The Spatiotemporal Characteristics and Interactions between Urban Expansion and Tidal Flat Dynamics: A Case Study of Three Highly Urbanized Coastal Counties in the Southeastern United States
Abstract
:1. Introduction
2. Materials and Methods
2.1. Study Area
2.2. Data
2.3. Methods
2.3.1. Tidal Flat Dynamics
- Annual distribution: As a preliminary consideration of dynamic analysis, it is necessary to summarize the temporal change patterns of tidal flat areas. The data were organized by year and county, then illustrated as line chart. Based on this chart, we observed the evolutionary trends and the years of significantly larger or smaller areas than the subsequent years. Accordingly, the further explorations were conducted by referencing the related studies, which explains the geographical backgrounds behind the identified temporal change patterns in each county.
- Spatial occurrence: Another preliminary consideration is to map the distribution of tidal flats in the three counties. Every county has 31 annual maps (binary images) of tidal flats from 1985 to 2015, where the raster value of 1 represents tidal flats and the raster value of 0 represents non-tidal flats. The Raster Calculator provided by ArcGIS was used to sum up all these binary images, which derives the occurrence map of tidal flats. On the generated map, the pixel values vary from 0 (without occurrence) to 31 (always occurrence), which visualizes the spatial patterns of tidal flat distribution during the three decades [13,38,39]. Additionally, the pixel values were divided by 31 and visualized as map-edge summaries, which gives the annual average area of tidal flats with respect to longitudes and latitudes. Accordingly, we found the peaks from these map-edge summaries, which highlights the locations and quantifies the intensities of tidal flat clusters.
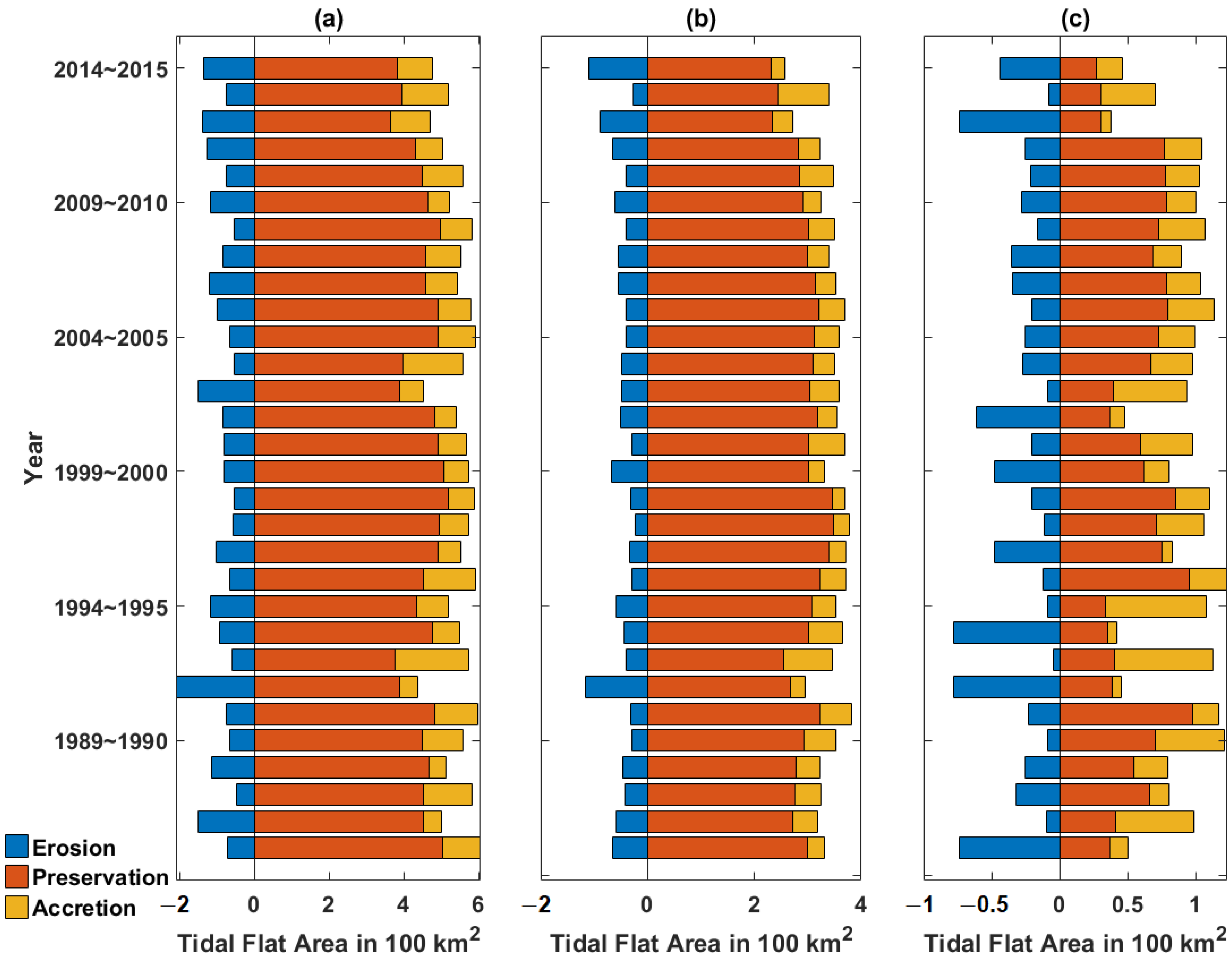
- Overlapping and comparison: An in-depth inspection of spatiotemporal dynamics was given by overlapping and comparing the maps of tidal flats in the subsequent years [13,39]. A total of 30 comparison results were generated from the annual maps from 1985 to 2015, where tidal flat pixels in the previous year appearing as non-tidal flat pixels in the latter year were regarded as erosions, and accretions in the reverse cases. In addition, the pixels appearing as tidal flats in two consecutive years were considered as preservations. The results of this comparison were summarized as bar charts, in which the annual areas of the three events (erosion, accretion, and preservation) were separately visualized and analyzed. Additionally, this comparison was conducted between the annual maps of every ten years (1985 vs. 1995, 1995 vs. 2005, and 2005 vs. 2015), and the spatial distribution of the areas of the three events were visualized on maps. Likewise, the spatial patterns given by the generated maps were displayed as map-edge summaries, in which the accretions contribute to positive values, and the erosions contribute to negative values, and the preservations correspond to zeroes.
2.3.2. Urbanization Processes
- Annual distribution: Likewise, the temporal analysis of urban expansion was based on a line chart, which summarizes the urban area by year and county. Accordingly, we identified the periods of rapid developments in every single county and compare the urban expansion rates between different counties.
- Overlapping and comparison: To visualize the spatial distribution of urban expansion, an overlapping comparison was conducted between the annual maps of urban extents in every ten years (1985 vs. 1995, 1995 vs. 2005, and 2005 vs. 2015). The result was labelled in different colors with respect to the ten-year windows, which allows to find the new urban areas of different periods. Additionally, the new urban areas of different ten-year windows were quantified by the map-edge summaries, in which the peaks identify the intensive urbanizations during the corresponding periods.
- Seaward expansions: Aiming at the nearshore zone, an extra assessment was conducted which summarizes the temporal patterns of the urbanization process in the three counties. For every county, the coastal buffer was applied to the 31 annual maps of urban extents, which derives the newly urbanized lands in every year within the three decades. These new urban areas are regarded as seaward expansions, which were summarized as a line chart with respect to year and county. It highlights the rate of urbanization on or adjacent to the coast, which further provides a reference for the assessments of interactions between urban areas and tidal flats.
2.3.3. Interactions between Tidal Flats and Urban Areas
- Direct urbanizations: From the results of overlapping comparisons in Section 2.3.1, we extracted the tidal flat erosions by year and county. For every year, we found the overlaps between the new urban areas and tidal flat erosions, which refer to the direct urbanizations on tidal flats. The results were organized by year and county, and then summarized as a table.
- Indirect impacts: Based on the maps of seaward expansions (Section 2.3.2), we created the buffers of different distances (200 m, 500 m, and 1 km) around the new urban areas. The three distance buffers were applied to the map of tidal flat erosions in the corresponding year, which generated the area of erosions with respect to the distance to the new urban areas. The result was organized by year and buffer zone (within 200 m, 200 to 500 m, and 500 m to 1 km), which was visualized as line charts and used to quantify the indirect impacts on the surrounding areas.
- Spatial correlations: In this part, we implemented two overlapping comparisons between the maps in the initial year (1985) and latest year (2015). The first comparison was for tidal flats, and the second one was for the urban extents. Again, we are only interested in the nearshore zones, so the coastal buffer wase applied to the urban extents and extracted the seaward expansions during the three decades. The two results of overlapping comparisons were visualized on the maps, from which we observed the spatial correlations between the clusters of new urban areas and tidal flat losses. In addition, there was a pair of parallel map-edge summaries: one was for the seaward urban expansions, and another one was for the area changes of tidal flats.
3. Results
3.1. Tidal Flat Dynamics
3.2. Urbanization Processes
3.3. Interactions between Tidal Flats and Urban Areas
4. Discussion and Conclusions
4.1. Explanations for the Identified Patterns
4.2. Environmental Consequences and Possible Solutions
4.3. Limitations and Future Work
Author Contributions
Funding
Institutional Review Board Statement
Informed Consent Statement
Data Availability Statement
Acknowledgments
Conflicts of Interest
References
- Flemming, B.W.; Hansom, J.D. Estuarine and Coastal Geology and Geomorphology—A Synthesis. In Treatise on Estuarine and Coastal Science; Wolanski, E., McLusky, D.S., Eds.; Academic Press: Waltham, MA, USA, 2011; Volume 3, pp. 1–5. [Google Scholar]
- Gao, S. Geomorphology and Sedimentology of Tidal Flats. In Coastal Wetlands; Elsevier: Amsterdam, The Netherlands, 2019; pp. 359–381. [Google Scholar]
- Mullarney, J.C.; Henderson, S.M.; Reyns, J.A.; Norris, B.K.; Bryan, K.R. Spatially varying drag within a wave-exposed mangrove forest and on the adjacent tidal flat. Cont. Shelf Res. 2017, 147, 102–113. [Google Scholar] [CrossRef]
- Reed, D.; van Wesenbeeck, B.; Herman, P.M.; Meselhe, E. Tidal flat-wetland systems as flood defenses: Understanding biogeomorphic controls. Estuar. Coast. Shelf Sci. 2018, 213, 269–282. [Google Scholar] [CrossRef]
- Britannica, E. Encyclopædia britannica. 2015. Available online: https://www.britannica.com/ (accessed on 20 February 2022).
- Chan, Y.-C.; Peng, H.-B.; Han, Y.-X.; Chung, S.S.-W.; Li, J.; Zhang, L.; Piersma, T. Conserving unprotected important coastal habitats in the Yellow Sea: Shorebird occurrence, distribution and food resources at Lianyungang. Glob. Ecol. Conserv. 2019, 20, e00724. [Google Scholar] [CrossRef]
- Li, P.D.; Jeewon, R.; Aruna, B.; Li, H.Y.; Lin, F.C.; Wang, H.K. Metabarcoding reveals differences in fungal communities between unflooded versus tidal flat soil in coastal saline ecosystem. Sci. Total Environ. 2019, 690, 911–922. [Google Scholar] [CrossRef]
- Saad, J.F.; Narvarte, M.A.; Abrameto, M.A.; Alder, V.A. Drivers of nano-and microplanktonic community structure in a Patagonian tidal flat ecosystem. J. Plankton Res. 2019, 41, 621–639. [Google Scholar] [CrossRef]
- Kaneko, S.; Kanou, K.; Sano, M. Differences in fish assemblage structures between tidal marsh and bare sandy littoral habitats in a brackish water lake, eastern Japan. Ichthyol. Res. 2020, 67, 439–450. [Google Scholar] [CrossRef]
- Choi, Y.R. Profitable tidal flats, governable fishing communities: Assembling tidal flat fisheries in post-crisis South Korea. Political Geogr. 2019, 72, 20–30. [Google Scholar] [CrossRef]
- Xu, M.; Cui, B.; Lan, S.; Li, D.; Wang, Y.; Jiang, B. Exploring Dynamic Change of the Tidal Flat Aquaculture Area in the Shandong Peninsula (China) using Multitemporal Landsat Imagery (1990–2015). J. Coast. Res. 2020, 99, 197–202. [Google Scholar] [CrossRef]
- Murray, N.J.; Phinn, S.R.; DeWitt, M.; Ferrari, R.; Johnston, R.; Lyons, M.B.; Clinton, N.; Thau, D.; Fuller, R.A. The global distribution and trajectory of tidal flats. Nature 2019, 565, 222–225. [Google Scholar] [CrossRef]
- Xu, C.; Liu, W. Mapping and analyzing the annual dynamics of tidal flats in the conterminous United States from 1984 to 2020 using Google Earth Engine. Environ. Adv. 2022, 7, 100147. [Google Scholar] [CrossRef]
- Cao, W.; Zhou, Y.; Li, R.; Li, X.; Zhang, H. Monitoring long-term annual urban expansion (1986–2017) in the largest archipelago of China. Sci. Total Environ. 2021, 776, 146015. [Google Scholar] [CrossRef]
- Hu, Y.; Zhang, Y. Spatial–temporal dynamics and driving factor analysis of urban ecological land in Zhuhai city, China. Sci. Rep. 2020, 10, 1–15. [Google Scholar] [CrossRef] [PubMed]
- Rifat, S.; Liu, W. Measuring Community Disaster Resilience in the Conterminous Coastal United States. ISPRS Int. J. Geo-Inf. 2020, 9, 469. [Google Scholar] [CrossRef]
- Li, X.; Zhang, X.; Qiu, C.; Duan, Y.; Liu, S.A.; Chen, D.; Zhu, C. Rapid loss of tidal flats in the Yangtze River Delta since 1974. Int. J. Environ. Res. Public Health 2020, 7, 1636. [Google Scholar] [CrossRef] [Green Version]
- Gorelick, N.; Hancher, M.; Dixon, M.; Ilyushchenko, S.; Thau, D.; Moore, R. Google Earth Engine: Planetary-scale geospatial analysis for everyone. Remote Sens. Environ. 2017, 202, 18–27. [Google Scholar] [CrossRef]
- Zhao, Y.; Liu, Q.; Huang, R.; Pan, H.; Xu, M. Recent Evolution of Coastal Tidal Flats and the Impacts of Intensified Human Activities in the Modern Radial Sand Ridges, East China. Int. J. Environ. Res. Public Health 2020, 17, 3191. [Google Scholar] [CrossRef]
- Fan, Y.; Chen, S.; Zhao, B.; Yu, S.; Ji, H.; Jiang, C. Monitoring tidal flat dynamics affected by human activities along an eroded coast in the Yellow River Delta, China. Environ. Monit. Assess. 2018, 190, 396. [Google Scholar] [CrossRef]
- Cao, W.; Li, R.; Chi, X.; Chen, N.; Chen, J.; Zhang, H.; Zhang, F. Island urbanization and its ecological consequences: A case study in the Zhoushan Island, East China. Ecol. Indic. 2017, 76, 1–14. [Google Scholar] [CrossRef]
- Lai, S.; Loke, L.H.; Hilton, M.J.; Bouma, T.J.; Todd, P.A. The effects of urbanisation on coastal habitats and the potential for ecological engineering: A Singapore case study. Ocean Coast. Manag. 2015, 103, 78–85. [Google Scholar] [CrossRef]
- Central Intelligence Agency. Coastline. The World Factbook. 2022. Available online: https://www.cia.gov/the-world-factbook/field/coastline/ (accessed on 20 February 2022).
- United States Census Bureau. Annual Resident Population Estimates, Estimated Components of Resident Population Change, and Rates of the Components of Resident Population Change for States and Counties: 1 April 2010 to 1 July 2020. County Population Totals: 2010–2020. 2020. Available online: https://www.census.gov/programs-surveys/popest/technical-documentation/research/evaluation-estimates/2020-evaluation-estimates/2010s-counties-total.html (accessed on 20 February 2022).
- Miththapala, S. Tidal flats; Coastal Ecosystems Series (Volume 5); IUCN: Colombo, Sri Lanka, 2013; 48p.
- Sanger, D.; Parker, C. Guide to the Salt Marshes and Tidal Creeks of the Southeastern United States; South Carolina Department of Natural Resources: Columbia, SC, USA, 2016.
- Blanton, J.O.; Andrade, F.; Ferreira, M. The Relationship of Hydrodynamics to Morphology in Tidal Creek and Salt Marsh Systems of South Carolina and Georgia. In Changing Land Use Patterns in the Coastal Zone; Springer: New York, NY, USA, 2006; pp. 93–107. [Google Scholar]
- Peel, M.C.; Finlayson, B.L.; McMahon, T.A. Updated world map of the Köppen-Geiger climate classification. Hydrol. Earth Syst. Sci. 2007, 11, 1633–1644. [Google Scholar] [CrossRef] [Green Version]
- Mendoza-Sanchez, I.; Phanikumar, M.S.; Niu, J.; Masoner, J.R.; Cozzarelli, I.M.; McGuire, J.T. Quantifying wetland–aquifer interactions in a humid subtropical climate region: An integrated approach. J. Hydrol. 2013, 498, 237–253. [Google Scholar] [CrossRef]
- Li, X.; Zhou, Y.; Zhu, Z.; Cao, W. A national dataset of 30 m annual urban extent dynamics (1985–2015) in the conterminous United States. Earth Syst. Sci. Data 2020, 12, 357–371. [Google Scholar] [CrossRef] [Green Version]
- Homer, C.; Dewitz, J.; Yang, L.; Jin, S.; Danielson, P.; Xian, G.; Coulston, J.; Herold, N.; Wickham, J.; Megown, K. Completion of the 2011 National Land Cover Database for the conterminous United States–representing a decade of land cover change information. Photogramm. Eng. Remote Sens. 2015, 81, 345–354. [Google Scholar]
- Xian, G.; Homer, C.; Fry, J. Updating the 2001 National Land Cover Database land cover classification to 2006 by using Landsat imagery change detection methods. Remote Sens. Environ. 2009, 113, 1133–1147. [Google Scholar] [CrossRef] [Green Version]
- Li, X.; Zhou, Y. Urban mapping using DMSP/OLS stable night-time light: A review. Int. J. Remote Sens. 2017, 38, 6030–6046. [Google Scholar] [CrossRef]
- Li, X.; Zhou, Y.; Zhu, Z.; Liang, L.; Yu, B.; Cao, W. Mapping annual urban dynamics (1985–2015) using time series of Landsat data. Remote Sens. Environ. 2018, 216, 674–683. [Google Scholar] [CrossRef]
- Song, X.P.; Sexton, J.O.; Huang, C.; Channan, S.; Townshend, J.R. Characterizing the magnitude, timing and duration of urban growth from time series of Landsat-based estimates of impervious cover. Remote Sens. Environ. 2016, 175, 1–13. [Google Scholar] [CrossRef]
- Pekel, J.F.; Cottam, A.; Gorelick, N.; Belward, A.S. High-resolution mapping of global surface water and its long-term changes. Nature 2016, 540, 418–422. [Google Scholar] [CrossRef]
- National Oceanic and Atmospheric Administration. NOAA Medium Resolution Shoreline. 2016. Available online: https://shoreline.noaa.gov/data/datasheets/medres.html (accessed on 20 February 2022).
- Xu, C.; Liu, W. Integrating a Three-Level GIS Framework and a Graph Model to Track, Represent, and Analyze the Dynamic Activities of Tidal Flats. ISPRS Int. J. Geo-Inf. 2021, 10, 61. [Google Scholar] [CrossRef]
- Xu, C.; Liu, W. The Spatiotemporal Characteristics and Dynamic Changes of Tidal Flats in Florida from 1984 to 2020. Geographies 2021, 1, 292–314. [Google Scholar] [CrossRef]
- Mann, H.B. Nonparametric tests against trend. Econom. J. Econom. Soc. 1945, 13, 245–259. [Google Scholar] [CrossRef]
- Kendall, M.G. Rank Correlation Methods; Charles Griffin: London, UK, 1975. [Google Scholar]
- Freedman, D.; Pisani, R.; Purves, R. Statistics (International Student Edition), 4th ed.; Pisani, R.P., Ed.; WW Norton & Company: New York, NY, USA, 2007. [Google Scholar]
- Leterme, S.C.; Allais, L.; Jendyk, J.; Hemraj, D.A.; Newton, K.; Mitchell, J.; Shanafield, M. Drought conditions and recovery in the Coorong wetland, south Australia in 1997–2013. Estuar. Coast. Shelf Sci. 2015, 163, 175–184. [Google Scholar] [CrossRef]
- Gilbert, S.; Lackstrom, K.; Tufford, D. The Impact of Drought on Coastal Ecosystems in the Carolinas; Research Report: CISA-2012-01; Carolinas Integrated Sciences and Assessments: Columbia, SC, USA, 2012. [Google Scholar]
- Goodman, A.C.; Thorne, K.M.; Buffington, K.J.; Freeman, C.M.; Janousek, C.N. El Niño increases high-tide flooding in tidal wetlands along the US Pacific Coast. J. Geophys. Res. Biogeosci. 2018, 123, 3162–3177. [Google Scholar] [CrossRef]
- Halpert, M. United States el Niño Impacts. NOAA Climate.gov. 2021. Available online: https://www.climate.gov/news-features/blogs/enso/united-states-el-ni%C3%B1o-impacts-0 (accessed on 17 February 2022).
- Eppink, F.V.; van den Bergh, J.C.; Rietveld, P. Modelling biodiversity and land use: Urban growth, agriculture and nature in a wetland area. Ecol. Econ. 2004, 51, 201–216. [Google Scholar] [CrossRef]
- Vousdoukas, M.I.; Ranasinghe, R.; Mentaschi, L.; Plomaritis, T.A.; Athanasiou, P.; Luijendijk, A.; Feyen, L. Sandy coastlines under threat of erosion. Nat. Clim. Chang. 2020, 10, 260–263. [Google Scholar] [CrossRef]
- Marsooli, R.; Lin, N.; Emanuel, K.; Feng, K. Climate change exacerbates hurricane flood hazards along US Atlantic and Gulf Coasts in spatially varying patterns. Nat. Commun. 2019, 10, 1–9. [Google Scholar] [CrossRef] [Green Version]
- Zhang, M.; Dai, Z.; Bouma, T.J.; Bricker, J.; Townend, I.; Wen, J.; Zhao, T.; Cai, H. Tidal-flat reclamation aggravates potential risk from storm impacts. Coast. Eng. 2021, 166, 103868. [Google Scholar] [CrossRef]
- Park, G. A Comprehensive Analysis of Hurricane Damage across the US Gulf and Atlantic Coasts Using Geospatial Big Data. ISPRS Int. J. Geo-Inf. 2021, 10, 781. [Google Scholar] [CrossRef]
- Yoon, J.J. Evaluation of the Tidal-flat Ecosystem Restoration Effect on the Construction of Hwangdo Bridge in Taean. J. Coast. Disaster Prev. 2021, 8, 79–88. [Google Scholar] [CrossRef]
- Nguyen, N.T.; Friess, D.A.; Todd, P.A.; Mazor, T.; Lovelock, C.E.; Lowe, R.; Gilmour, J.; Chou, L.M.; Bhatia, N.; Jaafar, Z.; et al. Maximising resilience to sea-level rise in urban coastal ecosystems through systematic conservation planning. Landsc. Urban Plan. 2022, 221, 104374. [Google Scholar] [CrossRef]
- Borchert, S.M.; Osland, M.J.; Enwright, N.M.; Griffith, K.T. Coastal wetland adaptation to sea level rise: Quantifying potential for landward migration and coastal squeeze. J. Appl. Ecol. 2018, 55, 2876–2887. [Google Scholar] [CrossRef]
- Leo, K.L.; Gillies, C.L.; Fitzsimons, J.A.; Hale, L.Z.; Beck, M.W. Coastal habitat squeeze: A review of adaptation solutions for saltmarsh, mangrove and beach habitats. Ocean Coast. Manag. 2019, 175, 180–190. [Google Scholar] [CrossRef]
- Zhao, C.; Qin, C.Z.; Teng, J. Mapping large-area tidal flats without the dependence on tidal elevations: A case study of Southern China. ISPRS J. Photogramm. Remote Sens. 2020, 159, 256–270. [Google Scholar] [CrossRef]
- Wickham, J.; Stehman, S.V.; Sorenson, D.G.; Gass, L.; Dewitz, J.A. Thematic accuracy assessment of the NLCD 2016 land cover for the conterminous United States. Remote Sens. Environ. 2021, 257, 112357. [Google Scholar] [CrossRef]
- Sohl, T.L.; Sayler, K.L.; Bouchard, M.A.; Reker, R.R.; Freisz, A.M.; Bennett, S.L.; Van Hofwegen, T. Conterminous United States Land Cover Projections—1992 to 2100; US Geological Survey Data Release: Reston, VA, USA, 2018. [CrossRef]
- Sohl, T.L.; Sayler, K.L.; Bouchard, M.A.; Reker, R.R.; Friesz, A.M.; Bennett, S.L.; Sleeter, B.M.; Sleeter, R.R.; Wilson, T.; Soulard, C.; et al. Spatially explicit modeling of 1992–2100 land cover and forest stand age for the conterminous United States. Ecol. Appl. 2014, 24, 1015–1036. [Google Scholar] [CrossRef] [PubMed]











| Current Year 1 | Charleston, SC | Chatham, GA | Duval, FL |
|---|---|---|---|
| 1986 | 0.24 | 0.12 | 0.47 |
| 1987 | 0.62 | 0.04 | 0.08 |
| 1988 | 0.14 | 0.14 | 0.18 |
| 1989 | 0.25 | 0.14 | 0.17 |
| 1990 | 0.16 | 0.11 | 0.12 |
| 1991 | 0.23 | 0.11 | 0.35 |
| 1992 | 0.61 | 0.30 | 0.46 |
| 1993 | 0.03 | 0.18 | 0.03 |
| 1994 | 0.31 | 0.21 | 0.32 |
| 1995 | 0.09 | 0.32 | 0.05 |
| 1996 | 0.68 | 0.11 | 0.13 |
| 1997 | 0.18 | 0.12 | 0.31 |
| 1998 | 0.14 | 0.14 | 0.07 |
| 1999 | 0.17 | 0.18 | 0.24 |
| 2000 | 0.17 | 0.11 | 0.15 |
| 2001 | 0.25 | 0.14 | 0.17 |
| 2002 | 0.35 | 0.11 | 0.32 |
| 2003 | 0.18 | 0.29 | 0.04 |
| 2004 | 0.11 | 0.19 | 0.14 |
| 2005 | 0.19 | 0.15 | 0.38 |
| 2006 | 0.40 | 0.26 | 0.18 |
| 2007 | 0.38 | 0.19 | 0.31 |
| 2008 | 0.31 | 0.20 | 0.26 |
| 2009 | 0.21 | 0.16 | 0.17 |
| 2010 | 0.20 | 0.10 | 0.17 |
| 2011 | 0.23 | 0.13 | 0.20 |
| 2012 | 0.28 | 0.19 | 0.23 |
| 2013 | 0.35 | 0.19 | 0.45 |
| 2014 | 0.23 | 0.07 | 0.15 |
| 2015 | 0.49 | 0.31 | 0.15 |
Publisher’s Note: MDPI stays neutral with regard to jurisdictional claims in published maps and institutional affiliations. |
© 2022 by the authors. Licensee MDPI, Basel, Switzerland. This article is an open access article distributed under the terms and conditions of the Creative Commons Attribution (CC BY) license (https://creativecommons.org/licenses/by/4.0/).
Share and Cite
Xu, C.; Liu, W. The Spatiotemporal Characteristics and Interactions between Urban Expansion and Tidal Flat Dynamics: A Case Study of Three Highly Urbanized Coastal Counties in the Southeastern United States. Earth 2022, 3, 557-576. https://doi.org/10.3390/earth3020033
Xu C, Liu W. The Spatiotemporal Characteristics and Interactions between Urban Expansion and Tidal Flat Dynamics: A Case Study of Three Highly Urbanized Coastal Counties in the Southeastern United States. Earth. 2022; 3(2):557-576. https://doi.org/10.3390/earth3020033
Chicago/Turabian StyleXu, Chao, and Weibo Liu. 2022. "The Spatiotemporal Characteristics and Interactions between Urban Expansion and Tidal Flat Dynamics: A Case Study of Three Highly Urbanized Coastal Counties in the Southeastern United States" Earth 3, no. 2: 557-576. https://doi.org/10.3390/earth3020033
APA StyleXu, C., & Liu, W. (2022). The Spatiotemporal Characteristics and Interactions between Urban Expansion and Tidal Flat Dynamics: A Case Study of Three Highly Urbanized Coastal Counties in the Southeastern United States. Earth, 3(2), 557-576. https://doi.org/10.3390/earth3020033

