the identification of the association between qualitative variables, which subsequently allows for the formulation of an ordinal logistic model. The objective of this study is to identify the factors that influence intercultural empathy and how these factors are influenced by age and experience as these variables increase. When considering the different variables, the ordinal logistic regression technique is appropriate, as the variables were measured using a Likert scale.
3.1.1. Multiple Correspondence Analysis
Díaz-Monroy and Morales-Rivera (2012), as cited in the work of Sevilla-Morales et al. (2022), proposed the MCA as a methodology that facilitates the comparison of individuals through the modalities that characterise the variables identified in the study. A set of individuals who share similarities are assumed to have approximately the same variables, and the association between variables emerges because the same individuals assume the same modalities of different variables. The MCA is employed to decompose the point cloud of the total variance or inertia of the space of individuals (rows) or of the space of modalities (columns) into specific orthogonal directions, thereby maximising the explained inertia in each direction. This procedure enables the discrimination of variables, facilitating the explanation of the variation present in the results by using the smallest number of variables while detecting those that are correlated.
3.1.2. Ordinal Logistic Regression
In their paper, Sevilla-Morales et al. (2022) established, using the methodology proposed by Agresti (2010), that because the response variable is on an ordinal scale, they tested an ordinal logistic regression model with cumulative logits. In such a logit for the cumulative probability, j has its own intercept, . The are increasing in j because increases in j for each fixed value of x, and the logit is an increasing function of this probability. The equivalent model expression for the cumulative probabilities is
The logit under consideration is equivalent to the ordinary binary logit, except that it is applied to the collapse of the response outcomes into two outcomes and . Each cumulative logit utilises the response categories.
Within the model, the cumulative probability has its own intercept, . The cumulative probability increases in j because with the increase in j for each fixed value of x, and the logit is an increasing function of this probability. The equivalent model expression for the cumulative probabilities is defined as follows:
The formula in question is expressed as a linear combination of inverse link functions represented by inverse logit links with coefficients −1 and 1. In this context, the link function that determines the probabilities in the cells is termed the composite link function. In the proposed model, the effects remain constant for each cumulative logit. This model is more efficient than others, such as modular base-category logits for nominal responses, which require separate parameters for each logit. A distinguishing feature of ordinal logit regressions is their independence from the assumptions of normality, homoscedasticity, and uncorrelatedness of the residuals as opposed to more conventional linear regression models. Instead, the ordinal regression model imposes a condition on the data to be modelled: proportional odds or parallel lines (Kleinbaum et al., 2002).
3.2. Sampling Design
3.2.1. Population
In the context of the research project, designated first contact persons have been assigned one per hotel. The subjects were selected on the basis of their presence at the reception desk during the designated survey period.
3.2.2. Sample Size
The municipality of Benito Juárez is home to a total of 103 hotels classified as four-star and five-star establishments (69 and 34 hotels, respectively). The calculation of the sample size was determined by establishing an alpha level of 0.05, a confidence level (B) of 0.10, and a proportion of 0.50 to maximize the sample size. The Simple Random Design formula for a Proportion was utilised, and the sample was then proportionally stratified according to the number of four- and five-star hotels. The formula employed was as follows (Mendenhall et al., 2006):
The formula for calculating the required sample size indicated that 50 hotels were necessary. It was determined that an additional 60% would be allocated for questionnaires that remained unanswered or were not completed in their entirety. A total of 77 valid questionnaires were obtained, and it was decided to analyse them all. Following the administration of the questionnaires, the sample size was recalculated with a p = 0.33 (four-star hotels), thereby reducing the required sample size to 47 questionnaires if alpha and B were maintained at their current levels. When the population p was set at 0.33, the statistical significance level alpha at 0.05 and the 77 questionnaires were applied, and an improvement to 0.06 in B was obtained.
3.2.3. Statistical Analyses
The analyses were conducted utilising the R software, version 4.4.3 (R Core Team, 2024). MCA was performed with the packages FactoMineR (Lê et al., 2008) and factoextra (Kassambara & Mundt, 2016), OLR with the VGAM package (Yee, 2017), and graphs with the ggplot2 package (Wickham & Sievert, 2009).
From the MCA, OLR analyses with cumulative logits were conducted, testing only the variables with the most inertia; in this case, the variables ‘CONV2’, ‘CONV3’, and ‘COPR3’, using cumulative logit models and modelling how the probability changes for each level of ‘Intercultural Empathy’, as a function of ‘Age’ and ‘Experience’.
Multiple Correspondence Analysis
An MCA was conducted in accordance with the methodology outlined in Díaz-Monroy and Morales-Rivera (2012), with the objective of identifying the variables that contribute most significantly to the variability observed in the survey instrument. The application of this methodology in analogous studies is exemplified by the works of Sobalbarro-Figueroa et al. (2020) and Sevilla-Morales et al. (2022), who utilised this technique to differentiate variables.
Ordinal Logistic Regression Analysis
Six models of the OLR were estimated, with Intercultural Empathy (IE) designated as the dependent variable and the three variables with the highest MCA inertia (‘CONV2’, ‘CONV3’ and ‘COPR3’), as well as ‘Age’ and ‘Experience’ as independent variables. The models for ‘CONV2’ and ‘Age’ are presented as representatives, as the others are similar (Equations (3)–(6)). In the models, ‘Never’ was used as the reference response. The linear predictor for all the model estimated is logit link . For the equations of the models, abbreviations were used: Never (N), Almost never (), Sometimes (S), Almost always (), and Always (A):
From the estimated models, which are expressed in log ratios, probabilistic models using the R function predict() (R Core Team, 2024) were created and presented graphically. The age range of the respondents was from 25 to 60 years, and experience ranged from 0 to 45 years.
The dependent variable exhibits two responses (‘Almost always’ and ‘Always’), and the probabilities for each level are complementary, i.e., if one has a probability of 0.70, the other will be 0.30 and vice versa. To circumvent redundancy in the paper, the results will be confined to the responses marked ‘Always’.
The coefficients of the ordinal logistic regression model are expressed in their logarithmic form. Therefore, it was necessary to calculate their exponential to convert them to an odds ratio (OR). The ORs are a measure of the relative change in the likelihood of the different levels of the dependent variable IE, with a change in the corresponding independent variable for each response. In the present model, the response ’Never’ was utilised as a reference as mentioned before.
4. Results
4.1. Descriptive Analyses
The ‘Age’ of the respondents ranged from 21 to 56 years, with an average of 36.06 ± 8.75 years. With regard to ‘Experience’, the average was 13.7 ± 9.05 years, with a minimum of 1 year and a maximum of 41 years. The respondents’ ages were as follows: under 25 years—2 respondents; 25–29 years—22 respondents; 30–34 years—22 respondents; 35–39 years—14 respondents; 40–44 years—3 respondents; 45–49 years—5 respondents; 50–54 years—7 respondents; over 55 years—2 respondents.
Of the hotels in which the questionnaires were administered, 22% were four-star, and 78% were five-star rated [ (1), 24.01, p < 0.001]. This result was statistically significant. The geographical distribution of the hotels was as follows: 75% were located in Cancún and 25% in the Riviera Maya. This distribution was also found to be statistically significant (p < 0.001). The gender distribution of the respondents was as follows: 57% were male and 43% female, which is a difference that was not found to be statistically significant (p > 0.05). The subjects’ educational attainment was as follows: 5% had a technical career, 3% were students, 77% had a bachelor’s degree, and 16% had postgraduate qualification [ (4), 112.35, p < 0.001]. The respondents’ academic background in the field of tourism has been demonstrated to exert a substantial influence on the findings, with particular statements receiving elevated ratings. It is evident that the four- and five-star hotels in the region predominantly recruit personnel who hold a bachelor’s degree. This phenomenon can be attributed to the presence of numerous academic institutions in the vicinity that offer degree programmes specialising in tourism, thereby facilitating the entry of graduates into the hotel sector.
4.1.1. Motivation of Cultural Intelligence
In relation to this variable, it was established that 79% of respondents [ (1), 26.3, p < 0.001] consistently derived enjoyment from interacting with individuals from diverse cultural backgrounds, while the remaining 21% reported an almost constant level of enjoyment in this regard. A similar outcome was observed in relation to their interest in acquiring knowledge regarding other cultures and their respective customs. In relation to the recognition and valuation of their own culture, 78% of respondents indicated that they ‘Always’ do so, 21% indicated that they ‘Almost always’ do so, and 1% indicated that they ‘Sometimes’ do so. This result was statistically significant [ (2), 73.27, p < 0.001]. Furthermore, 70% of respondents responded that they ‘Always’ value the benefits of interacting with other cultures, 29% indicated that they ‘Almost always do so, and 1% indicated that they ’Sometimes’ do so. This result was also statistically significant [ (2), 55.51, p < 0.001]. Moreover, 60% of respondents responded that they frequently engage in the practice of admiration and comparison of values across diverse cultural contexts, while 36% do so with high frequency and 4% with occasional frequency. In response to the statement ‘I consider myself able to cope with the living conditions in different countries’, 51% of respondents answered ‘Always’, 39% answered ‘Almost always’, and 10% answered ‘Sometimes’ [ (2), 19.82, p < 0.001]. Furthermore, 60% of respondents indicated that they possess the capacity to establish interpersonal relationships with individuals from diverse cultural backgrounds, with 34% categorising themselves as ‘Almost always’ capable in this regard and the remaining 6% expressing the capacity to do so on occasion. Moreover, 6% of respondents indicated that they ‘Sometimes’ consider the culture of other countries to be of equivalent value to their own, 29% responded ‘Almost always’, and 65% responded ‘Always’.
4.1.2. Cultural Intelligence Behaviour
In relation to the variable, the results indicate that 48% of respondents modify their expressions to suit different cultural situations, 43% do so ‘always’, and 9% ‘sometimes’. With regard to the statement that individuals adapt their behaviour in interactions with people from different cultures, 47% of respondents indicated that they do so ‘almost always’, 39% indicated that they do so ‘Always’, and only 14% indicated that they do so ‘Sometimes’. In relation to the aforementioned statement regarding the understanding and expression of non-verbal communication with individuals from diverse cultural backgrounds, 41.46% of respondents indicated ‘Always’, 32% selected ‘Almost always’, 21% chose ‘Sometimes’, 4% selected ‘Never’, and 1% opted for ‘Almost never’. In the statement enquiring about the ability to adequately interpret the expressions and behaviour of individuals from diverse cultural backgrounds, 44.16% of respondents indicated that they ‘Almost always’ possess this capability, while 36.36% stated that they ‘Always’ do so. Furthermore, 16.88% responded that they ‘Sometimes’ possess this ability, and 2.6% indicated that they ‘Almost never’ do so. With respect to the capacity to comprehend and accommodate cultural divergences, the survey responses indicated that 54.55% [ (2), 31.97, p < 0.001] responded ‘Always’, 41.56% responded ‘Almost always’, and 3.9% responded ‘Sometimes’. With regard to the endeavour to comprehend the perception of individuals from disparate cultural backgrounds, 55.84% [ (2), 37.51, p < 0.001] indicated that they ‘Always’ do so, ‘Almost always’ was stated by 42.86%, and 1.3% responded that they ‘Sometimes’ do so. In relation to the capacity to act and behave appropriately in cultures other than one’s own, it was observed that 46.75% of respondents indicated ‘Always’; 41.56% selected ‘Almost always’, while 11.69% selected ‘Sometimes’.
4.1.3. Intercultural Empathy
The variable was constructed from respondents’ responses indicating that 71.43% of respondents indicated that they ‘Always’ pay attention to the emotions of people from other cultures [ (2), 53.09, p < 0.001], 22.08% indicated that they ‘Almost always’ do so, and 6.49% indicated that they ‘Sometimes’ do so. Furthermore, 66.23% of respondents self-reported as being ‘Always’ sensitive to subtle cultural aspects when interacting with people from other cultures, while 29.87% expressed ‘Almost always’, and 3.9% reported ‘Sometimes’. Conversely, those who indicated that they consistently detect irritation in others constituted 70.12% of the sample, while 24.68% identified as ‘Almost always’, 3.9% as ‘Almost never’, and 1.3% as ‘Sometimes’. In relation to individuals who have the capacity to form deep connections with others, 59.74% of respondents indicated that they almost always do so, as indicated by the significant result of the chi-squared test for independence [ (3), 58.01, p < 0.001]. Meanwhile, 24.68% of respondents indicated that they sometimes do so, 14.29% indicated that they always do so, and 1.3% indicated that they never do so. In relation to the preference for engaging with narratives stemming from diverse cultural backgrounds, the responses were categorised as follows: ‘Always’ (72.73%), ‘Almost always’ (25.97%), and ‘Sometimes’ (1.3%). Proportionally, 54.55% of respondents [ (2), 31.97, p < 0.001], indicated that they ‘Almost always’ detect when people are in trouble, while 41.56% reported ‘Always’, and 3.9% reported that they ‘Sometimes’ do not. In relation to those who consistently empathise with individuals from diverse cultural backgrounds, 61.04% of respondents reported a constant tendency towards this behaviour, while 36.36% indicated an almost constant disposition. Conversely, 14.29% of individuals exhibited a variable inclination, sometimes displaying consistent empathy and at other times exhibiting no such tendency. Conversely, those who considered themselves to be ‘Almost always’ capable of accurately understanding the feelings of people from other cultures were 49.35% [ (2), 14.52, p < 0.001], ‘Always’ was stated by 36.36%, and ‘Sometimes’ was stated by 14.29%. With respect to the respect shown for the values and behaviours of individuals from other cultures, 75.32% of respondents indicated that they ‘Always’ showed respect, while 24.68% indicated that they ‘Almost always’ did so. Furthermore, the proportion of individuals who ‘Always’ considered themselves to be open-minded to people from other cultures was 81.82% [ (1), 31.18, p < 0.001], while 18.18% expressed ‘Almost always’. Moreover, the proportion of individuals who asserted that they consistently maintained harmonious relationships with individuals from diverse cultural backgrounds reached 87.01% [ (3), 159.62, p < 0.001]. In contrast, the proportion of individuals who identified as ‘Almost always’ reached 10.30%, while 1.3% identified as ‘Sometimes’ or ‘Almost never’.
4.2. Multiple Correspondence Analysis
As illustrated in Figure 2, the results of the MCA demonstrate that the variability explained by the first two dimensions is 14.5% for the first one and 8.9% for the second one, for a cumulative of 23.4%. Figure 1 presents the dimensions of discrimination measures, i.e., the factors with more weight, as well as their correlation. This analysis facilitates the discrimination of variables according to their relative importance, enabling the construction of models that exclusively incorporate those exhibiting the highest degree of variability. The variables that demonstrated the greatest inertia were identified as ‘CONV2’, ‘CONV3’, and ‘COPR3’. These variables were employed exclusively within the framework of OLR models, functioning as regressor variables, with the objective of estimating the probability alterations for each level in relation to ‘Age’ and ‘Experience’.
Figure 2.
Measures of discrimination and correlation from the survey applied in hotels in Cancun. The variables with greatest inertia are those which are the furthest from the origin (in this case, the bottom left corner); the variables with the highest inertia are CONV2 (I understand and express myself non-verbally with people from other cultures), CONV3 (I appropriately interpret the expressions and behaviour of people from other cultures), and COPR3 (I modify my disagreements to fit the cultural environment).
4.3. Ordinal Logistic Regression Analysis
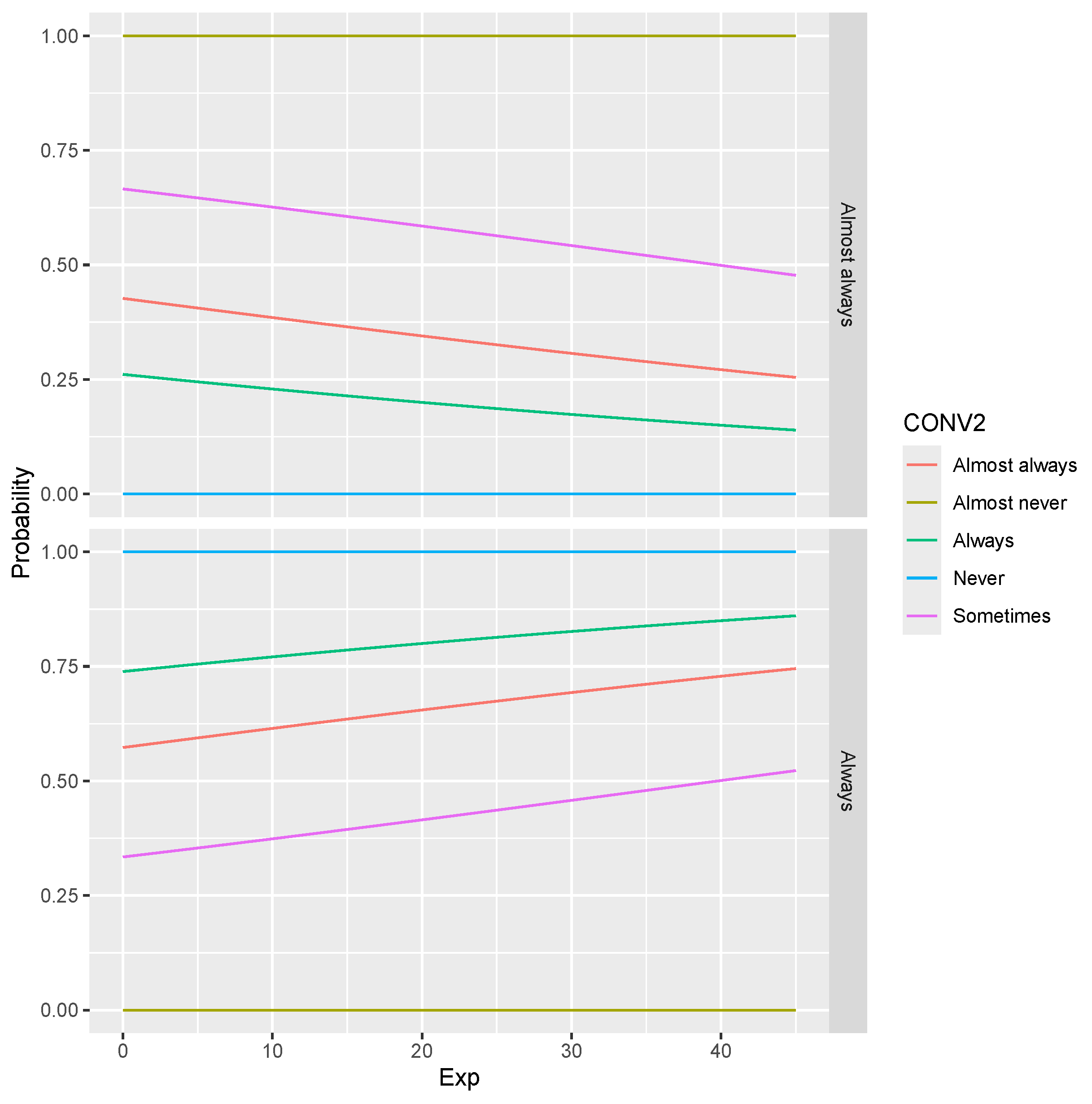
4.3.1. Intercultural Empathy, Age, and CONV2 (I Understand and Express Myself Non-Verbally with People from Other Cultures)
Probability Predictions
As shown on Figure 3, the probability of respondents who answered ‘Never’ to question ‘CONV2’ was constant at one, irrespective of ‘Age’, and thus the mean probability was also one. For the response ‘Almost never’, the probability remained constant at zero. However, for the response ‘Sometimes’, the probability increased from approximately 0.36 to 0.46, and its mean came out to 0.42. The probability associated with the response ‘Almost always’ exhibited a growth trajectory from approximately 0.60 to 0.72, with an estimated mean of 0.66. Finally, the probabilities for the response ‘Always’, from ‘CONV2’, also demonstrated an increase with ‘Age’, ranging from 0.75 to 0.83, with a mean of 0.79.
Figure 3.
Effect of Age and CONV2 (I understand and express myself non-verbally with people from other cultures) for each level of Intercultural Empathy.
Odds Ratio Interpretation
The OR of indicates that the odds of responding ‘AN’ instead of ‘N’ to CONV2 when the response to EI is ‘A’ is 9.54 times higher. The OR values for the responses ‘S’, ‘AA’, and ‘A’ are , , and , respectively. The utilisation of the answers ‘AN’ and ‘AA’ has been demonstrated to exert a very positive effect on the outcome, whilst the answers ‘S’ and ‘A’ have been shown to exert a very negative effect.
In the context of intercultural communication, it is imperative to acknowledge the growing capacity of employees to discern and reciprocate cultural gestures and behaviours across diverse cultural contexts (Hansen et al., 2011). Furthermore, it is crucial to recognise that a lack of adaptability in customer service can lead to the perception of offence and negatively impact the establishment of positive impressions and the cultivation of intercultural relationships (Gudykunst, 2003).
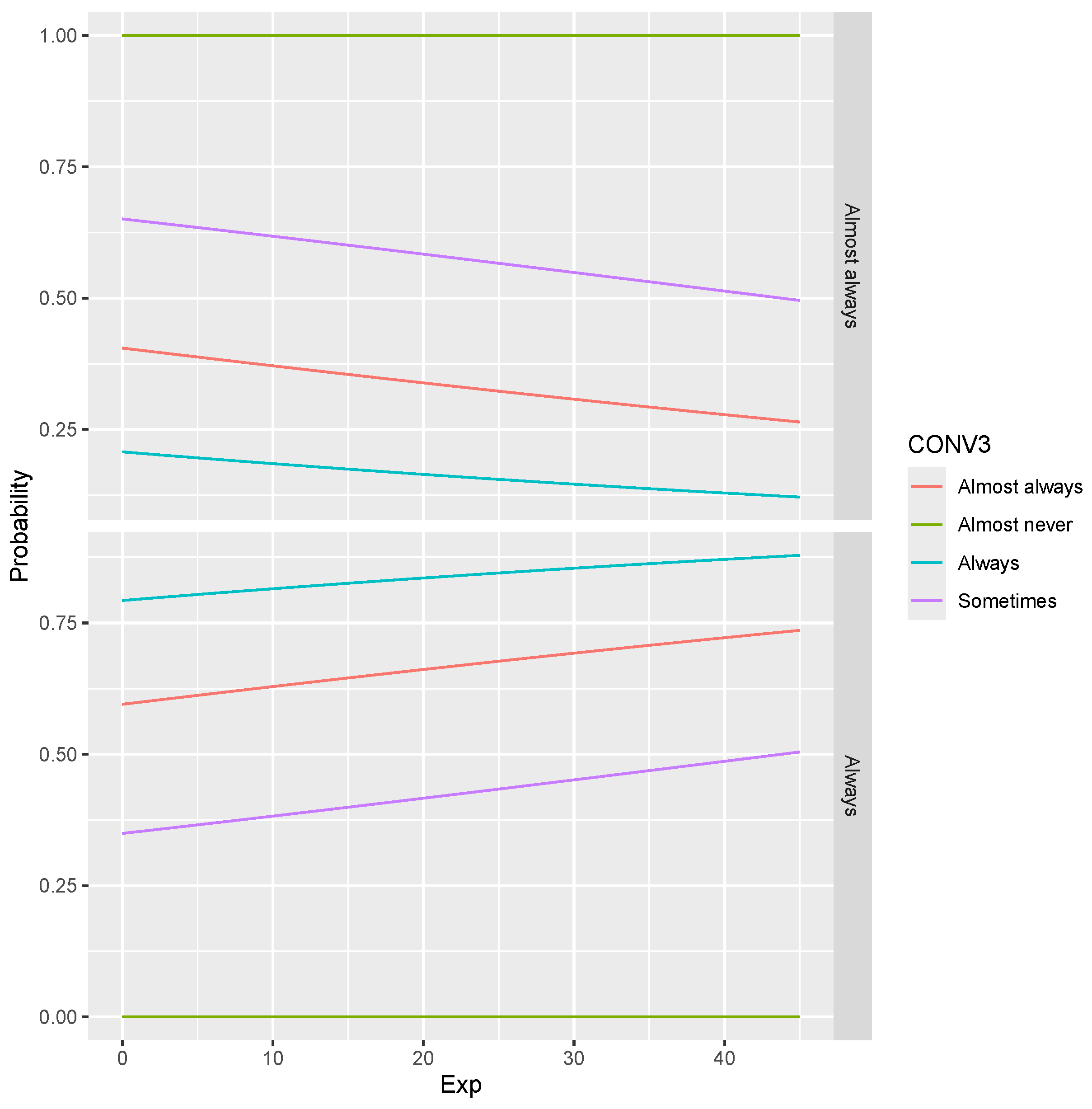
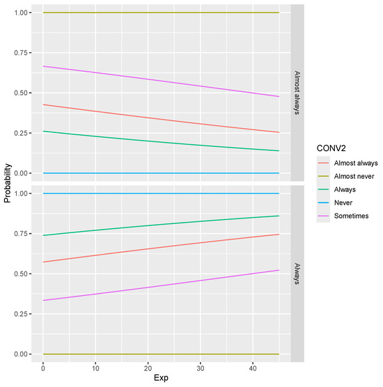
4.3.2. Intercultural Empathy, Experience, and CONV2: (I Understand and Express Myself Non-Verbally with People from Other Cultures)
Probability Predictions of the Model
In relation to the response category ‘Always’ from the ‘EI’, as illustrated in Figure 4, it was deduced that the probability of respondents who selected ‘Never’ or ‘Almost never’ for ‘CONV2’ remained constant as experience levels increased. This observation was further corroborated by the mean probabilities, which remained constant for both categories. In the case of the response ‘Sometimes’, it was observed that the probability increased from 0.35 for those with no experience to 0.51, with a mean of 0.43. Similarly, the probability of response ‘Almost always’ increased with experience, going from 0.58 to 0.74 and resulting in a mean of 0.66. Finally, for the response ‘Always’, the probability increased as experience increased, from 0.74 to 0.82, with a mean of 0.78.
Figure 4.
Effect of Experience and CONV2 (I understand and express myself non-verbally with people from other cultures) for each level of Intercultural Empathy.
Odds Ratio Interpretation
The OR values for the responses AN, S, AA, and A were , , , and respectively. AN and AA have been demonstrated to exert a significant influence on EI, with a considerably higher likelihood of occurrence. The S and A answers demonstrated negligible influence on the model.
The present study demonstrates a positive correlation between age and experience on the one hand and cultural intelligence on the other. This, in turn, fosters the development of non-verbal communication skills and the capacity to understand and express oneself in relation to individuals from diverse cultural backgrounds. This development is achieved by integrating the necessary skills and training to comprehend behavioural patterns across different cultures. This, in turn, ensures that individuals receive appropriate attention in terms of their beliefs, skills, perceptions, and values. In summary, this suggests the importance of a multicultural service that is subject to constant evaluation and validation of the expectations of customers, employees, and suppliers from diverse backgrounds (Harris, 2012).
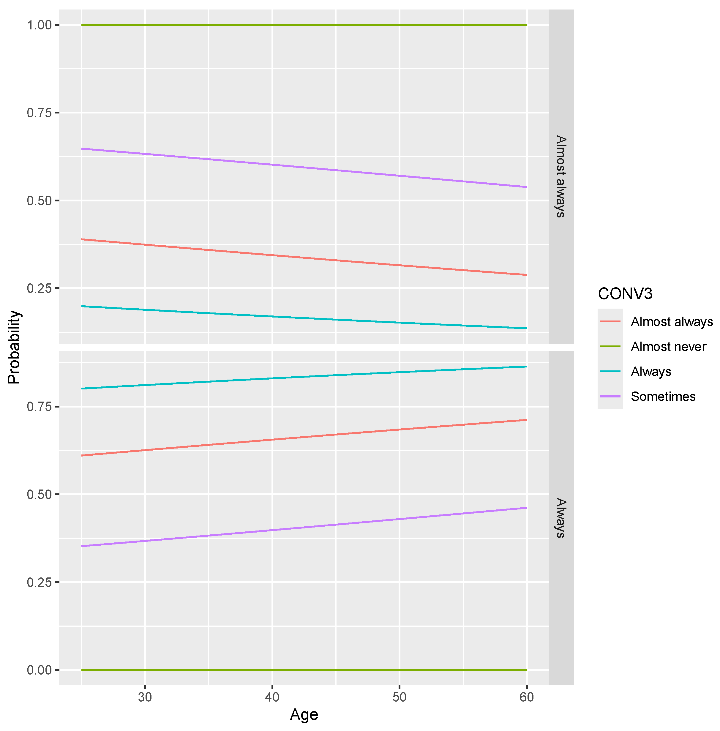
4.3.3. Intercultural Empathy, Age, and CONV3 (I Appropriately Interpret the Expressions and Behaviour of People from Other Cultures)
Probability Predictions of the Model
The findings demonstrated a positive correlation between age and the ability to interpret expressions and adapt to the behaviour of people from other cultures (Figure 5). A comprehensive understanding of the emotional expectations of the tourist was identified as a prerequisite for providing a pleasant and effective service, which is a necessity in the hotel business (Tsaur & Lin, 2004). The ability to anticipate and identify solutions by comprehending the problem, with the objective of averting negative emotions in the customer, was also identified (Alam et al., 2018).
Figure 5.
Effect of Age and CONV3 (I appropriately interpret the expressions and behaviour of people from other cultures) for each level of Intercultural Empathy.
Odds Ratio Interpretation
For the CONV3 variable, solely the responses S, AA, and A were obtained. The ORs were found to be , and , respectively. The answer S had a negligible impact, suggesting that its effect on the likelihood of switching is almost zero. AA had a significant positive impact, suggesting that its increase considerably raises the likelihood of reaching higher categories. A had a slight negative impact, indicating that an increase in this answer slightly reduces the likelihood of moving to higher categories.
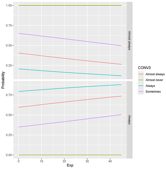
4.3.4. Intercultural Empathy, Experience, and CONV3 (I Appropriately Interpret the Expressions and Behaviour of People from Other Cultures)
Probability Predictions of the Model
As demonstrated in Figure 6, the probability of respondents who selected ‘Almost never’ for ‘CONV3’ remained constant across varying levels of experience, indicating a probability of zero. In contrast, the probability associated with the ‘Sometimes’ response exhibited an upward trend, increasing from 0.35 for individuals with no experience to 0.51, with a mean of 0.43. A similar trend was observed for the ‘Almost always’ response, which increased from 0.58 to 0.74, with a mean of 0.66. Finally, for ‘Always’, the probability increased from 0.79 to 0.89, with a mean of 0.84.
Figure 6.
Effect of Experience and CONV3 (I appropriately interpret the expressions and behaviour of people from other cultures) for each level of Intercultural Empathy.
Odds Ratio Interpretation
The ORs estimated for this model were , and for the answers S, AA, and A, respectively. The extant evidence suggests that AA exerts a significant positive impact on the likelihood of progression to a higher category (very strong effect). S yielded a negligible negative impact. A yielded a moderate negative effect.
The ability to interpret the expressions and behaviours of people from other cultures is directly related to the age and experience of the staff serving international tourism. In other words, cultural knowledge identifies cultural behaviour (e.g., greetings, rituals, etc.) and understanding of a culture (Tuleja, 2014). This is reflected in behaviour that manifests as the selection of actions that are timely and consistent with the nature of the intercultural situation (Thomas & Inkson, 2005), which is derived from both factors of age and direct practice in serving international tourism.
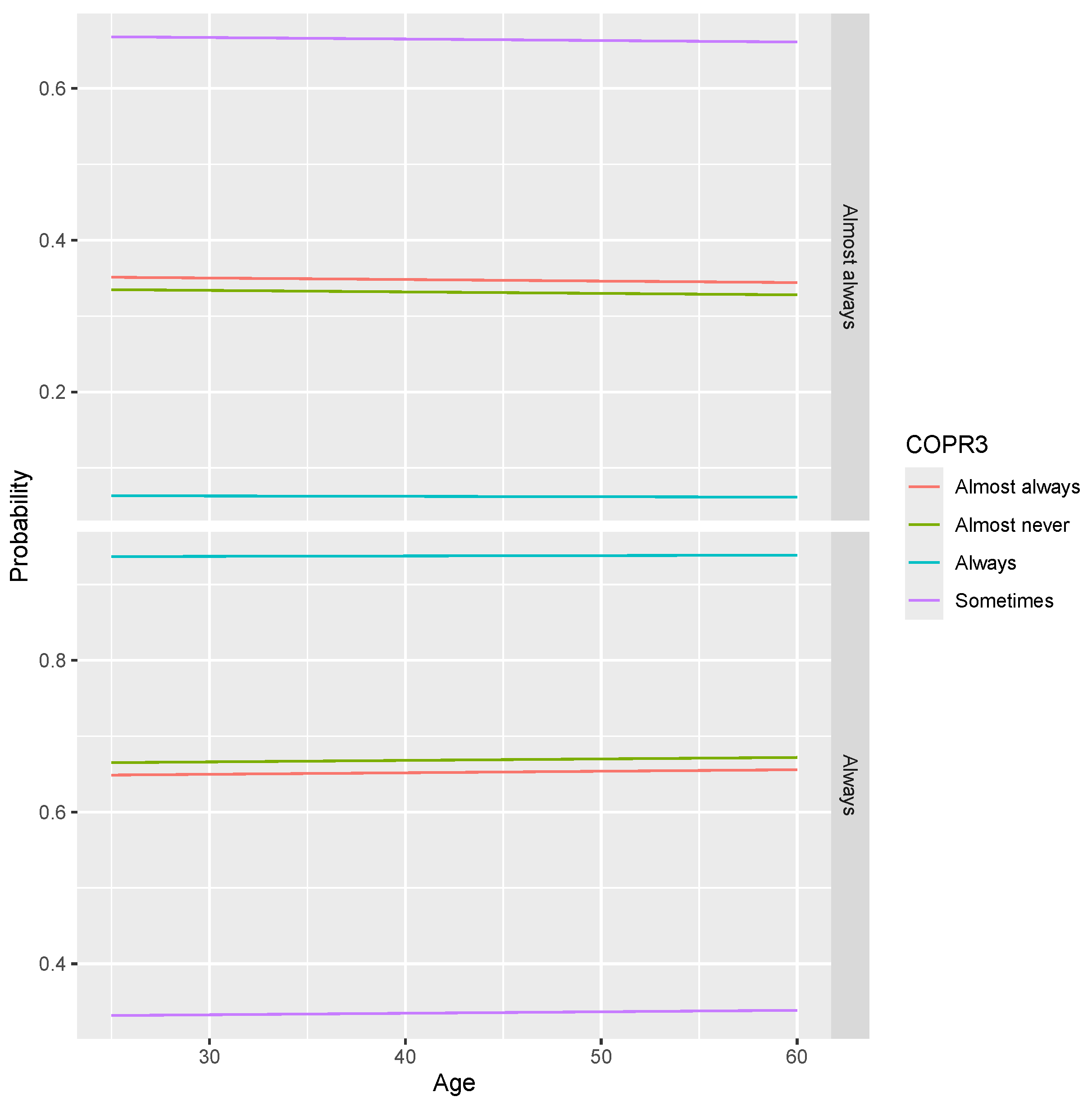
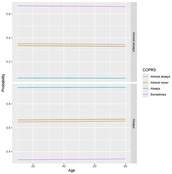
4.3.5. Intercultural Empathy, Age, and Copr3 (I Modify My Disagreements to Fit the Cultural Environment)
Probability Predictions of the Model
In this model, the effect of age was found to be virtually negligible, with only ‘COPR3’ exhibiting an impact on the ‘EI’, as illustrated in Figure 7; the probability of respondents who selected ‘Almost never’ came out to 0.67, while for ‘Sometimes’, the probability came out to 0.33, and for ‘Almost always’, the probability came out to 0.65. Finally, the response of ‘Always’ yielded a probability of 0.94.
Figure 7.
Effect of Experience and COPR3 (I modify my disagreements to fit the cultural environment) for each level of Intercultural Empathy.
Odds Ratio Interpretation
As was the case with CONV3, solely S, AA, and A responses were obtained for COPR3, and their respective ORs were 0.19, 0.18, and 1.54. The responses S and A are associated with a lower likelihood of moving to higher categories (odds ratio < 1), and A is associated with a higher likelihood of moving to higher categories (odds ratio > 1).
In relation to the aspect of modifying disagreements to fit the cultural environment, where no modification is reflected, the findings reinforce the work of Broome (2015), who cites the difficulty of understanding the perspective of the other due to the lack of ability to separate from unique personal, socio-cultural, and individual past experiences, especially in a cross-cultural context. A salient finding of the study is that age does not appear to influence the occurrence of the factor under assessment.
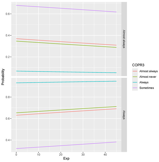
4.3.6. Intercultural Empathy, Experience, and COPR3 (I Modify My Disagreements to Fit the Cultural Environment)
Probability Predictions of the Model
The probability of respondents answering ‘Almost never’ to ‘COPR3’ (see Figure 8) was observed to change with increasing experience, increasing from 0.65 to 0.71, with a mean of 0.68. The probability of respondents answering ‘Sometimes’ was seen to increase from 0.32 for those with no experience to 0.38, with a mean of 0.35. Conversely, the probability of responding ‘Almost always’ also increased with experience, rising from 0.63 to 0.69, with a mean of 0.66. Finally, for the response ‘Always’, the probability increased as experience rose—from 0.93 to 0.95, with a mean of 0.94.
Figure 8.
Effect of Experience and COPR3 (I modify my disagreements to fit the cultural environment) for each level of Intercultural Empathy.
Odds Ratio Interpretation
For the model under consideration, the ORs were 0.20 for response S, 0.18 for AA, and 1.52 for A. It can be seen that S and AA are associated with a decrease in the likelihood of being in higher categories of the dependent variable, while A is associated with an increase in the likelihood of being in higher categories of the IE.
The result indicates the ability to modify one’s own disagreements derived from the experience and adjust to the cultural environment (Thomas & Inkson, 2005). As demonstrated in the findings, understanding intercultural interaction enables the development of awareness and the building of adaptive skills, which increase the options for effective behaviours in intercultural situations. The findings reveal that the age variable exerts no influence on the aforementioned factor; that is to say, disagreements arise without modification by age, whereas experience demonstrates the perceived difference, which increases gradually over time. This consideration is pertinent given that exposure to tourism and practical interactions will enhance the capacity for adaptation with respect to previous paradigms and ideas that hinder effective intercultural interaction.
The extant literature on the subject, as evidenced by the works of Jain and Jain (2005), posits that the efficacy of hotel management is contingent upon the establishment of authentic emotional bonds with visitors by the staff. The necessity to adapt to the preferences and demands of current, new, and potential customers in order to increase market share is evident, as is the importance of timely information that allows for the identification of their requirements (García et al., 2017).
5. Discussion
The research has demonstrated the relevance of cultural intelligence in the sector (Arora & Rohmetra, 2010; Heo et al., 2004; R. Lam et al., 2022; Ljubica & Dulcic, 2012; Teimouri et al., 2016). The findings indicate that tourists’ satisfaction is predominantly derived from their experience with the utilisation and application of cultural intelligence (Arora & Rohmetra, 2010; Heo et al., 2004; R. Lam et al., 2022; Ljubica & Dulcic, 2012; Teimouri et al., 2016). Furthermore, Arora and Rohmetra (2012) reiterated the notion that employees’ cultural intelligence exerts a substantial influence on guest satisfaction, as it facilitates effective adaptation and interaction. Conversely, R. Lam et al. (2022) drew parallels between the cultural intelligence of a hotel’s suppliers and employees and the satisfaction of tourists with the hotel’s services. This suggests that enhancing individuals’ comprehension of a particular cultural context, as well as their capacity for planning and interpretation (Ang et al., 2007), is pivotal.
The statistical analysis indicates a congruence in the elements constituting the motivational variable of cultural intelligence, namely, staff age and experience, and their proficiency in specific domains, as an orientation for talent allocation. Raub and Liao (2012) proposed that employee engagement in frontline service exhibits proactive performance in customer service under the impetus of cognitive motivational processes. The study thus demonstrates that motivation in cultural intelligence, within the specific context of tourism, is rooted in people’s innate drive to learn about cultures and absorb valuable information and that it is about broadening one’s cross-cultural reach and seeking out potential travellers and partners.
The research determined the behavioural factors that showed a result far from the rest of the study elements, as illustrated in Figure 2. These elements correspond to the behavioural variable of cultural intelligence.
It is important to acknowledge that employees’ behaviour significantly impacts the valuation of guests. Guests request a range of attributes from employees, including interpersonal skills, multilingualism, a genuine interest in tourists’ needs and their satisfaction, creative problem solving, an action-oriented mindset, technological skills, and the motivation to attract and retain guests (Sudhir, 2013).
In the present study, the development of the behavioural ability of cultural intelligence has been demonstrated in a similar manner, i.e., the result increased with age and experience in the sample under study concerning the variable ‘I understand and express myself non-verbally with people from other cultures and I adequately interpret the expressions and behaviour of people from other cultures’.
The observed increase may be attributed, at least in part, to the demographic profile of the respondents, with over 60% possessing either a bachelor’s or postgraduate degree. This suggests that the training programmes may encompass components of cultural intelligence, which then manifest in practical applications. However, as the findings suggest, with experience, there is a concomitant increase in both motivation and behaviour.
In contrast, the age variable exerted no influence on the capacity to modify disagreements derived from experiences and adapt them to the cultural environment. However, experience was found to facilitate a gradual enhancement of this capacity, as evidenced by the research findings. That is to say, experience is a prerequisite for enhancing the capacity to modify one’s own disagreements derived from prior experiences. This is due to the fact that cultural competences are instrumental in interactions, as meaningful intercultural relationships depend on the ability to demonstrate flexible behaviour, which is necessary to form positive impressions (Bhaskar-Shrinivas et al., 2005).
In the context of tourism services, the significance of the quality of food, entertainment, and transport has been extensively documented (see Murphy et al., 2000 and Yuksel, 2001). However, it is equally important to consider the impact of staff behaviour, efficiency, and friendliness on service quality.
Empirical evidence suggests that individuals with high empathic attributes possess an innate ability to discern signals of needs conveyed by others, which is a skill that is particularly vital in certain customer service disciplines (Bostjancic, 2010). Furthermore, the ability to be sensitive to people’s emotions and to react appropriately to unexpected situations is a hallmark of effective hotel management staff (Wilks & Hemsworth, 2011). In addition, Tesone and Ricci (2012), in their Florida, USA, findings, confirmed the high relevance of staff’s ability to empathise with guests as an attribute for integration into the hotel industry, thereby responding to the growing importance of interaction between employees and tourists in the hospitality context (Chu & Murrmann, 2006; Kuo et al., 2012). In essence, companies must invest in staff training to enhance these competencies, thereby ensuring a more seamless integration of guests into the hospitality milieu (Frías-Jamilena et al., 2018).
In summary, the cultural motivation factor is associated with aspects of age and experience in a similar manner. It is evident that there is a demonstrable interest in intercultural interaction among staff members in both elements. Within the domain of behavioural studies, experience has been demonstrated to exert a substantial influence on behaviour. However, the findings of the study demonstrate that age has been shown to act as an impediment to the adoption of novel forms of interaction and the demonstration of flexibility in behaviour.
6. Conclusions
The evolution of the tourism landscape, driven by the economic growth of emerging nations, necessitates a re-evaluation of cultural nuances to ensure the provision of optimal services. The components of cultural intelligence, encompassing motivation and behaviour, give rise to traits such as interests, attitudes, understanding, enthusiasm, and flexibility. These traits are indispensable for fostering effective interactions and mitigating cultural barriers.
Motivational CQ is defined as the ability to channel attention and energy to learn and function effectively in situations characterised by cultural differences [@ang2015]. Behavioural CQ is defined as an individual’s capacity to manifest suitable behaviours towards individuals from diverse cultural backgrounds [@ang2015; @MACNAB2012]. The probabilities estimated by the OLR models indicate consistently or predominantly exhibiting intercultural empathy in proportion with the increase in age and experience for the most significant variables obtained by the ACM.
The present study contributes to the extant literature on the relevance of elements of CQ motivation and CQ behaviour in the context of international tourism, demonstrating that elements such as age and years of experience in tourism among service providers directly increase, thereby favouring adequate interaction. This finding suggests that experience and mastery of the functions can be considered a guarantee of customer service derived from interest and behaviour in intercultural empathy. It is noteworthy that the extant literature on intercultural empathy and the influence of cultural intelligence elements is predominantly descriptive, encompassing quantitative studies, multivariate analysis, and inferential statistics through models.
The age and experience factors in the sample under study similarly encourage the development of the ability to understand and express oneself non-verbally with people from other cultures, as well as to know how to interpret the expressions and behaviour of people from other cultures. However, the age variable had no impact on the ability to modify previous disagreements and adapt them to the cultural environment, whereas experience allowed for a gradual increase in this ability over the years, as reflected in the research. This is a salient consideration given that exposure to tourism and the practice of interacting with individuals from diverse cultural backgrounds will enhance an individual’s capacity to adapt to previous paradigms and ideas that impede effective intercultural interaction. In conclusion, this study provides a comprehensive depiction of the significant increase in elements of cultural motivation and cultural behaviour that influence intercultural empathy in relation to the age and experience of tourism staff.
6.1. Recomendations
The following recommendations are derived from this study. In the context of research, the following areas warrant consideration: firstly, the field of medical tourism, with its focus on hospitals and personnel; secondly, the attention given to tourist patients; and thirdly, residential tourism in destinations that are in high demand. In the context of administrative functions, the programme has been found to be beneficial in the selection processes of tourism service personnel. Furthermore, its efficacy has been demonstrated in induction and permanent training programmes, particularly in relation to the attention of different current market niches. This instrument is of significant value in the identification of changes, interests, trends, and preferences, thereby providing a comprehensive explanation of the cultural behaviour patterns in question. It is recommended that this study be applied in different areas and services that cater to international tourism within the value chain of tourist attention, such as travel agencies, craft shops, guides, and promoters. Furthermore, the study should be expanded to encompass hotels, restaurants, amenities, and support services. Additionally, it is advised that the impact of the respondents’ university education on the degree of cultural intelligence developed in practice be determined. Its application in travel agencies will facilitate the delineation of the competence in cultural motivation and cultural behaviour within the induction profile. This will ensure that adequate attention is provided to tourists who most visit a destination or that staff are trained in these competencies. In addition to handicraft shops situated in designated tourist areas, tourist guides are encouraged to adapt their behaviour in accordance with the cultural norms of their visitors. One possible methodology to consider in instances where the MCA inertia is low would be a Confirmatory Factor Analysis. This multivariate technique is designed for the purpose of identifying factors in surveys.
While the study corroborates the significance of CQ in tourism service providers, further research is advocated to substantiate how customer CQ influences their behaviour and motivation, as well as their perception of appropriate service based on their cultural background.
Managerial Recommendations
It is recommended that consideration be given to research lines such as the field of medical tourism and the implementation of cultural competence in hospital policies, with particular reference to personnel in areas of attention to the tourist patient. A similar argument can be made in the context of residential tourism.
In the context of administrative practice, the integration of competence in organisational culture is paramount. The integration of cultural intelligence behaviour in manuals, coupled with the deployment of incentives and promotions to enhance motivation in this regard, serves to realise this objective. It is imperative to acknowledge this as a prerequisite in the selection procedures for tourism service personnel whilst also incorporating its implementation in induction and ongoing training programmes. Cultural diversity training programmes have been identified as a necessary tool to properly understand cultural variability and recognise intercultural behaviour, with the potential to generate a competitive advantage in the sector. The utilisation of cultural diversity training programmes has been identified as a conduit for fostering respect and cultivating sensitivity towards the multifaceted dimensions of diversity among managerial, employee, and customer demographics (Lim & Noriega, 2007).
The objective of cultural diversity training is to equip individuals with the competencies to function as proficient, culturally aware, and culturally sensitive intercultural communicators within the professional milieu (Hearns et al., 2007). In order to achieve these outcomes, cultural diversity training programmes should be designed in such a way as to educate on how to acquire leadership skills, such as cultural awareness and sensitivity (Lim & Noriega, 2007).
McKay et al. (2011) have observed that organisations with diversity policies designed to integrate multicultural employees into their structures as a competitive advantage foster the perception of a positive climate for diversity, which in turn results in higher customer satisfaction.
In the context of customer service, the concept of cultural competence assumes a pivotal role in facilitating the identification of the diverse needs of market segments. Moreover, it is imperative to be able to identify changes, interests, trends, and preferences in order to comprehend the multifaceted behavioural patterns exhibited by customers. Consequently, this facilitates the adaptation of customer service to address these requirements.
Author Contributions
Conceptualisation, M.d.P.A.-G.; methodology, M.d.P.A.-G. and M.A.L.-G.; software, M.A.L.-G.; validation, J.Á.S.-M. and A.G.-V.; investigation, M.d.P.A.-G.; formal analysis, M.A.L.-G.; resources, M.d.P.A.-G.; Data curation, M.d.P.A.-G. and M.A.L.-G.; writing—original draft preparation, M.d.P.A.-G. and M.A.L.-G.; writing—review and editing final document, M.d.P.A.-G., J.Á.S.-M., A.G.-V. and M.A.L.-G.; funding acquisition, M.d.P.A.-G. All authors have read and agreed to the published version of the manuscript.
Funding
This research received no external funding.
Institutional Review Board Statement
The necessity for ethical review and approval was waived for this study due to the application of questionnaires, which precluded the identification of respondents. Furthermore, the questions did not infringe upon the privacy of the subjects. The subjects were instructed to read the questionnaire prior to answering a single question.
Informed Consent Statement
Informed consent was obtained from all subjects involved in the study.
Data Availability Statement
The dataset used, along with this research, can be made available from the corresponding author upon reasonable request.
Acknowledgments
All sources of funding of the study should be disclosed. Please clearly indicate grants that you have received in support of your research work. Clearly state if you received funds for covering the costs to publish in open access.
Conflicts of Interest
The authors declare no conflicts of interest.
Abbreviations
The following abbreviations are used in this manuscript:
| IE | Intercultural empathy |
| CQ | Cultural quotient |
| MO | Motivational cultural intelligenge |
| MOIE | Motivational cultural intelligence, extrinsic interest |
| MOII | Motivational cultural intelligence, intrinsic interest |
| MOAU | Motivational cultural intelligende, adaptative self-efficacy |
| CO | Behaviour cultural intelligence |
| COCV | Behaviour cultural intelligence, verbal behaviour |
| CONV | Behaviour cultural intelligence, non-verbal behaviour |
| COPR | Behaviour cultural intelligence, communicative performance |
| MCA | Multiple Correspondence Analysis |
| OLR | Ordinal logistic regression |
References
- Abdullah, A. A., & Haan, M. H. (2012). Internal success factor of hotel occupancy rate. International Journal of Business and Social Science, 3(22), 8. [Google Scholar]
- Aboud, F. E., & Levy, S. R. (2013). Interventions to reduce prejudice and discrimination in children and adolescents. In Reducing prejudice and discrimination (pp. 269–293). Psychology Press. [Google Scholar]
- Agresti, A. (2010). Analysis of ordinal categorical data. John Wiley & Sons. [Google Scholar]
- Alam, F., Danieli, M., & Riccardi, G. (2018). Annotating and modeling empathy in spoken conversations. Computer Speech & Language, 50, 40–61. [Google Scholar] [CrossRef]
- Albiero, P., & Matricardi, G. (2013). Empathy towards people of different race and ethnicity: Further empirical evidence for the scale of ethnocultural empathy. International Journal of Intercultural Relations, 37(5), 648–655. [Google Scholar] [CrossRef]
- Alshaibani, E., & Bakir, A. (2017). A reading in cross-cultural service encounter: Exploring the relationship between cultural intelligence, employee performance and service quality. Tourism and Hospitality Research, 17(3), 249–263. [Google Scholar] [CrossRef]
- Ang, S., & Van Dyne, L. (2015). Handbook of cultural intelligence: Theory, measurement, and applications. Routledge. [Google Scholar]
- Ang, S., Van Dyne, L., Koh, C., Ng, K. Y., Templer, K. J., Tay, C., & Chandrasekar, N. A. (2007). Cultural intelligence: Its measurement and effects on cultural judgment and decision making, cultural adaptation and task performance. Management and Organization Review, 3(3), 335–371. [Google Scholar] [CrossRef]
- Arjona Granados, M. d. P. (2021). Factores de la inteligencia cultural que promueven la empatía intercultural de los proveedores de servicios con el turismo internacional en quintana roo [Unpublished doctoral dissertation]. Universidad Autónoma de Nuevo León. [Google Scholar]
- Arjona Granados, M. d. P. (2022). La incidencia de empatía intercultural en hombres y mujeres que laboran en agencias de viajes en Nuevo León. Turismo y Sociedad, 30, 51–69. [Google Scholar] [CrossRef]
- Arjona Granados, M. d. P. (2024). Relevancia de la inteligencia cultural en la calidad en el servicio al turismo internacional. Revista de El Colegio de San Luis, 14(25), 1–31. [Google Scholar] [CrossRef]
- Arora, P., & Rohmetra, N. (2010). Cultural intelligence: Leveraging differences to bridge the gap in the international hospitality industry. International Review of Business Research Papers, 6(5), 216–234. [Google Scholar]
- Arora, P., & Rohmetra, N. (2012). Cultural intelligence and customer satisfaction: A quantitative analysis of international hotels in India. Revista de Management şi Inginerie Economică, 11(1), 73–90. [Google Scholar]
- Arthur, W., Jr., & Bennet, W., Jr. (1995). The International Assignee: The relative importance of factors perveives to contribute to success. Personnel Psychology, 48(1), 99–114. [Google Scholar] [CrossRef]
- Belacchi, C., & Farina, E. (2012). Feeling and thinking of others: Affective and cognitive empathy and emotion comprehension in prosocial/hostile preschoolers. Aggressive Behavior, 38(2), 150–165. [Google Scholar] [CrossRef] [PubMed]
- Benatuil, D., & Laurito, M. J. (2011, November 22–25). Inteligencia cultural y personalidad. Análisis de las relaciones entre los constructos. III Congreso Internacional de Investigación y Práctica Profesional en Psicología XVIII Jornadas de Investigación Séptimo Encuentro de Investigadores en Psicología del MERCOSUR, Buenos Aires, Argentina. [Google Scholar]
- Bertram, D. (2008). Likert scales… are the meaning of life. Topic report. Available online: http://poincare.matf.bg.ac.rs/~kristina/topic-dane-likert.pdf (accessed on 15 January 2023).
- Bhaskar-Shrinivas, P., Harrison, D. A., Shaffer, M. A., & Luk, D. M. (2005). Input-based and time-based models of international adjustment: Meta-analytic evidence and theoretical extensions. Academy of Management Journal, 48(2), 257–281. [Google Scholar] [CrossRef]
- Bobanovic, M. K., & Grzinic, J. (2019). Teaching tourism students with cultural intelligence. UTMS Journal of Economics, 10(1), 85–95. [Google Scholar]
- Bostjancic, E. (2010). Personality, job satisfaction, and performance of slovenian managers-how big is the role of emotional intelligence in this? Studia Psychologica, 52(3), 207. [Google Scholar]
- Broome, B. (2015). Empathy. In The SAGE encyclopedia of intercultural competence (Vol. 2, pp. 287–290). Intercultural Communication Institute. [Google Scholar]
- Bücker, J. J., Furrer, O., Poutsma, E., & Buyens, D. (2014). The impact of cultural intelligence on communication effectiveness, job satisfaction and anxiety for Chinese host country managers working for foreign multinationals. The International Journal of Human Resource Management, 25(14), 2068–2087. [Google Scholar] [CrossRef]
- Chen, G.-M., & Starosta, W. J. (2000). The development and validation of the intercultural sensitivity scale. Human Communication, 3, 1–15. [Google Scholar]
- Chen, X.-P., Liu, D., & Portnoy, R. (2012). A multilevel investigation of motivational cultural intelligence, organizational diversity climate, and cultural sales: Evidence from US real estate firms. Journal of Applied Psychology, 97(1), 93. [Google Scholar] [CrossRef]
- Chu, K. H.-L., & Murrmann, S. K. (2006). Development and validation of the hospitality emotional labor scale. Tourism Management, 27(6), 1181–1191. [Google Scholar] [CrossRef]
- Consejo de Ministros de Europa. (2009). Libro blanco sobre el diálogo intercultural: “Vivir juntos con igual dignidad”. Ministerio de Cultura. [Google Scholar]
- Díaz-Monroy, L. G., & Morales-Rivera, M. A. (2012). Análisis estadístico de datos multivariados. Universidad Nacional de Colombia. [Google Scholar]
- Doxey, G. V. (1975, September 8–11). A causation theory of visitor-resident irritants: Methodology and research inferences. Travel and Tourism Research Associations Sixth Annual Conference Proceedings, San Diego, CA, USA. [Google Scholar]
- Earley, P. C. (2002). Redefining interactions across cultures and organizations: Moving forward with cultural intelligence. Research in Organizational Behavior, 24, 271–299. [Google Scholar] [CrossRef]
- Earley, P. C., & Ang, S. (2003). Cultural intelligence: Individual interactions across cultures. Stanford Business Books. [Google Scholar]
- Eccles, J. S., & Wigfield, A. (2002). Motivational beliefs, values, and goals. Annual Review of Psychology, 53, 109–132. [Google Scholar] [CrossRef]
- Esteban-Guitart, M., Rivas Damián, M. J., & Pérez Daniel, M. R. (2012). Empatía y tolerancia a la diversidad en un contexto educativo intercultural. Universitas Psychologica, 11(2), 415–426. [Google Scholar] [CrossRef]
- Frías-Jamilena, D. M., Sabiote-Ortiz, C. M., Martín-Santana, J. D., & Beerli-Palacio, A. (2018). Antecedents and consequences of cultural intelligence in tourism. Journal of Destination Marketing & Management, 8, 350–358. [Google Scholar] [CrossRef]
- Garaigordobil, M., & De Galdeano García, P. (2006). Empatía en niños de 10 a 12 años. Psicothema, 18(2), 180–186. [Google Scholar]
- Garaigordobil, M., & Maganto, C. (2011). Empatía y resolución de conflictos durante la infancia y la adolescencia: Empathy and conflict resolution during infancy and adolescence. Revista latinoamericana de psicología, 43(2), 255–266. [Google Scholar]
- García, M. O., de la O, I. L. R., & González, C. V. (2017). Tendencias del turismo hasta 2030. Contrastes entre lo internacional y lo nacional. In M. G. N. lo Andreu, & A. F. Barnet (Eds.), Anudar red. temas pendientes y nuevas oportunidades de cooperación en turismo (pp. 102–128). Publicacions Universitat Rovira i Virgili. [Google Scholar] [CrossRef]
- García Martínez, A. B. (2019). Empathy for social justice: The case of Malala Yousafzai. Journal of English Studies, 17, 253–275. [Google Scholar] [CrossRef]
- Ghahremani, D. G., Monterosso, J., Jentsch, J. D., Bilder, R. M., & Poldrack, R. A. (2009). Neural components underlying behavioral flexibility in human reversal learning. Cerebral Cortex, 20(8), 1843–1852. [Google Scholar] [CrossRef]
- Gudykunst, W. B. (2003). Cross-cultural and intercultural communication. Sage. [Google Scholar]
- Hansen, J. D., Singh, T., Weilbaker, D. C., & Guesalaga, R. (2011). Cultural intelligence in cross-cultural selling: Propositions and directions for future research. Journal of Personal Selling & Sales Management, 31(3), 243–254. [Google Scholar] [CrossRef]
- Haros Pérez, J. M., & Mata Sánchez, G. A. (2021). La inteligencia cultural como elemento de la diplomacia corporativa. 3C Empresa. Investigación y Pensamiento Crítico, 10(2), 69–89. [Google Scholar] [CrossRef]
- Harris, L. C. (2012). ‘Ripping off’ tourists: An empirical evaluation of tourists’ perceptions and service worker (mis)behavior. Annals of Tourism Research, 39(2), 1070–1093. [Google Scholar] [CrossRef]
- Harris, L. C., & Goode, M. M. (2004). The four levels of loyalty and the pivotal role of trust: A study of online service dynamics. Journal of Retailing, 80(2), 139–158. [Google Scholar] [CrossRef]
- Hearns, N., Devine, F., & Baum, T. (2007). The implications of contemporary cultural diversity for the hospitality curriculum. Education+ Training, 49(5), 350–363. [Google Scholar] [CrossRef]
- Heo, J. K., Jogaratnam, G., & Buchanan, P. (2004). Customer-focused adaptation in New York City hotels: Exploring the perceptions of Japanese and Korean travelers. International Journal of Hospitality Management, 23(1), 39–53. [Google Scholar] [CrossRef]
- Hofstede, G. (1980). Culture and organizations. International Studies of Management & Organization, 10(4), 15–41. [Google Scholar] [CrossRef]
- Hofstede, G., Hofstede, G. J., & Minkov, M. (2010). Cultures and organizations: Software of the mind: Intercultural cooperation and its importance for survival. McGraw-Hill. [Google Scholar]
- Ismail, A. (2002). Font office operations and management. Thomson Learning. [Google Scholar]
- Jain, R., & Jain, S. (2005). Towards relational exchange in services marketing: Insights from hospitality industry. Journal of Services Research, 5(2), 139–150. [Google Scholar]
- Javidan, M., Teagarden, M., & Bowen, D. (2010). Making it overseas. Harvard Business Review, 88(4), 109–113. [Google Scholar]
- Jolliffe, D., & Farrington, D. P. (2006). Development and validation of the basic empathy scale. Journal of Adolescence, 29(4), 589–611. [Google Scholar] [CrossRef] [PubMed]
- Kamal, M. A., & Jacob, M. (2019). Cross-cultural training and cultural intelligence of hospitality students: A case study in Egypt and Spain. Journal of Teaching in Travel & Tourism, 19(3), 191–215. [Google Scholar] [CrossRef]
- Kassambara, A., & Mundt, F. (2016). Factoextra: Extract and visualize the results of multivariate data analyses. CRAN: Contributed Packages. [Google Scholar]
- Kealey, D. J., & Protheroe, D. R. (1996). The effectiveness of cross-cultural training for expatriates: An assessment of the literature on the issue. International Journal of Intercultural Relations, 20(2), 141–165. [Google Scholar] [CrossRef]
- Kleinbaum, D. G., Dietz, K., Gail, M., Klein, M., & Klein, M. (2002). Logistic regression. Springer. [Google Scholar]
- Knapp, M. L., Hall, J. A., & Horgan, T. G. (1972). Nonverbal communication in human interaction. Thomson Wadsworth. [Google Scholar]
- Kuo, C.-M., Chen, L.-C., & Lu, C. Y. (2012). Factorial validation of hospitality service attitude. International Journal of Hospitality Management, 31(3), 944–951. [Google Scholar] [CrossRef]
- Lam, R., Cheung, C., & Lugosi, P. (2022). The impacts of cultural intelligence and emotional labor on the job satisfaction of luxury hotel employees. International Journal of Hospitality Management, 100, 103084. [Google Scholar] [CrossRef]
- Lam, V. (2021). The relationship of team cultural intelligence, language Proficiency, team trust, transformational leadership and team creativity in global virtual teams [Master’s thesis, Faculteit der Managementwetenschappen]. [Google Scholar]
- Latham, G. P., & Locke, E. A. (2007). New developments in and directions for goal-setting research. European Psychologist, 12(4), 290–300. [Google Scholar] [CrossRef]
- Lee, J. J., Crawford, A., Weber, M. R., & Dennison, D. (2018). Antecedents of cultural intelligence among american hospitality students: Moderating effect of ethnocentrism. Journal of Hospitality & Tourism Education, 30(3), 167–183. [Google Scholar] [CrossRef]
- Lê, S., Josse, J., & Husson, F. (2008). FactoMineR: An R package for multivariate analysis. Journal of Statistical Software, 25(1), 1–18. [Google Scholar] [CrossRef]
- Lim, E., & Noriega, P. (2007). The need for leadership support in cross-cultural diversity management in hospitality curriculums. Consortium Journal of Hospitality & Tourism, 12(1), 65. [Google Scholar]
- Ljubica, J., & Dulcic, Z. (2012). The role of cultural intelligence (Cq) In the strategy formulation process–application to the hotel industry. Annals and Proceedings of DAAAM International, 23(1), 115–120. [Google Scholar] [CrossRef]
- Lozano, A. M., & Etxebarria, I. (2007). La tolerancia a la diversidad en los adolescentes y su relación con la autoestima, la empatía y el concepto del ser humano. Journal for the Study of Education and Development, 30(1), 109–129. [Google Scholar] [CrossRef]
- MacNab, B. R., & Worthley, R. (2012). Individual characteristics as predictors of cultural intelligence development: The relevance of self-efficacy. International Journal of Intercultural Relations, 36(1), 62–71. [Google Scholar] [CrossRef]
- Marcoulides, G. A., & Saunders, C. (2006). Editor’s comments: PLS: A silver bullet? MIS Quarterly, 30(2), iii–ix. [Google Scholar] [CrossRef]
- McKay, P. F., Avery, D. R., Liao, H., & Morris, M. A. (2011). Does diversity climate lead to customer satisfaction? It depends on the service climate and business unit demography. Organization Science, 22(3), 788–803. [Google Scholar] [CrossRef]
- Mendenhall, W., Scheaffer, R. L., & Lyman Ott, R. (2006). Elementos de muestreo. Ediciones Paraninfo S.A. [Google Scholar]
- Micó-Cebrián, P., & Cava, M.-J. (2014). Intercultural sensitivity, empathy, self-concept and satisfaction with life in primary school students/Sensibilidad intercultural, empatía, autoconcepto y satisfacción con la vida en alumnos de educación primaria. Journal for the Study of Education and Development, 37(2), 342–367. [Google Scholar] [CrossRef]
- Molinsky, A. (2007). Cross-cultural code-switching: The psychological challenges of adapting behavior in foreign cultural interactions. Academy of Management Review, 32(2), 622–640. [Google Scholar] [CrossRef]
- Murphy, P., Pritchard, M. P., & Smith, B. (2000). The destination product and its impact on traveller perceptions. Tourism Management, 21(1), 43–52. [Google Scholar] [CrossRef]
- Navas Cueva, A. M., Xue, J., Kuypers, T., Van Hoof, H., Panchi-Enríquez, D. E., & Caiza, R. (2024). Inteligencia cultural en el lugar de trabajo: Un estudio entre empleados ecuatorianos de primera línea. COMPENDIUM: Cuadernos de Economía y Administración, 11(1), 1–14. [Google Scholar] [CrossRef]
- Nesdale, D., Griffith, J., Durkin, K., & Maass, A. (2005). Empathy, group norms and children’s ethnic attitudes. Journal of Applied Developmental Psychology, 26(6), 623–637. [Google Scholar] [CrossRef]
- Pizam, A., Pine, R., Mok, C., & Shin, J. Y. (1997). Nationality vs. industry cultures: Which has a greater effect on managerial behavior? International Journal of Hospitality Management, 16(2), 127–145. [Google Scholar] [CrossRef]
- Rasoal, C., Eklund, J., & Hansen, E. M. (2011). Toward a conceptualization of ethnocultural empathy. Journal of Social, Evolutionary, and Cultural Psychology, 5(1), 1. [Google Scholar] [CrossRef]
- Raub, S., & Liao, H. (2012). Doing the right thing without being told: Joint effects of initiative climate and general self-efficacy on employee proactive customer service performance. Journal of Applied Psychology, 97(3), 651. [Google Scholar] [CrossRef]
- R Core Team. (2024). R: A language and environment for statistical computing [Computer Software Manual]. The R Foundation. Available online: https://www.R-project.org/ (accessed on 15 April 2025).
- Reisinger, Y., & Turner, L. (1998). Cross-cultural differences in tourism: A strategy for tourism marketers. Journal of Travel & Tourism Marketing, 7(4), 79–106. [Google Scholar] [CrossRef]
- Ridley, C. R., & Lingle, D. W. (1996). Cultural empathy in multicultural counseling: A multidimensional process model. In Counseling across cultures. Sage Publications, Inc. [Google Scholar]
- Rumble, A. C., Van Lange, P. A. M., & Parks, C. D. (2010). The benefits of empathy: When empathy may sustain cooperation in social dilemmas. European Journal of Social Psychology, 40(5), 856–866. [Google Scholar] [CrossRef]
- Schultz, D., Izard, C. E., & Bear, G. (2004). Children’s emotion processing: Relations to emotionality and aggression. Development and Psychopathology, 16(2), 371–387. [Google Scholar] [CrossRef]
- Sevilla-Morales, J. A., Fernández-García, F., & Legarreta-González, M. A. (2022). Determinantes del emprendimiento en estudiantes universitarios en Tamaulipas, México. NovaRua, 14(24), 8–29. [Google Scholar] [CrossRef]
- Shih, M. J., Stotzer, R., & Gutiérrez, A. S. (2013). Perspective-taking and empathy: Generalizing the reduction of group bias towards Asian Americans to general outgroups. Asian American Journal of Psychology, 4(2), 79. [Google Scholar] [CrossRef]
- Smith, N., Suthitakon, N., Gulthawatvichai, T., & Karnjanakit, S. (2019). The circumstances pertaining to the behaviors, demands and gratification in tourist engagement in coffee tourism. Asian Interdisciplinary and Sustainability Review, 8(1), 221–233. [Google Scholar] [CrossRef]
- Sobalbarro-Figueroa, M. F., Legarreta-González, M. A., García-Fernández, F., Olivas-García, J. M., Carrillo-Soltero, M. E., & Guzmán-Rodríguez, A. (2020). Análisis Socioeconómico de los Pequeños Productores de Cacao en Honduras. Caso APROSACAO. CEIBA, 0848, 1–13. [Google Scholar] [CrossRef]
- Sudhir, A. (2013). Hotel front office: A training manual. Tata McGraw-Hill Education. [Google Scholar]
- Suthatorn, P., & Charoensukmongkol, P. (2018). Cultural intelligence and airline cabin crews members’ anxiety: The mediating roles of intercultural communication competence and service attentiveness. Journal of Human Resources in Hospitality & Tourism, 17(4), 423–444. [Google Scholar] [CrossRef]
- Teimouri, H., Hoojaghan, F. A., Jenab, K., & Khoury, S. (2016). The effect of managers’ business intelligence on attracting foreign tourists case study. International Journal of Organizational and Collective Intelligence (IJOCI), 6(2), 1–11. [Google Scholar] [CrossRef]
- Tesone, D. V., & Ricci, P. (2012). Hospitality industry expectations of entry-level college graduates: Attitude over aptitude. European Journal of Business and Social Sciences, 1(6), 140–149. [Google Scholar]
- Thomas, D. C., & Inkson, K. (2005). People skills for a global workplace. Consulting to Management, 16(1), 5. [Google Scholar]
- Thomas, D. C., & Inkson, K. (2007). Inteligencia cultural: Habilidades interpersonales para triunfar en la empresa global (Vol. 63). Grupo Planeta (GBS). [Google Scholar]
- Triandis, H. C. (2006). Cultural intelligence in organizations. Group & Organization Management, 31(1), 20–26. [Google Scholar] [CrossRef]
- Tsaur, S.-H., & Lin, Y.-C. (2004). Promoting service quality in tourist hotels: The role of HRM practices and service behavior. Tourism Management, 25(4), 471–481. [Google Scholar] [CrossRef]
- Tuleja, E. A. (2014). Developing cultural intelligence for global leadership through mindfulness. Journal of Teaching in International Business, 25(1), 5–24. [Google Scholar] [CrossRef]
- Vancouver, J. B., More, K. M., & Yoder, R. J. (2008). Self-efficacy and resource allocation: Support for a nonmonotonic, discontinuous model. Journal of Applied Psychology, 93(1), 35. [Google Scholar] [CrossRef] [PubMed]
- Van Dyne, L., Ang, S., & Livermore, D. (2010). Cultural intelligence: A pathway for leading in a rapidly globalizing world. Leading Across Differences, 4(2), 131–138. [Google Scholar]
- Van Dyne, L., Ang, S., Ng, K. Y., Rockstuhl, T., Tan, M. L., & Koh, C. (2012). Sub-dimensions of the four factor model of cultural intelligence: Expanding the conceptualization and measurement of cultural intelligence. Social and Personality Psychology Compass, 6(4), 295–313. [Google Scholar] [CrossRef]
- Van Oudenhoven, J. P., & Van der Zee, K. I. (2002). Predicting multicultural effectiveness of international students: The Multicultural Personality Questionnaire. International Journal of Intercultural Relations, 26(6), 679–694. [Google Scholar] [CrossRef]
- Varner, I., & Beamer, L. (2011). Intercultural communication in the global workplace. McGraw-Hill. [Google Scholar]
- Vlajčić, D., Caputo, A., Marzi, G., & Dabić, M. (2019). Expatriates managers’ cultural intelligence as promoter of knowledge transfer in multinational companies. Journal of Business Research, 94, 367–377. [Google Scholar] [CrossRef]
- Wickham, H., & Sievert, C. (2009). ggplot2: Elegant graphics for data analysis (Vol. 10). Springer. [Google Scholar]
- Wilks, D., & Hemsworth, K. (2011). Soft skills as key competencies in hospitality higher education: Matching demand and supply. Tourism & Management Studies, (7), 131–139. [Google Scholar]
- Yee, T. (2017). VGAM: Vector generalized linear and additive models. CRAN, 863–869. [Google Scholar] [CrossRef]
- Yuksel, A. (2001). Managing customer satisfaction and retention: A case of tourist destinations, Turkey. Journal of Vacation Marketing, 7(2), 153–168. [Google Scholar] [CrossRef]
Disclaimer/Publisher’s Note: The statements, opinions and data contained in all publications are solely those of the individual author(s) and contributor(s) and not of MDPI and/or the editor(s). MDPI and/or the editor(s) disclaim responsibility for any injury to people or property resulting from any ideas, methods, instructions or products referred to in the content. |
© 2025 by the authors. Licensee MDPI, Basel, Switzerland. This article is an open access article distributed under the terms and conditions of the Creative Commons Attribution (CC BY) license (https://creativecommons.org/licenses/by/4.0/).







