The Implementation and Evaluation of Virtualized Protection Intelligent Electronic Devices into a Virtual Substation
Abstract
1. Introduction
1.1. Background
1.2. Motivation
1.3. Objective
2. Materials and Methods
2.1. Virtualization Framework and Containerization
2.2. Abstraction of IED Communication and Functional Layer
2.2.1. Communication Layer: Implementation of Substation Process Bus Communication
2.2.2. Reproduced Protective Functions
- Instantaneous Overcurrent (PIOC, ANSI/IEEE Code 50)
- Within the domain of power system protection, instantaneous overcurrent relay, denoted by the ANSI/IEEE standard code 50, serves as a critical fundamental protection mechanism [16]. The principle of PIOC entails the immediate activation of the breaker trip once the current surpasses a preset pickup level. So, this type of protection is the most elementary form of overcurrent protection and is independent of the duration of the current excess. The PIOC delivers a nearly instantaneous response to current surges and transient spikes. The actuation time of the relay and the latency of the communication path are crucial elements, making it an ideal subject for investigations of virtualized IEDs. In our tests, the threshold value for triggering the PIOC (pickup current) is 200% of the base current. The load current is around 5.2 A.
- Time Overcurrent (PTOC, ANSI/IEEE Code 51)
2.2.3. Function Layer: Implementation of Reproduced Protective Functions
2.3. Evaluation Methodology and Scenario
3. Results
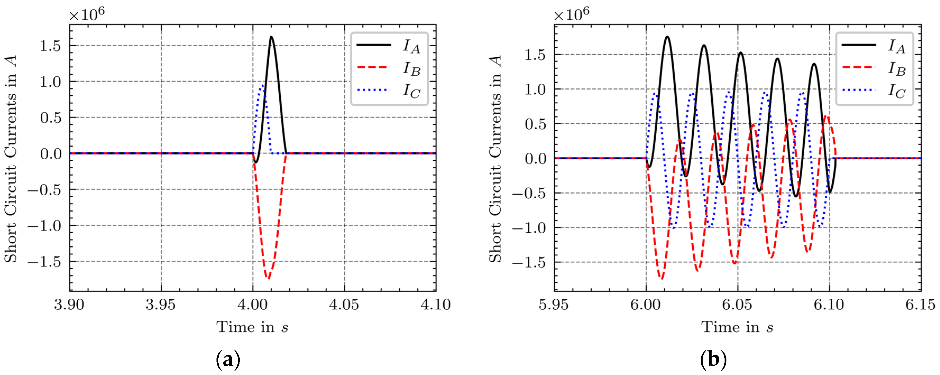
3.1. Resulting Short-Circuit Currents
3.2. Comparison of Tripping Times
4. Discussion
4.1. Interpretation of Results
4.2. Advantages of Containerization
4.3. Limitations and Future Work
5. Conclusions
Author Contributions
Funding
Data Availability Statement
Conflicts of Interest
References
- Rehmani, M.H.; Davy, A.; Jennings, B.; Assi, C. Software Defined Networks-Based Smart Grid Communication: A Comprehensive Survey. IEEE Commun. Surv. Tutor. 2019, 21, 2637–2670. [Google Scholar] [CrossRef]
- Fang, X.; Misra, S.; Xue, G.; Yang, D. Smart Grid—The New and Improved Power Grid: A Survey. IEEE Commun. Surv. Tutor. 2012, 14, 944–980. [Google Scholar] [CrossRef]
- Huang, Q.; Jing, S.; Li, J.; Cai, D.; Wu, J.; Zhen, W. Smart Substation: State of the Art and Future Development. IEEE Trans. Power Deliv. 2017, 32, 1098–1105. [Google Scholar] [CrossRef]
- Aftab, M.A.; Hussain, S.S.; Ali, I.; Ustun, T.S. IEC 61850 based substation automation system: A survey. Int. J. Electr. Power Energy Syst. 2020, 120, 106008. [Google Scholar] [CrossRef]
- Wojtowicz, R.; Kowalik, R.; Rasolomampionona, D.D.; Kurek, K. Virtualization of Protection Systems—Tests Performed on a Large Environment Based on Data Center Solutions. IEEE Trans. Power Deliv. 2022, 37, 3401–3411. [Google Scholar] [CrossRef]
- Rösch, D.; Nicolai, S.; Bretschneider, P. Combined simulation and virtualization approach for interconnected substation automation. In Proceedings of the 2021 6th International Conference on Smart and Sustainable Technologies (SpliTech), Bol and Split, Croatia, 8–11 September 2021; pp. 1–6. [Google Scholar]
- Rösch, D.; Nicolai, S.; Bretschneider, P. Container-based Virtualization of an IEC 61850 Substation Co-Simulation Approach. In Proceedings of the 2022 10th Workshop on Modelling and Simulation of Cyber-Physical Energy Systems (MSCPES), Milan, Italy, 3 May 2022; pp. 1–6. [Google Scholar]
- Torres, E.; Eguia, P.; Abarrategi, O.; Larruskain, D.M.; Valverde, V.; Buigues, G. Trends in Centralized Protection and Control in Digital Substations. RE&PQJ 2023, 21, 196–201. [Google Scholar] [CrossRef]
- Kruger, C.; Narayan, A.; Castro, F.; Hassan, B.H.; Attarha, S.; Babazadeh, D.; Lehnhoff, S. Real-time Test Platform for Enabling Grid Service Virtualisation in Cyber Physical Energy System. In Proceedings of the 2020 25th IEEE International Conference on Emerging Technologies and Factory Automation (ETFA), Vienna, Austria, 8–11 September 2020; pp. 109–116. [Google Scholar]
- Wojtowicz, R.; Kowalik, R.; Rasolomampionona, D.D. Next Generation of Power System Protection Automation—Virtualization of Protection Systems. IEEE Trans. Power Deliv. 2018, 33, 2002–2010. [Google Scholar] [CrossRef]
- Martinez, M.T.V.; Comech, M.P.; Hurtado, A.A.P.; Olivan, M.A.; Cortón, D.L.; Del Castillo, C.R. Software-Defined Analog Processing Based on IEC 61850 Implemented in an Edge Hardware Platform to be Used in Digital Substations. IEEE Access 2024, 12, 11549–11560. [Google Scholar] [CrossRef]
- Manbachi, M.; Hammami, M. Virtualized Experiential Learning Platform (VELP) for Smart Grids and Operational Technology Cybersecurity. In Proceedings of the 2022 IEEE 2nd International Conference on Intelligent Reality (ICIR), Piscataway, NJ, USA, 14–16 December 2022; pp. 54–57. [Google Scholar]
- Libiec61850. IEC 61850 Library. Available online: https://libiec61850.com/downloads/ (accessed on 18 September 2023).
- Kabbara, N.; Nait Belaid, M.O.; Gibescu, M.; Camargo, L.R.; Cantenot, J.; Coste, T.; Audebert, V.; Morais, H. Towards Software-Defined Protection, Automation, and Control in Power Systems: Concepts, State of the Art, and Future Challenges. Energies 2022, 15, 9362. [Google Scholar] [CrossRef]
- Kummerow, A.; Alramlawi, M.; Dirbas, M.; Nicolai, S.; Bretschneider, P. Clark-Park Transformation based Autoencoder for 3-Phase Electrical Signals. In Proceedings of the 2023 IEEE PES Innovative Smart Grid Technologies Europe (ISGT EUROPE), Grenoble, France, 23–26 October 2023; pp. 1–5. [Google Scholar]
- C37.2-2022; IEEE Standard for Electrical Power System Device Function Numbers, Acronyms, and Contact Designations. IEEE: Piscataway, NJ, USA, 2022. [CrossRef]
- C37.112-2018; IEEE Standard for Inverse-Time Characteristics Equations for Overcurrent Relays. IEEE: Piscataway, NJ, USA, 2019. [CrossRef]
- OPAL-RT TECHNOLOGIES Inc. Hypersim Specifications. Available online: https://www.opal-rt.com/systems-hypersim/ (accessed on 11 March 2024).
- Meier, S.; Werner, T.; Popescu-Cirstucescu, C. Performance considerations in digital substations. In Proceedings of the 13th International Conference on Development in Power System Protection 2016 (DPSP), Edinburgh, UK, 7–10 March 2016; p. 9. [Google Scholar]
- IEC 61850-5:2013; Communication Networks and Systems for Power Utitlity Automation—Part 5: Communication Requirements for Functions and Device Models. International Electrotechnical Commission: Genf, Switzerland, 2013.
- Rösch, D.; Bauer, T.; Nicolai, S.; Bretschneider, P. Delay modeling for virtualization-based Co-simulation of IEC 61850 substations. J. Clean. Prod. 2022, 368, 133179. [Google Scholar] [CrossRef]






| Protection Function | PIOC | PTOC |
|---|---|---|
| vIED container | 1.50 ms | 95.95 ms |
| ABB RED 670 | 1.29 ms | 97.95 ms |
| Absolute Error | 0.21 ms | 2 ms |
| Relative Error | 16.28% | 2.04% |
Disclaimer/Publisher’s Note: The statements, opinions and data contained in all publications are solely those of the individual author(s) and contributor(s) and not of MDPI and/or the editor(s). MDPI and/or the editor(s) disclaim responsibility for any injury to people or property resulting from any ideas, methods, instructions or products referred to in the content. |
© 2024 by the authors. Licensee MDPI, Basel, Switzerland. This article is an open access article distributed under the terms and conditions of the Creative Commons Attribution (CC BY) license (https://creativecommons.org/licenses/by/4.0/).
Share and Cite
Rösch, D.; Schäfer, K.; Nicolai, S. The Implementation and Evaluation of Virtualized Protection Intelligent Electronic Devices into a Virtual Substation. Electricity 2024, 5, 385-396. https://doi.org/10.3390/electricity5020020
Rösch D, Schäfer K, Nicolai S. The Implementation and Evaluation of Virtualized Protection Intelligent Electronic Devices into a Virtual Substation. Electricity. 2024; 5(2):385-396. https://doi.org/10.3390/electricity5020020
Chicago/Turabian StyleRösch, Dennis, Kevin Schäfer, and Steffen Nicolai. 2024. "The Implementation and Evaluation of Virtualized Protection Intelligent Electronic Devices into a Virtual Substation" Electricity 5, no. 2: 385-396. https://doi.org/10.3390/electricity5020020
APA StyleRösch, D., Schäfer, K., & Nicolai, S. (2024). The Implementation and Evaluation of Virtualized Protection Intelligent Electronic Devices into a Virtual Substation. Electricity, 5(2), 385-396. https://doi.org/10.3390/electricity5020020

