Next Article in Journal
Main Challenges for Child Digital Citizenship in a Consumer Culture in Brazil
Previous Article in Journal
An Illusion of Control: How El Salvador’s President Rhetorically Inflates His Ability to Quell Violence
Previous Article in Special Issue
Journalistic Quality Criteria under the Magnifying Glass: A Content Analysis of the Winning Stories of World Press Photo Foundation’s Digital Storytelling Contest
 
 
Correction published on 14 August 2023, see Journal. Media 2023, 4(3), 901.
Font Type:
Arial Georgia Verdana
Font Size:
Aa Aa Aa
Line Spacing:
Column Width:
Background:
Article

Sentiment and Storytelling: What Affect User Experience and Communication Effectiveness in Virtual Environments?

Digital Humanities Lab, Faculty of Humanities and Social Sciences, University of Basel, 4051 Basel, Switzerland
Journal. Media 2023, 4(1), 30-41; https://doi.org/10.3390/journalmedia4010003
Submission received: 12 September 2022 / Revised: 7 November 2022 / Accepted: 18 November 2022 / Published: 26 December 2022 / Corrected: 14 August 2023
(This article belongs to the Special Issue Immersive Media: Emerging Approaches to the Experience Economy)

Abstract

The use of virtual reality (VR) storytelling in cultural communication is increasing and has found its way into the journalism, tourism, museum, and exhibition industries. Earlier studies have examined VR storytelling to improve user experience (UX). However, there is still insufficient research on UX and communication effectiveness in an immersive virtual environment (IVE) in storytelling involving different sentiments. In this study, participants watched positive and negative news stories in three IVEs: 2D video, 360-degree video via mobile devices, and 360-degree video with a VR headset. The predictor variables of enjoyment and the impact of presence, flow, understanding, empathy, credibility, and enjoyment across the stories in IVEs were analyzed. Two models were constructed based on positive and negative stories. The findings show that predictor variables make different contributions to VR storytelling with different sentiments. The conclusions support IVE production in journalism based on sentiment to further improve UX and enhance communication effectiveness.

1. Introduction

The development of immersive technologies has allowed audiences to interact with a content environment through unique technical features and vivid presentations, such as virtual reality (VR) and augmented reality (AR). The literature shows that the use of immersive technologies in cultural experiences has economic, social, experiential, cognitive, cultural, historical, and educational value (Bekele and Champion 2019; Theodoropoulos and Antoniou 2022).
In the field of media and communication, journalists and documentary makers have long aspired to close the spatial and temporal gap between the audience and the events they portray, and recent advancements in VR technology offer potent tools for achieving this goal (Steed et al. 2018). VR is an advanced human–computer experience that simulates a realistic presence in a natural or imagined environment (Burdea and Coiffet 2003). The widespread dissemination of this technology has created a trend of communicating stories through VR. It has the potential to support incredibly complex narratives that are tailored to facilitate complex participant interactions. With VR, audiences can have a full 360-degree experience of a space rather than passively watching a narrative unfold in a frame. Digital marketing, tourism, museums, journalism, and other industries usually use 360-degree video VR as a primary aspect of the cultural experience, or to explain a marketing strategy, show the history of tourist attractions or guide visitors, and share news stories, depending on the nature of the industry (De Luca et al. 2022; Oncioiu and Priescu 2022; Giotis and Papadionysiou 2022).
Practitioners have identified multiple potential advantages of immersive material over more traditional formats (Hendriks Vettehen et al. 2019; Slater and Sanchez-Vives 2016). For example, users can have a better experience playing games, viewing movies, or performing other interactive media activities in an IVE than on a 2D screen (Sundar et al. 2017). One of the most heated debates involving VR is whether immersive storytelling can help people empathize with others who are facing situations the former have not experienced (Barreda-Ángeles et al. 2020; Laws 2017; Barbot and Kaufman 2020), such as refugees (Shin 2018), or matters related to the promotion of environmental awareness (Ahn et al. 2014). Does a story viewed through VR evoke a stronger emotional response than that viewed directly on a 2D screen? Studies have demonstrated that participants find it easier to become fully engaged while watching a video without external distractions using a VR headset, which in turn evokes a stronger emotional response (Johnson et al. 2018).
There are significant differences between immersive journalism production techniques and those of traditional audiovisual narratives, and some researchers have noticed a gap in different production techniques’ ability to transfer knowledge (Herrera Damas and Benítez de Gracia 2022). While a 360-degree view allows viewers to become genuinely immersed in a narrative, designing stories for this level of experience is not an easy task. Some contributions are based on the utilization of immersive storytelling; however, it is necessary to find ways to connect with the audiences (Herrera Damas and Benítez de Gracia 2022). Some studies have focused on designing storytelling techniques in IVEs and compared the impact of positive and negative news stories on user experience (UX).
This study chose VR news stories with different emotional content. An extensive qualitative analysis was conducted on presence, flow, empathy, credibility, understanding, and users’ (N = 263) enjoyment when viewing news with different emotional content in different immersive environments (2D video, 360-degree video via mobile devices, and 360-degree video with a VR headset). The study fills two gaps in the literature: the lack of sentiment analyses of immersive journalism and the lack of comparisons between UX and the communication effects of immersive journalism with different emotional content. The study’s contribution lies in finding ways to help audiences connect to positive and negative content. The conclusions have implications for practitioners with regard to producing news content in IVE, expressing emotions differently through news, and using appropriate approaches to facilitate UX and improve communication effectiveness.

2. Theoretical Background

2.1. Experience Economy Theory

Advances in the field of VR have led to the development of immersive journalism, which uses immersive technologies to give viewers a first-person experience (de la Peña et al. 2010). Journalism that uses immersive technology creates an IVE that allows users to engage with news stories in an unprecedented way (de la Peña et al. 2010; Herrera Damas and Benítez de Gracia 2022). Virtual storytelling captures viewers’ attention to the point where some viewers experience a sense of “being there” (Sundar et al. 2017).
Immersive journalism conjures up vivid imagery, arouses the senses, and allows users to learn something new and engage in thought-provoking experiences. Pine et al. (1999) used three characteristics to define a cultural product: meeting consumers’ innate needs, evoking emotions, and facilitating involvement in the experience. Thus, immersive journalism can also be considered a cultural experience product. The four dimensions of consumer experience are education, entertainment, aesthetics, and escapism.
Aesthetic experiences are key to creating positive and memorable user experiences, where users immerse themselves in a scene, event, or performance (Hosany and Witham 2010; Pine et al. 1999). Studies have shown that immersive technologies increase users’ perceived enjoyment of an experience, and that the desire for entertainment is the most significant driver to use immersive technologies (Boyle et al. 2012). The most important concept in the experience context refers to participants’ ability to enjoy recreational activities, which are a combination of visitor absorption, passive participation, and the fundamental need for an experience. People seek entertainment to escape reality and boredom, find exciting and interesting things to do to relax, and enrich their spiritual world through ways other than entertainment. Escapism is what allows people to forget reality by immersing themselves in an experience. Further, in cultural experiences, education is a desire to learn something new and an experience of active participation. Interaction and immersion trigger a higher level of engagement with digital content compared to traditional communication (Jung et al. 2017).

2.2. UX Theory and Effectiveness of Communication in IVEs

IVEs allow audiences to feel that they have become a part of the story (Baños et al. 2000; Felnhofer et al. 2015). This type of experience is termed “immersive,” and is often thought to be the result of positive experiences. The pleasure of playing computer games can be linked to immersion in a virtual world. The main reason for the popularity of VR is that it has a far more pronounced impact on immersion than traditional communication methods, such as text, photos, and videos (Sundar et al. 2017; Pull 2008). Earlier studies have also explored “presence” and “flow” in the context of immersion (Weibel and Wissmath 2011; Sherry 2004; Barreda-Ángeles et al. 2020; Baños et al. 2008).
“Presence” is characterized as the user’s awareness of another person in a mediated environment (Jennett et al. 2008; Nicovich et al. 2005). It has been defined as a subjective perception of a psychological experience in an environment created by computer technology. VR technology helps create a highly realistic environment (Slater et al. 1994), wherein audiences experience a perceptive illusion of “being there.” Thus, VR technology can create a stronger sense of presence due to the interactivity, vividness, and novelty that it offers (Steuer 1992; Azarby and Rice 2022).
Csikszentmihalyi (1990) described “flow” as an optimal experience, or a psychological state of being fully engaged, that individuals experience when fully immersed in an activity. Experiencing flow can allow audiences to perceive more enjoyment, satisfaction, and emotions (Webster et al. 1993). Flow can also exist in a human–machine interactive experience. Flow allows a user to focus on an activity, specifically when a stimulus appears in an IVE (Nakamura and Csikszentmihalyi 2014). In a 360-degree story, the sudden appearance of a person or object, an off-panel voice, or a sound effect could affect users’ experience of flow (Sherry 2004; Weibel and Wissmath 2011). Weibel and Wissmath (2011) examined the role of presence and flow in the context of a virtual environment, and found that presence and flow influence enjoyment and performance in digital games. When an experience is delivered through a VR headset, it elicits feelings of presence and flow among audiences (Yang and Zhang 2022; Raimondi et al. 2022).
Communication effectiveness is key to high-quality journalism. Factors such as viewers’ understanding, empathy, and credibility have the most direct impact on the effectiveness of communication (Lang et al. 1996; Lin et al. 2002). The main function of news stories is to increase the public’s understanding of socially relevant information. The publisher’s key goal is acceptance of the information and for the user to learn something new. This is a part of the education aspect of journalism. Thus, understanding is an important factor that shows communication effectiveness and UX.
News storytelling has changed with the development of technology. Communication techniques are strategic ways to hold viewers’ attention or elicit specific psychological responses to achieve desired results (Ahn et al. 2014). Theodore Glasser proposed the concept of “enjoyment of news use” (Hermida and Thurman 2008). Using VR to offer viewers more information can evoke more enjoyment among them (Hendriks Vettehen et al. 2019).
VR can trigger emotional, physical, behavioral, and physiological responses, and has been referred to as an “empathy machine” (Barbot and Kaufman 2020). Empathy can be created to a greater extent through an understanding of the subjective experiences of others and their environment (Schutte and Stilinović 2017). In virtual storytelling, although an individual’s level of empathetic engagement depends on their baseline empathy, audiences tend to show higher levels of empathy in IVEs (Shin 2018). VR storytelling can increase viewers’ perception of realism and stimulate empathy, thus increasing the general effectiveness of news communication (Hassan 2020).
Credibility creates journalistic value. Further, viewers assess news value based on participation, representation, and presentation (Meijer 2012). In an IVE, viewers may empathize with another person’s emotions or situation based on a sense of “being there,” or being close to those who directly experienced the event, leading to higher levels of credibility (Kang et al. 2019).
Enjoyment is an important determinant in terms of convincing audiences to consume news content (Van Damme et al. 2019). Sherry (2004) proposed uses and gratifications theory, and identified enjoyment as a critical reason for media use. Audiences derive more value from the news when they enjoy it. Immersive technologies therefore provide new opportunities for digital journalism.

2.3. Sentiment Analysis in IVEs

Sentiment analysis, which has emerged from the computational linguistics and computer science fields, is increasingly used in a wide range of research areas, including the social sciences, as well as media and communications. In the field of social sciences, it was initially applied to social media, public relations, political forecasting, and diffusion of audience research. The goal of using sentiment analysis in the social sciences is to explore the tendency of information in the media to represent mood or emotion. In digital journalism, sentiment analysis has been used for social web topics, online communication, and data journalism, and applied to text analysis to examine how a text expresses opinions, emotions, and sentiment (Puschmann and Powell 2018). However, few studies have used sentiment analysis for video news, especially digital journalism in VR. In news videos, captions, dialogues, and off-camera voices can also express emotions. Thus, this study uses sentiment analysis to objectively determine the sentiments expressed in news videos, including sentiments expressed through captions, dialogues, and off-camera voices (Rameshbhai and Paulose 2019).

2.4. Research Hypotheses

VR has become a popular means of telling stories to bring the world closer to the viewer. While studies have investigated communication effectiveness and UX in IVEs, few have compared the diverse conditions and sentiments in IVEs. How is the UX affected when viewing immersive news with positive and negative emotions in different immersive environments?
Research on the emotional impact of VR shows that using technology can boost emotional experiences (Susindar et al. 2019). Further, studies have found that VR can be a potent tool to examine the effects of emotions. VR, mediated by a greater experience of presence and natural connectivity, is also linked to more positive affect changes than the 2D format (Yeo et al. 2020). Few studies have conducted a sentiment analysis of immersive journalism, especially on the impact of positive and negative sentiments on UX under different technological environments. Therefore, this study selects two news stories for a sentiment analysis and explores changes in UX and communication effectiveness under different technological conditions. This study proposes the following hypotheses:
H1: 
In a negative news story, audiences will experience more presence, flow, understanding, empathy, credibility, and enjoyment via 360-degree videos than via a 2D format.
H2: 
In a positive news story, audiences will experience more presence, flow, understanding, empathy, credibility, and enjoyment via 360-degree videos than via a 2D format.
H3: 
Audiences will be more influenced by immersive technology in the case of a positive news story than in that of a negative news story.

3. Materials and Methods

3.1. Stimuli

Two news clips, “The Displaced” (Video 1) and “Under a Cracked Sky” (Video 2), were chosen as stimuli for the following reasons. First, both stories were published by the New York Times in 2D and 360-degree video (via mobile devices) formats, as well as VR versions, thus minimizing distractions and keeping the story content constant across different devices. Second, both stories are approximately 10 min in length and conform to the general length of a news clip. Third, the stories have entirely different content. “The Displaced” is a narrative about three refugee children forced out of their homes by wars, with scenes showing the lives of the three protagonists, Hana, Oleg, and Chuol. “Under a Cracked Sky” is an excerpt from the Antarctica Series, in which the two protagonists guide viewers through the clearest and coldest waters on Earth at McMurdo Station, Antarctica. The story contains beautiful shots of the deep sea and takes viewers on a mysterious journey. Fourth, the two stories evoke different emotional responses. “The Displaced” elicits negative emotional responses related to the grief and hardships faced by the children of refugees; “Under a Cracked Sky” invites a more positive emotional response as viewers discover the amazing wonders of the most transparent water on Earth.

3.2. Procedure

Volunteer participants were recruited from different faculties of various universities in Switzerland (N = 263). The participants were at least 18 years old, which complied with the ethics committee’s recommendations. Handmade gifts were offered to the participants as an incentive; no payments were provided. The participants were randomly assigned to three storytelling mediums (the regular 2D format on laptops, 360-degree video via mobile devices, and 360-degree video with a VR headset). However, the participants could not choose between the negative and positive stories as their groups were determined by the experimental place they chose. The experiment was introduced and explained by a staff member before the participants watched the news stories. The participants filled out an anonymous questionnaire after viewing each story. The entire experimental procedure took approximately 20 min (Figure 1).

3.3. Data Processing

During the pre-experimental phase, dialogues, monologues, and voice-overs in the news stories were collected to determine the differences in sentiment between the two stories. A sentiment analysis is a general approach in natural language processing, based on a novel recurrent neural network using a Stanford sentiment tree library built on syntactic structures (Socher et al. 2013). The semantics of the sentiment tree constitute a deep recursive model. The semantic space needs to build a representation of the whole sentence based on the sentence’s structure. It calculates sentiment based on how words form the meaning of longer phrases. The computed values represent the attitudes and opinions in the subtitles and dialogues of each news story.
The questionnaires used in this study assessed the variables using multi-item scales adapted from scales validated in previous research. Descriptions were modified to make them suitable for the study’s range of experimental content and environments. An 11-point Likert scale ranging from 0 (strongly disagree) to 10 (strongly agree) was used (Leung 2011). After pre-testing, unqualified items were removed. Lastly, the results of the analysis indicated that all the variables of the scales were reliable.
An analysis of presence and flow was conducted to evaluate audiences’ subjective experiences under various technological conditions. Presence was measured based on the MEC spatial presence questionnaire (Vorderer et al. 2004), resulting in a six-item presence scale. Flow was measured based on Novak’s scale (Novak et al. 2000), which was revised for conciseness. The resulting flow scale consisted of six items. Empathy was examined on a scale with five items taken from Davis (Davis 1983). Meanwhile, understanding was measured using five items based on existing concept measures (Busselle and Bilandzic 2009). Credibility was measured using six items from a study that explored the impact of traditional and technological features on the credibility of online news platforms (Chung et al. 2012; Hendriks Vettehen et al. 2019; Kleemans et al. 2014) The enjoyment scale consisted of five items based on previous questionnaires (Hendriks Vettehen et al. 2019; Green et al. 2004; Lin et al. 2002).

4. Results

4.1. Randomization Check

A total of 263 participants were recruited for the experiment and completed the questionnaires. The demographic data showed that 51.7% of the participants were female (N = 136) and 48.3% were male (N = 127). The age distribution was relatively concentrated as the participants were mainly recruited at universities in Switzerland. None of the three conditions showed significant differences between age, gender, and previous VR devices experience in the two story groups. These results suggest that the randomization was successful (Table 1).

4.2. Results of the Sentiment Analysis

The results for anger, anticipation, disgust, fear, joy, sadness, surprise, and trust were obtained by analyzing the captions, dialogues, and off-camera voices in the news videos (Table 2). The sentiment analysis of Video 1 was 45.16% positive and 54.85% negative, and the results were 71.05% and 28.95%, respectively, for Video 2. These findings show that the sentiments generated by the selected videos were significantly different, with Video 2 being much more positive than Video 1.

4.3. Overall Results of UX and Communication Effectiveness

This study’s data were analyzed using R and SPSS software for statistical computations. The significance of all the variables was determined using an analysis of variance (ANOVA) test with an α level of 0.05. The statistical significance of the differences was tested by evaluating whether the 95% confidence intervals (CIs) were exceeded.
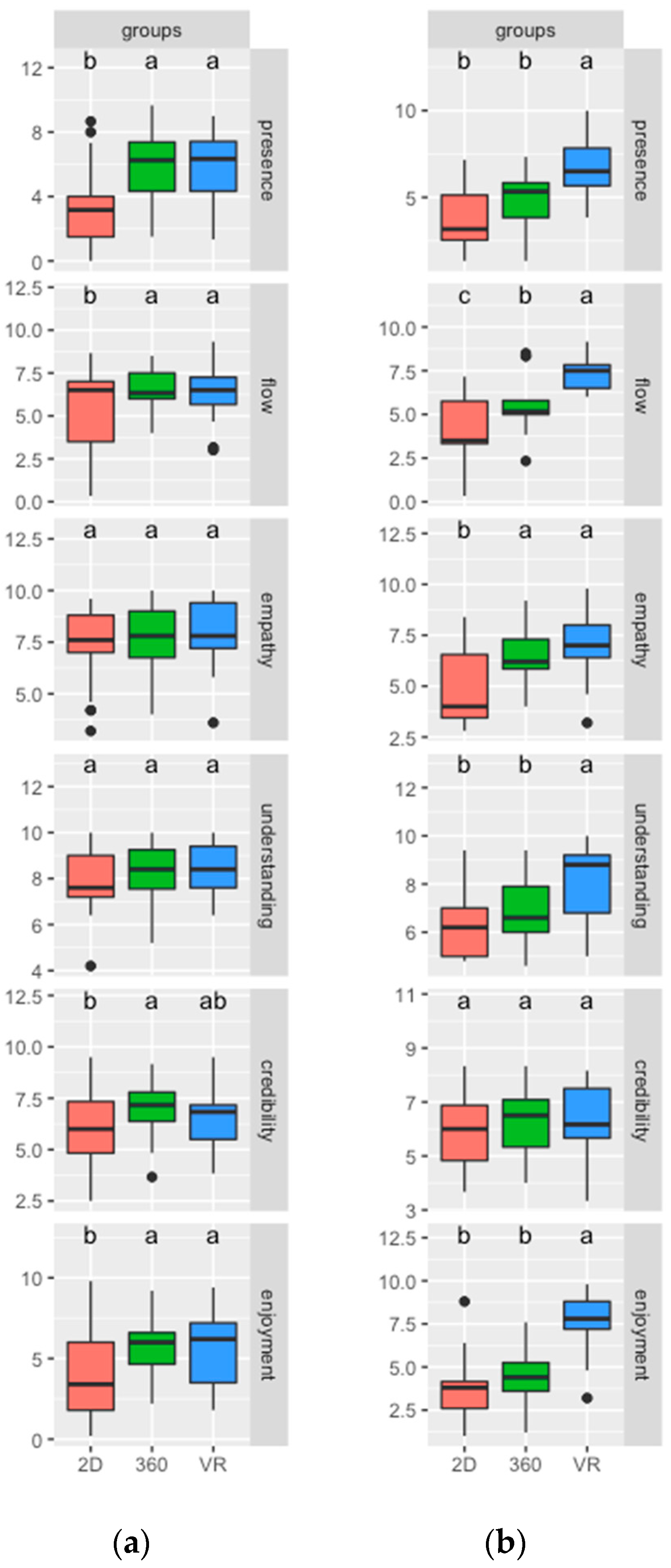
To test H1 and H2, ANOVAs were computed to examine the variables of the two news stories with different technological conditions (2D video, 360-degree video via mobile devices, and 360-degree video with a VR headset). To examine the variance between individual conditions in each news story, the ANOVA was supplemented with a least significant difference (LSD) post hoc test. Figure 2 provides a comprehensive overview of the results of all the conditions considering both videos.
The one-way ANOVA was deployed to measure the results of the three conditions with Videos 1 and 2. For Video 1, the results showed a small variance between the three conditions on understanding (p = 0.459), empathy (p = 0.343), and enjoyment (p = 0.021), and a large variance on presence (p = 0.001), flow (p = 0.007), and credibility (p = 0.004). For Video 2, the results showed a larger variance between the three conditions than that for Video 1. The results of the LSD post hoc test were strongly significant (p < 0.0001) between the three conditions on presence, flow, empathy, and enjoyment. Understanding was also significant (p = 0.006), while a non-significant result was found between the three conditions on credibility (p = 0.33).
The results indicated that in Video 1 (negative story), the variables scored somewhat higher for the 360-degree and VR devices than for the 2D format. Thus, the results of the ANOVAs supported H1, especially regarding the aspects of presence, credibility, and enjoyment. The participants who watched Video 2 experienced more presence, flow, empathy, credibility, understanding, and enjoyment via 360-degree videos than those who watched Video 2 (positive story) in a 2D format. Thus, H2 was also verified.
Viewing Video 2 more significantly influenced presence, flow, and enjoyment than watching Video 1. The differences in presence, credibility, and enjoyment after watching Video 2 were more significant across the IVEs. However, they were not significant for Video 1. The other variables scored somewhat higher for the 360-degree and VR devices than for the 2D format. The results showed that all the variables garnered higher scores for the 360-degree and VR devices than for the 2D format. Other variables were significant for Video 1, except for credibility. Presence, flow, empathy, understanding, and enjoyment all differed more significantly for Video 2 than for Video 1. One exception was that the difference in credibility was more significant for Video 1 than for Video 2. The results of the analysis of the variables for the 2D format and 360-degree and VR devices confirmed that the immersive environment had a greater influence on viewing positive news than on viewing negative news.
A multiple regression analysis was used to test the predictors’ contribution in the models. In the negative video model, presence (p = 0.098, 95%CI [−0.037, 0.098]) and flow (p = 0.138, 95%CI [−0.029, 0.138]) were not significant. An updated regression model of Video 1 was tested using other significant predictors: understanding, credibility, and empathy. The results of Video 1 indicated that five independent variables on enjoyment in the model explained 91.7% (R2 = 0.917). There was no collinearity in the model for Video 1 among understanding (VIF = 1.065), credibility (1.580), and empathy (1.584).
In the positive video model, presence (p = 0.460, 95%CI [−0.042, 0.093]) and empathy (p = 0.944, 95%CI [−0.074, 0.079]) were not significant. An updated regression model of Video 2 tested flow, understanding, and credibility. The independent variables on enjoyment in the model for Video 2 explained 92.8% (R2 = 0.928). There was no collinearity in the model for Video 2 among flow (VIF = 1.070), understanding (1.654), and credibility (1.580).
In the negative video model, understanding (β = 0.553, p < 0.0001), credibility (β = 0.522, p < 0.0001), and empathy (β = 0.198, p < 0.0001) contributed to enjoyment. In the positive model, flow (β = 0.207, p < 0.0001), understanding (β = 0.641, p < 0.0001), and credibility (β = 0.344, p < 0.0001) contributed to enjoyment.

5. Discussion

This study makes several important theoretical and practical contributions regarding UX and communication effectiveness in IVEs. First, the study examines immersive journalism, which has a unique character that can better heighten the state of presence, flow, understanding, empathy, credibility, and enjoyment in UX and communication effectiveness compared to a 2D-viewing experience. The results confirm that the more viewers are immersed in an environment, the better their UX and the effectiveness of the communication. Second, the study confirms that enjoyment is influenced by different variables in positive and negative news. Sentiment is central to how people interact with things, and is integral to the practice of journalism itself (Stupart 2021). As a result, digital journalism content can be designed according to either the positive or negative sentiment models to communicate a desired viewpoint and enhance UX accurately.
Due to a lack of evidence on current storytelling in IVEs and the communication effectiveness of immersive journalism, practitioners have questioned the value and potential use of immersive journalism. This study contributes to the literature by validating the view that immersive journalism can be a powerful form of communication to induce optimal states of presence, flow, understanding, empathy, credibility, and enjoyment.
This study contributes to the literature on the sentiment analysis of immersive journalism. The findings suggest that sentiment analysis can be used to determine the sentiment expressed in news stories and to delve into how technology contributes to positive and negative sentiments in news stories. This study provides experimental data to support the conclusion that news stories with positive and negative sentiments require different strategies to enhance audience responses and improve communication effectiveness. Understanding makes the greatest contribution to enjoyment in any IVE and for any sentiment; this supports the notion that understanding is the key factor for telling a news story. Evoking empathy is more difficult in the case of news stories that express a positive sentiment than in the case of those with a negative sentiment, and it is more challenging to immerse viewers in the virtual environment of stories that express a positive sentiment.
The study makes practical contributions to journalism and production design. Immersive journalism using immersive storytelling should be designed in accordance with the emotions expressed by the themes. In the case of videos that express a positive sentiment, VR devices are ideal tools to demonstrate the impact of human activity on the environment, with the possibility of showing images of beautiful natural scenery. Focusing on enhancing viewers’ immersive experiences through the use of images, sounds, or other visualization methods can achieve better communication effectiveness. In contrast, viewers are more likely to empathize naturally with news that contain a negative sentiment, but the impact of technology on communication effectiveness may not be significant. Enhancing the credibility of news information and inducing empathy can give viewers the experience of “being there” and being immersed in a story. Today, VR is used in diverse cultural experiences. These findings are not limited to journalism. Sentiment analysis of the content presented, and storytelling designed to match different emotions will greatly enhance UX and the effectiveness of content communication in the context of cultural experiences.

6. Conclusions, Limitations, Implications, and Future Work

This research focused on VR storytelling to determine the best UX and the effectiveness of communication in immersive news. Two news were used as experimental material, and three immersive environments, 2D video, 360-degree video via mobile devices, and 360-degree video with a VR headset, were considered. Data collection was evaluated using a questionnaire that addressed presence, flow, understanding, empathy, credibility, and enjoyment. The results revealed better scores for the factors in immersive environments (360-degree video via mobile devices and 360-degree video with a VR headset) than in the 2D format. While immersive journalism has led to better UX and communication effectiveness, the sentiment analysis of news content still provides significant practical implications. In the case of both positive and negative news, understanding and credibility contribute significantly to enjoyment, which is consistent with the nature of news; users expect information and truth from news videos. However, the contribution of flow and empathy to enjoyment in the case of both positive and negative news varies considerably. The findings highlight that VR offers greater utility by enhancing UX and communication effectiveness for positive stories than for negative ones.
This study had several limitations. First, a common problem with this type of research is the number of news story themes and a small sample size, which results in limited statistical power. The questionnaire, given the number of questions, was demanding for the participants. Completing the questionnaire within 10–15 min after watching a 10 min news story may have fatigued them, leading to possible errors (e.g., giving scores without reading each question carefully). Additional measurements would further extend the experiment time. Therefore, electrodermal measures and electroencephalogram (EEG) were not used in the data collection. Lastly, this study did not pay attention to a mutual influence between the variables. Further research is needed to identify the precise mechanisms underlying this effect, to distinguish sentiments across multiple themes, and to compare the UX of different immersive technologies and devices under different sentiments. Further investigation of the variables of UX with diverse themes and sentiments in the IVEs is required to deepen our understanding of the potential benefits and challenges presented by the practical application of VR technology. Age, occupation, educational background, and other differences between individuals (e.g., motion sickness and wearing glasses) may affect UX results. Therefore, in future studies, we will expand the sample size as much as possible to obtain more stable and accurate results and UX models. In addition to using questionnaires to collect UX data, researchers could incorporate deep learning-based facial expression recognition into the UX. Further, multiple-data collection using electrodermal measures and EEG can be carried out with a randomly selected subset of participants.

Funding

This research was funded by the Publication Fund of the University of Basel for Open Access.

Institutional Review Board Statement

Not applicable.

Informed Consent Statement

Informed consent was obtained from all subjects involved in the study.

Data Availability Statement

The data presented in this study are available from the corresponding author on request. The data are not made public to respect the privacy of participants.

Conflicts of Interest

The author declares no conflict of interest.

References

  1. Ahn, Sun Joo, Jeremy N. Bailenson, and Dooyeon Park. 2014. Short- and Long-Term Effects of Embodied Experiences in Immersive Virtual Environments on Environmental Locus of Control and Behavior. Computers in Human Behavior 39: 235–45. [Google Scholar] [CrossRef]
  2. Azarby, Sahand, and Arthur Rice. 2022. Understanding the Effects of Virtual Reality System Usage on Spatial Perception: The Potential Impacts of Immersive Virtual Reality on Spatial Design Decisions. Sustainability 14: 10326. [Google Scholar] [CrossRef]
  3. Baños, Rosa María, Cristina Botella, Azucena Garcia-Palacios, Helena Villa, Concepción Perpiñá, and Mariano Alcaniz. 2000. Presence and Reality Judgment in Virtual Environments: A Unitary Construct? Cyberpsychology and Behavior 3: 327–35. [Google Scholar] [CrossRef]
  4. Baños, Rosa María, Cristina Botella, Isabel Rubió, Soledad Quero, Azucena García-Palacios, and Mariano Alcañiz. 2008. Presence and Emotions in Virtual Environments: The Influence of Stereoscopy. Cyberpsychology and Behavior 11: 1–8. [Google Scholar] [CrossRef]
  5. Barbot, Baptiste, and James C. Kaufman. 2020. What Makes Immersive Virtual Reality the Ultimate Empathy Machine? Discerning the Underlying Mechanisms of Change. Computers in Human Behavior 111: 106431. [Google Scholar] [CrossRef]
  6. Barreda-Ángeles, Miguel, Sara Aleix-Guillaume, and Alexandre Pereda-Banõs. 2020. An ‘Empathy Machine’ or a ‘Just-for-the-Fun-of-It’ Machine? Effects of Immersion in Nonfiction 360-Video Stories on Empathy and Enjoyment. Cyberpsychology, Behavior, and Social Networking 23: 683–88. [Google Scholar] [CrossRef]
  7. Bekele, Mafkereseb Kassahun, and Erik Champion. 2019. A Comparison of Immersive Realities and Interaction Methods: Cultural Learning in Virtual Heritage. Frontiers in Robotics and AI 6: 91. [Google Scholar] [CrossRef]
  8. Boyle, Elizabeth A., Thomas M. Connolly, Thomas Hainey, and James M. Boyle. 2012. Engagement in Digital Entertainment Games: A Systematic Review. Computers in Human Behavior 28: 771–80. [Google Scholar] [CrossRef]
  9. Burdea, Grigore C., and Philippe Coiffet. 2003. Virtual Reality Technology. Hoboken: John Wiley & Sons. [Google Scholar]
  10. Busselle, Rick, and Helena Bilandzic. 2009. Measuring Narrative Engagement. Media Psychology 12: 321–47. [Google Scholar] [CrossRef]
  11. Chung, Chung Joo, Yoonjae Nam, and Michael A. Stefanone. 2012. Exploring Online News Credibility: The Relative Influence of Traditional and Technological Factors. Journal of Computer-Mediated Communication 17: 171–86. [Google Scholar] [CrossRef]
  12. Csikszentmihalyi, Mihaly. 1990. Flow: The Psychology of Optimal Experience. New York: Harper & Row. [Google Scholar]
  13. Davis, Mark H. 1983. Measuring Individual Differences in Empathy: Evidence for a Multidimensional Approach. Journal of Personality and Social Psychology 44: 113–26. [Google Scholar] [CrossRef]
  14. de la Peña, Nonny, Peggy Weil, Joan Llobera, Elias Giannopoulos, Ausiás Pomés, Bernhard Spanlang, Doron Friedman, Maria V. Sanchez-Vives, and Mel Slater. 2010. Immersive Journalism: Immersive Virtual Reality for the First-Person Experience of News. Presence: Teleoperators and Virtual Environments 19: 291–301. [Google Scholar] [CrossRef]
  15. De Luca, Valerio, Giorgia Marcantonio, Maria Cristina Barba, and Lucio Tommaso De Paolis. 2022. A Virtual Tour for the Promotion of Tourism of the City of Bari. Information 13: 339. [Google Scholar] [CrossRef]
  16. Felnhofer, Anna, Oswald D. Kothgassner, Mareike Schmidt, Anna Katharina Heinzle, Leon Beutl, Helmut Hlavacs, and Ilse Kryspin-Exner. 2015. Is Virtual Reality Emotionally Arousing? Investigating Five Emotion Inducing Virtual Park Scenarios. International Journal of Human Computer Studies 82: 48–56. [Google Scholar] [CrossRef]
  17. Giotis, Georgios, and Evangelia Papadionysiou. 2022. The Role of Managerial and Technological Innovations in the Tourism Industry: A Review of the Empirical Literature. Sustainability (Switzerland) 14: 5182. [Google Scholar] [CrossRef]
  18. Green, Melanie C., Timothy C. Brock, and Geoff F. Kaufman. 2004. Understanding Media Enjoyment: The Role of Transportation into Narrative Worlds. Communication Theory 14: 311–27. [Google Scholar] [CrossRef]
  19. Hassan, Robert. 2020. Digitality, Virtual Reality and the “Empathy Machine”. Digital Journalism 8: 195–212. [Google Scholar] [CrossRef]
  20. Hendriks Vettehen, Paul, Daan Wiltink, Maite Huiskamp, Gabi Schaap, and Paul Ketelaar. 2019. Taking the Full View: How Viewers Respond to 360-Degree Video News. Computers in Human Behavior 91: 24–32. [Google Scholar] [CrossRef]
  21. Hermida, Alfred, and Neil Thurman. 2008. A Clash of Cultures: The Integration of User-Generated Content within Professional Journalistic Frameworks at British Newspaper Websites. Journalism Practice 2: 343–56. [Google Scholar] [CrossRef]
  22. Herrera Damas, Susana, and María José Benítez de Gracia. 2022. Immersive Journalism: Advantages, Disadvantages and Challenges from the Perspective of Experts. Journalism and Media 3: 330–47. [Google Scholar] [CrossRef]
  23. Hosany, Sameer, and Mark Witham. 2010. Dimensions of Cruisers’ Experiences, Satisfaction, and Intention to Recommend. Journal of Travel Research 49: 351–64. [Google Scholar] [CrossRef]
  24. Jennett, Charlene, Anna L. Cox, Paul Cairns, Samira Dhoparee, Andrew Epps, Tim Tijs, and Alison Walton. 2008. Measuring and Defining the Experience of Immersion in Games. International Journal of Human Computer Studies 66: 641–61. [Google Scholar] [CrossRef]
  25. Johnson, Daniel, Madison Klarkowski, Kellie Vella, Cody Phillips, Mitchell McEwan, and Christopher N. Watling. 2018. Greater Rewards in Videogames Lead to More Presence, Enjoyment and Effort. Computers in Human Behavior 87: 66–74. [Google Scholar] [CrossRef]
  26. Jung, Timothy, M. Claudia tom Dieck, Natasha Moorhouse, and Dario tom Dieck. 2017. Tourists’ Experience of Virtual Reality Applications. Paper presented at 2017 IEEE International Conference on Consumer Electronics (ICCE), Las Vegas, NV, USA, January 8–10; pp. 208–10. [Google Scholar]
  27. Kang, Seok, Erin O’Brien, Arturo Villarreal, Wansoo Lee, and Chad Mahood. 2019. Immersive Journalism and Telepresence. Digital Journalism 7: 294–313. [Google Scholar] [CrossRef]
  28. Kleemans, Mariska, Paul Hendriks Vettehen, Rob Eisinga, and Johannes W. J. Beentjes. 2014. Enjoyment of Arousing Television News: The Role of Age and Sensation Seeking. Communications 39: 89–99. [Google Scholar] [CrossRef]
  29. Lang, Annie, John Newhagen, and Byron Reeves. 1996. Negative Video as Structure: Emotion, Attention, Capacity, and Memory. Journal of Broadcasting & Electronic Media 40: 460–77. [Google Scholar] [CrossRef]
  30. Laws, Ana. 2017. Can Immersive Journalism Enhance Empathy? Digital Journalism 8: 213–28. [Google Scholar] [CrossRef]
  31. Leung, Shing-On. 2011. A Comparison of Psychometric Properties and Normality in 4-, 5-, 6-, and 11-Point Likert Scales. Journal of Social Service Research 37: 412–21. [Google Scholar] [CrossRef]
  32. Lin, James Jeng Weei, Henry B. L. Duh, Donald E. Parker, Habib Abi-Rached, and Thomas A. Furness. 2002. Effects of Field of View on Presence, Enjoyment, Memory, and Simulator Sickness in a Virtual Environment. Paper presented at Proceedings IEEE Virtual Reality, Orlando, FL, USA, March 24–28; pp. 164–71. [Google Scholar] [CrossRef]
  33. Meijer, Irene Costera. 2012. Valuable Journalism: A Search for Quality from the Vantage Point of the User. Journalism 14: 754–70. [Google Scholar] [CrossRef]
  34. Nakamura, Jeanne, and Mihaly Csikszentmihalyi. 2014. The Concept of Flow BT - Flow and the Foundations of Positive Psychology: The Collected Works of Mihaly Csikszentmihalyi. Edited by Mihaly Csikszentmihalyi. Dordrecht: Springer, pp. 239–63. [Google Scholar] [CrossRef]
  35. Nicovich, Stef G., Gregory W. Boller, and T. Bettina Cornwell. 2005. Experienced Presence within Computer-Mediated Communications: Initial Explorations on the Effects of Gender with Respect to Empathy and Immersion. Journal of Computer-Mediated Communication 10: JCMC1023. [Google Scholar] [CrossRef]
  36. Novak, Thomas P., Donna L. Hoffman, and Yiu Fai Yung. 2000. Measuring the Customer Experience in Online Environments: A Structural Modeling Approach. Marketing Science 19: 22–42. [Google Scholar] [CrossRef]
  37. Oncioiu, Ionica, and Iustin Priescu. 2022. The Use of Virtual Reality in Tourism Destinations as a Tool to Develop Tourist Behavior Perspective. Sustainability 14: 4191. [Google Scholar] [CrossRef]
  38. Pine, B. Joseph, Joseph Pine, and James H Gilmore. 1999. The Experience Economy: Work Is Theatre & Every Business a Stage. Boston: Harvard Business Press. [Google Scholar]
  39. Pull, Charles B. 2008. Recent Trends in the Study of Specific Phobias. Current Opinion in Psychiatry 21: 43–50. [Google Scholar] [CrossRef] [PubMed]
  40. Puschmann, Cornelius, and Alison Powell. 2018. Turning Words into Consumer Preferences: How Sentiment Analysis Is Framed in Research and the News Media. Social Media + Society 4: 2056305118797724. [Google Scholar] [CrossRef]
  41. Raimondi, Tommaso, Claudio Saragosa, and Iacopo Bernetti. 2022. The Combination of Serious Gaming and Immersive Virtual Reality through the Constructivist Approach: An Application to Teaching Architecture. Education Sciences 12: 536. [Google Scholar]
  42. Rameshbhai, Chaudhary Jashubhai, and Joy Paulose. 2019. Opinion Mining on Newspaper Headlines Using SVM and NLP. International Journal of Electrical and Computer Engineering 9: 2152–63. [Google Scholar] [CrossRef]
  43. Schutte, Nicola S., and Emma J. Stilinović. 2017. Facilitating Empathy through Virtual Reality. Motivation and Emotion 41: 708–12. [Google Scholar] [CrossRef]
  44. Sherry, John L. 2004. Flow and Media Enjoyment. Communication Theory 14: 328–47. [Google Scholar] [CrossRef]
  45. Shin, Donghee. 2018. Empathy and Embodied Experience in Virtual Environment: To What Extent Can Virtual Reality Stimulate Empathy and Embodied Experience? Computers in Human Behavior 78: 64–73. [Google Scholar] [CrossRef]
  46. Slater, Mel, and Maria V. Sanchez-Vives. 2016. Enhancing Our Lives with Immersive Virtual Reality. Frontiers in Robotics and AI 3: 74. [Google Scholar] [CrossRef]
  47. Slater, Mel, Martin Usoh, and Anthony Steed. 1994. Depth of Presence in Virtual Environments. Presence: Teleoperators and Virtual Environments 3: 130–44. [Google Scholar] [CrossRef]
  48. Socher, Richard, Alex Perelygin, Jean Y. Wu, Jason Chuang, Christopher D. Manning, Andrew Y. Ng, and Christopher Potts. 2013. Recursive Deep Models for Semantic Compositionality over a Sentiment Treebank. Paper presented at the EMNLP 2013—2013 Conference on Empirical Methods in Natural Language Processing, Seattle, WA, USA, October 18–21; pp. 1631–42. [Google Scholar]
  49. Steed, Anthony, Ye Pan, Zillah Watson, and Mel Slater. 2018. “We Wait”-The Impact of Character Responsiveness and Self Embodiment on Presence and Interest in an Immersive News Experience. Frontiers Robotics AI 5: 112. [Google Scholar] [CrossRef]
  50. Steuer, Jonathan. 1992. Defining Virtual Reality: Dimensions Determining Telepresence. Journal of Communication 42: 73–93. [Google Scholar] [CrossRef]
  51. Stupart, Richard. 2021. Tired, Hungry, and on Deadline: Affect and Emotion in the Practice of Conflict Journalism. Journalism Studies 22: 1574–89. [Google Scholar] [CrossRef]
  52. Sundar, S. Shyam, Jin Kang, and Danielle Oprean. 2017. Being There in the Midst of the Story: How Immersive Journalism Affects Our Perceptions and Cognitions. Cyberpsychology, Behavior, and Social Networking 20: 672–82. [Google Scholar] [CrossRef] [PubMed]
  53. Susindar, Sahinya, Mahnoosh Sadeghi, Lea Huntington, Andrew Singer, and Thomas K. Ferris. 2019. The Feeling Is Real: Emotion Elicitation in Virtual Reality. Proceedings of the Human Factors and Ergonomics Society Annual Meeting 63: 252–56. [Google Scholar] [CrossRef]
  54. Theodoropoulos, Anastasios, and Angeliki Antoniou. 2022. VR Games in Cultural Heritage: A Systematic Review of the Emerging Fields of Virtual Reality and Culture Games. Applied Sciences 12: 8476. [Google Scholar]
  55. Van Damme, Kristin, Anissa All, Lieven De Marez, and Sarah Van Leuven. 2019. 360° Video Journalism: Experimental Study on the Effect of Immersion on News Experience and Distant Suffering. Journalism Studies 20: 2053–76. [Google Scholar] [CrossRef]
  56. Vorderer, Peter, Werner Wirth, Feliz Ribeiro Gouveia, Frank Biocca, Timo Saari, Lutz Jäncke, Saskia Böcking, Holger Schramm, Andre Gysbers, Tilo Hartmann, and et al. 2004. MEC Spatial Presence Questionnaire (MEC-SPQ). Short Documentation and Instructions for Application. Report to the European Community, Project Presence: MEC (IST-2001-37661). Available online: https://www.researchgate.net/publication/318531435_MEC_spatial_presence_questionnaire_MEC-SPQ_Short_documentation_and_instructions_for_application (accessed on 1 April 2022).
  57. Webster, Jane, Linda Klebe Trevino, and Lisa Ryan. 1993. The Dimensionality and Correlates of Flow in Human-Computer Interactions. Computers in Human Behavior 9: 411–26. [Google Scholar] [CrossRef]
  58. Weibel, David, and Bartholomäus Wissmath. 2011. Immersion in Computer Games: The Role of Spatial Presence and Flow. International Journal of Computer Games Technology 2011: 282345. [Google Scholar] [CrossRef]
  59. Yang, Shuran, and Wenxiang Zhang. 2022. Presence and Flow in the Context of Virtual Reality Storytelling: What Influences Enjoyment in Virtual Environments? Cyberpsychology, Behavior, and Social Networking 25: 101–9. [Google Scholar] [CrossRef] [PubMed]
  60. Yeo, N. L., M. P. White, I. Alcock, R. Garside, S. G. Dean, A. J. Smalley, and B. Gatersleben. 2020. What Is the Best Way of Delivering Virtual Nature for Improving Mood? An Experimental Comparison of High Definition TV, 360° Video, and Computer Generated Virtual Reality. Journal of Environmental Psychology 72: 101500. [Google Scholar] [CrossRef] [PubMed]
Figure 1. Experimental framework.
Figure 1. Experimental framework.
Journalmedia 04 00003 g001
Figure 2. Effect of IVEs on presence, flow, empathy, credibility, understanding, and enjoyment. (a) Video 1; (b) Video 2.
Figure 2. Effect of IVEs on presence, flow, empathy, credibility, understanding, and enjoyment. (a) Video 1; (b) Video 2.
Journalmedia 04 00003 g002
Table 1. Sample demographics.
Table 1. Sample demographics.
“The Displaced”“Under the Cracked Sky”
2D360VRTotal2D360VRTotal
Gender
Female52.38%55%50%52.46%52.17%50%51.02%51.06%
Male47.62%45%50%47.54%47.83%50%48.98%48.94%
Age
18–204.76%0%2.5%2.46%0%2.17%4.08%2.13%
20–2516.67%20%30%22.13%6.52%10.87%14.29%10.64%
26–3064.29%40%45%50%56.52%45.65%61.22%54.61%
31–3514.29%35%15%21.31%19.57%21.74%10.2%17.02%
>350%5%7.50%4.1%17.39%19.57%10.2%15.6%
VR experience
Never52.38%50%45%49.18%43.48%45.65%40.82%43.26%
1–5 times35.71%35%40%36.89%36.96%45.65%46.94%43.26%
>5 times11.91%15%15%13.93%19.57%8.7%12.24%13.48%
TotalN = 42N = 40N = 40N = 122N = 46N = 46N = 49N = 141
Table 2. The result of the sentiment analysis.
Table 2. The result of the sentiment analysis.
AngerAnticipationDisgustFearJoySadnessSurpriseTrust
Video 18.06%12.90%4.84%29.03%11.29%11.29%8.06%14.52%
Video 22.90%20.29%2.90%7.97%16.67%10.87%7.97%30.43%
Disclaimer/Publisher’s Note: The statements, opinions and data contained in all publications are solely those of the individual author(s) and contributor(s) and not of MDPI and/or the editor(s). MDPI and/or the editor(s) disclaim responsibility for any injury to people or property resulting from any ideas, methods, instructions or products referred to in the content.

Share and Cite

MDPI and ACS Style

Yang, S. Sentiment and Storytelling: What Affect User Experience and Communication Effectiveness in Virtual Environments? Journal. Media 2023, 4, 30-41. https://doi.org/10.3390/journalmedia4010003

AMA Style

Yang S. Sentiment and Storytelling: What Affect User Experience and Communication Effectiveness in Virtual Environments? Journalism and Media. 2023; 4(1):30-41. https://doi.org/10.3390/journalmedia4010003

Chicago/Turabian Style

Yang, Shuran. 2023. "Sentiment and Storytelling: What Affect User Experience and Communication Effectiveness in Virtual Environments?" Journalism and Media 4, no. 1: 30-41. https://doi.org/10.3390/journalmedia4010003

APA Style

Yang, S. (2023). Sentiment and Storytelling: What Affect User Experience and Communication Effectiveness in Virtual Environments? Journalism and Media, 4(1), 30-41. https://doi.org/10.3390/journalmedia4010003

Article Metrics

Back to TopTop