Abstract
Increased precipitation and extreme weather due to climate change can remobilize recent and legacy environmental contaminants from soil, sediment, and sewage overflows. Heavy metals are naturally distributed in Earth’s crust, but anthropogenic activity has resulted in concentrated emissions of toxic heavy metals and deposition in surrounding communities. Cities around the world are burdened with heavy metal pollution from past and present industrial activity. The city of Camden, NJ, represents a valuable case study of climate impacts on heavy metal mobilization in stormwater runoff due to similar legacy and present-day industrial pollution that has taken place in Camden and in many other cities. Various studies have shown that lead (Pb) and other toxic heavy metals have been emitted in Camden due to historic and recent industrial activity, and deposited in nearby soils and on impervious surfaces. However, it is not known if these heavy metals can be mobilized in urban stormwater, particularly after periods of high precipitation. In this study, Camden, NJ stormwater was collected from streets and parks after heavy rain events in the winter and spring for analysis with inductively coupled plasma-mass spectrometry (ICP-MS) to identify lead (Pb), mercury (Hg), cadmium (Cd), and arsenic (As). Lead was by far the most abundant of the four target elements in stormwater samples followed by Hg, Cd, and As. The locations with the highest Pb concentrations, up to 686.5 ppb, were flooded allies and streets between commercial and residential areas. The highest concentrations of Hg (up to 11.53 ppb, orders of magnitude lower than Pb) were found in partially flooded streets and ditches. Lead stormwater concentrations exceed EPA safe drinking levels at the majority of analyzed locations, and Hg stormwater concentrations exceed EPA safe drinking levels at all analyzed locations. While stormwater is not generally ingested, dermal contact and hand-to-mouth behavior by children are potential routes of exposure. Heavy metal concentrations were lower in stormwater collected from parks and restored areas of Camden, indicating that these areas have a lower heavy metal exposure risk. This study shows that heavy metal pollution can be mobilized in stormwater runoff, resulting in elevated exposure risk in industrial cities.
1. Introduction
Heavy metal contamination in post-industrial cities and the suburbs that surround big cities poses a potential risk for human exposure and negative environmental impacts [1]. Additionally, climate change has impacted the transport and exposure of contaminants to humans and the environment [2,3,4]. In the U.S. Mid-Atlantic region, changing climate patterns have resulted in increased precipitation and increased extreme weather events [5,6,7,8,9,10]. Increased precipitation and extreme weather can remobilize recent environmental contaminants and legacy environmental contaminants from soil, sediment, and sewage overflows [11,12,13,14]. Remobilization is of particular concern for persistent contaminants that do not rapidly degrade in the environment [15,16,17]. Heavy metals are naturally distributed in Earth’s crust [18,19], but anthropogenic activity has resulted in concentrated emissions of toxic heavy metals being released into the environment [20,21,22].
Camden, NJ, has a rich industrial history that has resulted in a legacy of pollution and the creation of National Superfund sites to remediate heavily contaminated areas [23,24,25,26,27]. Polychlorinated biphenyls (PCBs) have been identified in Camden, NJ, and the Delaware River [28], suggesting that different classes of contaminants potentially bound to soils could be transported in stormwater in the area. Various studies have shown that lead (Pb) and other heavy metals have been emitted in Camden due to industrial activity and deposited in nearby soils and on impervious surfaces [29,30]. Heavy metal pollution in Camden is representative of many other cities with similar industrial histories. Lead contamination has already been observed to be a matter of concern in the neighboring city of Philadelphia, PA, with multiple studies documenting Pb exposure and uptake by local children [31,32,33,34]. Given Camden’s similar regional history of heavy metal pollution to Philadelphia, it is possible that children could be exposed to Pb and other heavy metal contaminants mobilized in stormwater runoff in Camden.
Lead is a toxic heavy metal that can cause multiple adverse health effects, including cognitive impairments, neurological disorders, damage to the central nervous system and kidneys, and other systems [35,36]. Exposure to Pb, even at low levels, is particularly dangerous to children, resulting in lower IQ and deficits in both learning and motor progression that are associated with damaged cognitive development [37,38]. Exposure to other toxic heavy metals including mercury (Hg), cadmium (Cd), and arsenic (As) could also be possible in contaminated areas of Camden. Similarly to Pb, exposure to low concentrations of Hg, Cd, and As can result in different types of cancer, cause damage to multiple organs, and have greater toxicity to children or the elderly [22,39,40,41]. The kidneys, nervous system, lungs, digestive system, and cardiovascular system can all be severely impacted by exposure to Hg, Cd, or As [39,40,41].
The stormwater system in Camden is largely combined with the city’s sewer system, and stormwater runoff frequently results in combined sewer overflows that discharge to nearby neighborhoods, rivers, and creeks, resulting in potential human and environmental exposure [42,43,44]. Groundwater mobility and recharge rate, which can be linked to flooding and stormwater runoff after considerable amounts of precipitation, vary in the study area and surrounding region depending on soil type [45]. Camden is among many coastal cities that are expected to be heavily impacted by sea level rise, coastal flooding, and stormwater management challenges, particularly in the city’s areas of affordable housing [46]. Lead, As, and Cd are among the most frequently found heavy metals in wastewater, which can combine with stormwater runoff due to combined sewer overflows, and result in human and environmental health risks [47]. Indeed, Pb, Hg, Cd, and As are some of the most common heavy metals that induce human poisonings, and anthropogenic activities have increased human and environmental exposure to these heavy metals [48]. The combination of flooding, frequent combined stormwater/sewer overflows, and legacy pollution puts the population of Camden at potentially high risk for heavy metal exposure. These factors make Camden a crucial study system for understanding heavy metal mobilization in cities with legacy or present-day heavy metal pollution. Many other cities with legacy or present-day heavy metal pollution will have similar exposure risk following heavy precipitation events. In this study, we tracked the mobilization of Pb, As, Cd, and Hg in stormwater runoff, which could result in potential heavy metal exposure risk to Camden and similar historically industrial communities.
2. Materials and Methods
2.1. Stormwater Collection and Processing
Camden, NJ stormwater was collected in 15 mL centrifuge tubes from streets and parks after heavy rain events in the winter and spring of 2022 on the dates 4 February, 8 April, and 9 June (Figure 1). Depending on the amount of precipitation and water accumulation, stormwater was not available to be collected from every sample site on each sampling date. After collection, samples were stored at 4 °C. Lead, Hg, Cd, and As were dissolved from suspended particles by adding 1 mL of nitric acid (70%, HNO3) to 7 mL of stormwater. Stormwater and nitric acid mixture was heated to 65 °C for 15 min to enhance dissolution of Pb, Hg, Cd, and As. Following dissolution, particles were filtered from the stormwater nitric acid mixtures using 25 mm diameter Acrodisk® (Cytiva, Marlborough, MA, USA) syringe filters (0.45 µm pore size) attached to plastic 30 mL syringes. Prior to filtration, syringe filters were wetted with 2% nitric acid. Filtered stormwater nitric acid mixtures were then brought to a volume of 10 mL with 2% nitric acid.
Figure 1.
A map of the City of Camden, showing stormwater sample collection locations. (1) Von Nieda Park, N 29th St, Camden, NJ 08105; (2) 999-901 Reeves Ave, Camden, NJ 08105; (3) Cramer Hill Park, Camden, NJ 08105; (4) Cramer Hill Park, Camden, NJ 08105; (5) Cramer Hill Park, Camden, NJ 08105; (6) 1400-1428 E State St, Camden, NJ 08105; (7) 75-53 E State St, Camden, NJ 08105; (8) Dirt Lot, Marlton, Camden, NJ; (9) Weeds Lot, Marlton, Camden, NJ; (10) 332-200 S 17th St, Camden, NJ 08105; (11) NE Corner of Weeds Lot, Marlton, Camden, NJ; (12) 2917 N Constitution Rd, Camden, NJ 08104; (13) 2898-2750 Yorkship Rd, Camden, NJ 08104; (14) Yorkship Rd (grass island), Camden, NJ 08104; (15) Morgan Village, Camden, NJ 08104.
2.2. Heavy Metal Analysis
The acidified and filtered stormwater samples were subsequently analyzed with an Agilent 7900 inductively coupled plasma mass spectrometer (ICP-MS). The following isotopes were quantified: 206Pb, 207Pb, 208Pb, 201Hg, 202Hg, 111Cd, 112Cd, 114Cd, and 75As. The Agilent 7900 ICP-MS was run in the general purpose plasma mode with RF power of 1550 W, RF matching at 1.8 V, nebulizer gas (helium, He) flow at 1 L/min, S/C temperature of 2 °C, stabilization time of 5 s, and an integration time/mass of 0.0999 s. The MS cell parameters were operated with a He flow rate of 5 mL/min, OctP bias of −18 V, OctP RF of 200 V, and energy discrimination of 5 V. Linear regressions of Pb isotope ratios (206Pb/207Pb vs. 208Pb/206Pb) to compare samples collected from streets and alleys vs. samples collected from parks and vacant lots, and to compare samples collected on different sampling dates, were performed using GraphPad© Software (v.10).
3. Results
3.1. Heavy Metal Concentrations in Camden Stormwater
The heavy metals Pb, Hg, Cd, and As were identified in varying concentrations in stormwater collected at different locations in Camden, NJ (Figure 2, Supplementary Table S1). Lead was measured in the highest concentrations compared to Hg, Cd, and As in the vast majority of stormwater samples collected from flooded streets, parks, and abandoned city lots. Observed average Pb concentrations ranged from 3.53 to 514.0 ppb (highest individual sample concentration = 686.5 ppb) with an overall average at all sites of 56.57 ppb (Figure 2). Average Hg concentrations were very consistent, ranging from 6.12 to 8.27 ppb with an overall average at all sites of 6.83 ppb. Mercury was typically found in the second-highest concentrations in locations where Pb was most abundant, but was also the most abundant heavy metal in a small number of locations where Pb concentrations were low. The average concentrations of Cd and As were generally very similar among sampling sites, ranging from 0.62 to 4.33 ppb with an overall average at all sites of 1.94 ppb for Cd and ranging from 0.25 to 11.09 ppb with an overall average at all sites of 2.09 ppb for As. The concentrations of As varied slightly more among different sampling dates than Cd.
Figure 2.
Heavy metal concentrations in Camden, NJ stormwater at locations shown in Figure 1 for (A) lead (Pb); (B) mercury (Hg); (C) cadmium (Cd); (D) arsenic (As).
The stormwater concentrations of Pb among all sites varied the most among different collection dates compared to Cd, Hg, and As, with the highest average Pb concentration on 8 April 2022 (Figure 2, Table 1). There is a statistically significant difference in the concentrations of Pb between the dates of 4 February 2022 and 8 April 2022 (p = 0.0234), and between the dates of 8 April 2022 and 9 June 2022 (p = 0.0271). There is not a statistically significant difference in the concentrations of Pb between the dates of 4 February 2022 and 9 June 2022 (p = 0.0611). The stormwater concentrations of Hg were very consistent on each sampling date across different sampling sites, as compared to Pb, Cd, and As. There is a statistically significant difference in the concentrations of Hg between the dates of 4 February 2022 and 8 April 2022 (p = 0.0001), and between the dates of 4 February 2022 and 9 June 2022 (p = 0.0028). There is not a statistically significant difference in the concentrations of Hg between the dates of 8 April 2022 and 9 June 2022 (p = 0.8737).
Table 1.
Average concentrations of Pb, Hg, Cd, and As in Camden, NJ stormwater among all collection sites for each collection date.
The stormwater average concentrations of Cd among all sites were also highest on 8 April 2022, and average Cd concentrations were lowest on 4 February 2022 (Figure 2, Table 1). There is a statistically significant difference in the concentrations of Cd between the dates of 4 February 2022 and 8 April 2022 (p = 0.0145), there is also a statistically significant difference in the concentrations of Cd between the dates of 4 February 2022 and 9 June 2022 (p = 0.0230), and there is not a statistically significant difference in the concentrations of Cd between the dates of 8 April 2022 and 9 June 2022 as the Cd concentrations were very similar among these dates (p = 0.7508). The concentration of As generally increased through time, with the lowest average values on 4 February 2022 and the highest average values on 9 June 2022. There is a statistically significant difference in the concentrations of As between the dates of 4 February 2022 and 8 April 2022 (p = 0.0035), there is also a statistically significant difference in the concentrations of As between the dates of 4 February 2022 and 9 June 2022 (p = 0.0018), and there is not a statistically significant difference in the concentrations of As between the dates of 8 April 2022 and 9 June 2022 (p = 0.0587).
Certain locations in Camden had consistently higher Pb concentrations than other locations, with particularly high Pb concentrations on 8 April 2022 (Figure 2, Table 1). The location with the highest individual Pb concentration (686.5 ppb) was a flooded alley on the south side of East State St across the street from Stewart St and near the intersection of East State St, Marlton Pike, and Federal St (Figure 1; collected on 8 April 2022). The flooded alley connected to East State St was located between commercial and residential areas. The other two locations with the highest individual measured Pb concentrations were a flooded street section near the corner of River Ave and Reeves Ave near Von Nieda Park on 8 April 2022 (258.4 ppb), and a flooded street section near the corner of N Constitution Rd and Argus Rd on 8 April 2022 in a residential area (268.4 ppb). The highest individual concentrations of Hg were orders of magnitude lower than the highest Pb concentrations, and were found in a flooded street section at the corner of Admiral Wilson Blvd and S 17th St on 9 June 2022 (11.53 ppb), and in the ditch along Harrison Ave next to Cramer Hill Park on 8 April 2022 (7.53 ppb) and on 9 June 2022 (9.38 ppb). The highest individual concentration of Cd was the vacant lot at the corner of Mickle St and S 17th St on 9 June 2022 (8.26 ppb), and the highest concentration of As was found in the ditch along Harrison Ave next to Cramer Hill Park on 9 June 2022 (11.94 ppb).
3.2. Pb Isotope Distribution
The distribution of Pb isotopes differed between samples depending on the type of locations or dates when the samples were collected (Supplementary Table S2). Stormwater samples that were collected in streets or alleys generally have a lower ratio of 206Pb/207Pb and a higher ratio of 208Pb/206Pb than samples that were collected in parks or vacant lots, with some overlap between the two groups of samples (Figure 3). There are statistically significant linear correlations between 206Pb/207Pb and 208Pb/206Pb in samples that were collected in streets or alleys and in samples that were collected in parks or vacant lots. However, the correlation between 206Pb/207Pb and 208Pb/206Pb is much stronger in samples collected in streets or alleys (p < 0.0001; R2 = 0.76) than in samples collected in parks or vacant lots (p = 0.003; R2 = 0.19). The residuals of the regressions are normally distributed. Comparing correlations between 206Pb/207Pb and 208Pb/206Pb by collection date, samples that were collected on 4 February have the strongest statistically significant linear correlation (p < 0.0001; R2 = 0.57), followed by 9 June (p = 0.0002; R2 = 0.31), and 8 April (p = 0.012; R2 = 0.17).

Figure 3.
Plots of lead (Pb) isotope distributions based on 206Pb/207Pb vs. 208Pb/206Pb separated by (A) parks and lots vs. streets and alleys; (B) the dates 4 February, 8 April, and 9 June of 2022.
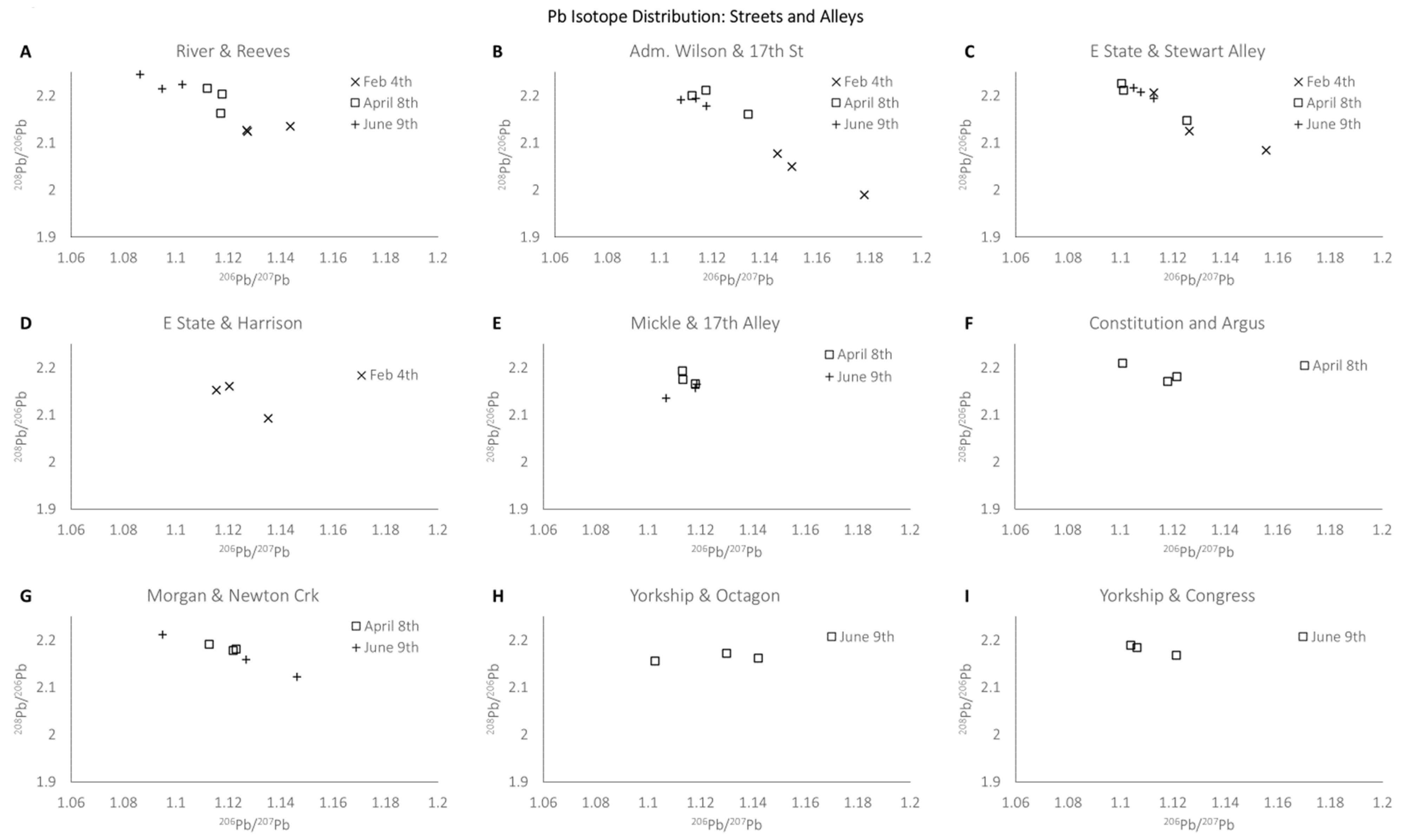
Certain locations exhibited greater Pb isotope ratio variation among different sampling dates than the majority of other sample locations (Figure 4 and Figure 5). Among the street and alley stormwater samples, the River Ave and Reeves Ave location had higher 206Pb/207Pb values and lower 208Pb/206Pb values on 4 February, lower 206Pb/207Pb values and higher 208Pb/206Pb values on 9 June, and intermediate 206Pb/207Pb and 208Pb/206Pb values on 8 April (Figure 1 and Figure 4A). At the Admiral Wilson Blvd. and S 17th St. location, 4 February also had higher 206Pb/207Pb values and lower 208Pb/206Pb values, while 206Pb/207Pb and 208Pb/206Pb values from 8 April and 9 June largely overlapped (Figure 1 and Figure 4B). The 4 February samples collected from the alley connected to E State St. near the Stewart St. corner also had higher 206Pb/207Pb values and lower 208Pb/206Pb values than most of the samples collected from that site on 8 April and 9 June (Figure 1 and Figure 4C). Among the park and vacant lot stormwater samples, the manner in which 206Pb/207Pb and 208Pb/206Pb values overlapped or separated from each other varied depending on location (Figure 5). In the vacant lot next to Admiral Wilson Blvd. and S 17th St., samples collected on 4 February had the highest 208Pb/206Pb values, followed by 8 April 208Pb/206Pb sample values, and 9 June 208Pb/206Pb sample values (Figure 1 and Figure 5B). Conversely, at the Cramer Hill Park parking lot canal site, 9 June samples had higher 208Pb/206Pb values than 8 April samples (Figure 1 and Figure 5E). Finally, at the Cramer Hill Park ditch that runs along Harrison Ave., samples collected on 8 April had higher 206Pb/207Pb values than samples collected on 9 June (Figure 1 and Figure 5F). The similarities and differences in 206Pb/207Pb and 208Pb/206Pb values between the range of sampling sites indicate that different sources of Pb contributed to the observed concentrations.
Figure 4.
Plots of lead (Pb) isotope distributions for streets and alleys based on 206Pb/207Pb vs. 208Pb/206Pb separated by the dates 4 February, 8 April, and 9 June 2022 for the locations (A) River Ave and Reeves Ave; (B) Admiral Wilson Blvd and 17th St.; (C) E State St. and Stewart St. alley; (D) E State St. and Harrison Ave.; (E) Mickle St. and S 17th St. alley; (F) Constitution Rd. and Argus Rd.; (G) Morgan Blvd. along Newton Crk.; (H) Yorkship Rd. and N Octagon Rd.; (I) Yorkship Rd. and Congress Rd.
Figure 5.
Plots of lead (Pb) isotope distributions for parks and lots based on 206Pb/207Pb vs. 208Pb/206Pb separated by the dates 4 February, 8 April, and 9 June 2022 for the locations (A) River Ave. and 29th St.; (B) Admiral Wilson Blvd. and 17th St. vacant lot; (C) Mickle St. and 17th St. vacant lot; (D) Cramer Hill Park corner canal; (E) Cramer Hill Park parking lot canal; (F) Cramer Hill Park Harrison Ave. ditch.
4. Discussion
4.1. Heavy Metal Impacts
Heavy metal analysis is crucial for detecting potential toxic exposure in urban communities. The average observed blood Pb levels in children and adults in the U.S. have declined in recent decades, thanks to enhanced restrictions on the use of Pb in gasoline, water pipes, and other purposes [49,50]. However, populations of children are still being exposed to Pb, particularly children in communities with high-risk factors, and are exhibiting adverse health effects as a result [33,38]. The Environmental Protection Agency (EPA) maximum contaminant levels (MCL) for Pb, Hg, Cd, and As in drinking water are 15 ppb, 2 ppb, 5 ppb, and 10 ppb, respectively [51]. The average Pb stormwater sample concentrations exceeded the 15 ppb MCL at 18 out of 32 analyzed locations (Table 1, Figure 2). High average stormwater Pb concentration locations in an alley or streets range from 9× to over 34× the 15 ppb drinking MCL. The stormwater Pb concentrations are several orders of magnitude lower than previously measured Camden soil Pb concentrations [29], indicating that only a small fraction of deposited soil Pb needs to be mobilized in stormwater runoff to exceed MCLs. The average Hg stormwater sample concentrations exceeded the 2 ppb drinking water MCL in all analyzed locations, ranging from 3× to over 4× the MCL. Only one average As stormwater sample concentration exceeded the 10 ppb As MCL, and none of the average Cd stormwater sample concentrations exceeded the 5 ppb Cd MCL. Therefore, the residents of Camden, NJ are more at risk for exposure to Pb and Hg from stormwater than Cd or As in the analyzed areas. Lower heavy metal concentrations in parks, especially the restored Cramer Hill Park (Figure 1 and Figure 2), show that parks and restoration make a positive difference in heavy metal exposure to the community.
While stormwater is generally not ingested, hand-to-mouth behavior is a common route of ingestion exposure for young children to a wide range of contaminants [52,53], and for adults who are exposed to Pb occupationally or environmentally [54,55]. Dermal contact is an additional potential route of exposure to stormwater heavy metals. In the past, it was generally accepted that inorganic Pb is minimally absorbed through the skin [56], but organic lead (e.g., tetraethyl-Pb or alkyl-Pb found in leaded gasoline) is absorbed through the skin at a higher rate than inorganic Pb [57]. More recently, it has also been shown that repeated dermal contact with Pb can result in greater absorption than a single contact exposure event [58]. Furthermore, it has been estimated that dermal contact with Pb could elevate blood Pb levels by over 6 μg/dL, beyond the 5 μg/dL blood Pb level associated with adverse health effects in adults [59,60,61].
Mercury can also be absorbed through the skin, resulting in toxic impacts [62,63]. Human exposure to Hg in the environment can result in many toxic responses that are particularly dangerous to children, including neurotoxicity, arrythmia, cardiomyopathies, kidney damage, immune system damage, and many other health impacts [64,65]. Heavy metal exposure has also been linked to autism in children [66]. Stormwater has been shown to mobilize Hg [67], and Hg methylation resulting in the more toxic and bioavailable methyl-Hg has been observed in stormwater retention ponds [68]. This Hg cycling behavior is of great concern considering the fact that all measured samples contained Hg above the 2 ppb MCL. Heavy metal pollution in stormwater runoff and soil can be remediated with chemical immobilization, biochar sorption, physical removal methods, and vegetation restoration (e.g., addition of rain gardens, restoration of city parks) [69,70] as shown in the lower concentration of heavy metals in collection sites at the recently restored Cramer Hill Park. However, heavy metals can disrupt plant growth, impact nutrient uptake, metabolism, and cause genetic damage [71,72]. Reducing heavy metal emissions is also necessary to ensure urban environmental health [73].
4.2. Pb Sources in Camden
The correlation between 206Pb/207Pb and 208Pb/206Pb in samples that were collected in streets or alleys and the distribution of these ratio values (Figure 3A), indicates that the Pb source from these samples is mainly gasoline or paint [74,75,76]. Specifically, the 206Pb/207Pb and 208Pb/206Pb distribution of street and alley samples matches post-1992 unleaded gasoline sources. Some of the 206Pb/207Pb and 208Pb/206Pb values of samples collected from parks and vacant lots also aligned with gasoline or paint sources, while the values of other samples collected from parks and vacant lots more closely resembled natural soil sources or a combination of soil, coal/fly ash, and gasoline/paint. The majority of the non-gasoline/paint values were collected on 8 April or 9 June (Figure 3B).
The 206Pb/207Pb and 208Pb/206Pb values for the majority of samples collected from streets and alleys fell within the gasoline/paint range [74,75,76] on all of the collection dates (Figure 4). However, the shift in values on different dates at the River and Reeves site, Admiral Wilson and 17th St site, and E State St and Stewart St alley indicate that slightly different Pb sources could have been contributing on different dates. The 4 February samples collected from River and Reeves have 206Pb/207Pb and 208Pb/206Pb values that are similar to old ore [76], also indicating a different Pb source. The 206Pb/207Pb and 208Pb/206Pb values for samples collected from certain park and vacant lot sites also shifted with date, including the vacant lot next to Admiral Wilson Blvd. and S 17th St., the Cramer Hill Park parking lot canal site, and the Cramer Hill Park ditch that runs along Harrison Ave (Figure 1 and Figure 5).
The observed temporal shifts in Pb isotope distribution indicate changes between gasoline/paint, natural soil Pb, and possibly coal/fly ash. Temporal variability in Pb isotope sources can be impacted by climate and other environmental factors, both locally and regionally, resulting in changing exposure risk during different periods of the year [77,78,79]. Urban soil hydraulics are often poorly understood, which can result in algorithms for soil infiltration and drainage that do not accurately represent urban systems [80]. The range of different industrial, automotive, residential, and natural Pb sources indicates that many different types of urban communities (e.g., industrial, post-industrial, commercial, residential) are at risk for Pb and other potential heavy metal contaminants [43]. Given the common challenge of stormwater management and the presence of diverse heavy metal sources in urban systems, preventative actions can be taken to reduce community and environmental exposure, including the implementation of green stormwater infrastructure projects such as rain gardens, tree trenches, and bioswales [81,82]. The City of Camden has been implementing such projects for many years, but additional efforts are needed to expand the impact of these projects and address ongoing challenges [83].
5. Conclusions
The heavy metals Pb and Hg are present in Camden, NJ stormwater (Pb concentration range = 2.64 to 686.5 ppb; Hg concentration range = 6.08 to 11.53 ppb) at concentrations above safe drinking water standards at many commercial and residential locations around the city. Dermal contact is also a potential route of exposure, particularly for Hg. Portions of streets and alleys are commonly flooded after moderate to heavy rain events in Camden, NJ, which increases contact exposure and indicates that increased precipitation and extreme weather in the region due to climate change will also increase heavy metal exposure. The types of locations in the city with the highest Pb concentrations were flooded allies and streets that bordered both commercial and residential areas, while the types of locations in the city with the highest concentrations of Hg (orders of magnitude lower than Pb) were partially flooded streets and ditches. Lead isotope ratios indicate that gasoline and paint were the main sources of exposure in the city. Several sites were only flooded after one or two of the three heavy rain events, indicating that heavy metal mobilization does not occur after all rain events. Further studies can provide a greater understanding of the extent of heavy metal mobilization temporal variability after light, moderate, and heavy rain events. Stormwater heavy metal concentrations are lower at parks and restored areas, indicating that potential heavy metal exposure risk to the local community can be reduced with continued city restoration efforts. The mobilization of toxic heavy metals in Camden stormwater runoff following strong precipitation events indicates that other cities with legacy or present-day industrial pollution are at risk for heavy metal mobilization and increased exposure to the public. Cities with both heavy metal pollution and stormwater management challenges are at particularly high exposure risk.
Supplementary Materials
The following supporting information can be downloaded at: https://www.mdpi.com/article/10.3390/pollutants5040032/s1, Table S1: Camden, NJ stormwater heavy metal concentration data for lead (Pb), cadmium (Cd), mercury (Hg), and arsenic (As) on the dates 4 February 2022, 8 April 2022, and 9 June 2022 at different locations in the city; Table S2: Camden, NJ stormwater heavy metal isotope data for lead (Pb) on the dates 4 February 2022, 8 April 2022, and 9 June 2022 at different locations in the city.
Author Contributions
Conceptualization, E.K.M.; methodology, E.K.M., A.H., D.P.H., M.H. and J.F.; software, E.K.M., J.F. and M.M.; validation, E.K.M. and J.F.; formal analysis, E.K.M., A.H., D.P.H., M.H. and J.F.; investigation, E.K.M., A.H., D.P.H., M.H., J.F. and M.M.; resources, E.K.M. and J.F.; data curation, E.K.M., A.H., D.P.H., M.H. and J.F.; writing—original draft preparation, A.H. and E.K.M.; writing—review and editing, E.K.M., A.H., D.P.H., M.H., J.F. and M.M.; visualization, E.K.M., A.H., D.P.H., M.H., J.F. and M.M.; supervision, E.K.M. and J.F.; project administration, E.K.M.; funding acquisition, E.K.M. and J.F. All authors have read and agreed to the published version of the manuscript.
Funding
This work was supported financially by Rowan University School of Earth and Environment—Department of Environmental Science, and Rowan University College of Science & Mathematics—Department of Chemistry and Biochemistry.
Data Availability Statement
All data collected in this study can be found in the Supplementary Information.
Acknowledgments
We thank Scott Schreiber of the Camden County Municipal Utilities Authority for guidance on stormwater collection locations. We also thank Rowan University College of Science & Mathematics—Department of Chemistry and Biochemistry for instrument support to perform sample analysis.
Conflicts of Interest
The authors declare no conflicts of interest.
References
- Taghipour, H.; Mosaferi, M.; Armanfar, F.; Gaemmagami, S.J. Heavy Metals Pollution in the Soils of Suburban Areas in Big Cities: A Case Study. Int. J. Environ. Sci. Technol. 2013, 10, 243–250. [Google Scholar] [CrossRef]
- Dube, A.; Zbytniewski, R.; Kowalkowski, T.; Cukrowska, E.; Buszewski, B. Adsorption and Migration of Heavy Metals in Soil. Pol. J. Environ. Stud. 2001, 10, 1–10. [Google Scholar]
- Jeričević, A.; Ilyin, I.; Vidič, S. Modelling of Heavy Metals: Study of Impacts Due to Climate Change. In National Security and Human Health Implications of Climate Change; Fernando, H.J.S., Klaić, Z., McCulley, J.L., Eds.; Springer: Dordrecht, The Netherlands, 2012; pp. 175–189. [Google Scholar]
- Noyes, P.D.; McElwee, M.K.; Miller, H.D.; Clark, B.W.; Van Tiem, L.A.; Walcott, K.C.; Erwin, K.N.; Levin, E.D. The Toxicology of Climate Change: Environmental Contaminants in a Warming World. Environ. Int. 2009, 35, 971–986. [Google Scholar] [CrossRef] [PubMed]
- Dai, A.; Zhao, T.; Chen, J. Climate Change and Drought: A Precipitation and Evaporation Perspective. Curr. Clim. Change Rep. 2018, 4, 301–312. [Google Scholar] [CrossRef]
- Francis, D.; Hengeveld, H.G. Extreme Weather and Climate Change; Climate Change Digest; Minister of Supply and Services Canada: Ottawa, ON, Canada, 1998; Volume 2, ISBN 0-662-26849-0. [Google Scholar]
- Ning, L.; Mann, M.E.; Crane, R.; Wagener, T.; Najjar, R.G.; Singh, R. Probabilistic Projections of Anthropogenic Climate Change Impacts on Precipitation for the Mid-Atlantic Region of the United States. J. Clim. 2012, 25, 5273–5291. [Google Scholar] [CrossRef]
- NCEI. NOAA Annual 2021 National Climate Report; National Centers for Environmental Information (NCEI): Asheville, NC, USA, 2022.
- Polsky, C.; Allard, J.; Currit, N.; Crane, R.; Yarnal, B. The Mid-Atlantic Region and Its Climate: Past, Present, and Future. Clim. Res. 2000, 14, 161–173. [Google Scholar] [CrossRef]
- Prat, O.P.; Nelson, B.R.; Nickl, E.; Leeper, R.D. Global Evaluation of Gridded Satellite Precipitation Products from the NOAA Climate Data Record Program. J. Hydrometeorol. 2021, 22, 2291–2310. [Google Scholar] [CrossRef]
- Bourg, A.C.M.; Loch, J.P.G. Mobilization of Heavy Metals as Affected by pH and Redox Conditions. In Biogeodynamics of Pollutants in Soils and Sediments: Risk Assessment of Delayed and Non-Linear Responses; Salomons, W., Stigliani, W.M., Eds.; Environmental Science; Springer: Berlin/Heidelberg, Germany, 1995; pp. 87–102. ISBN 978-3-642-79418-6. [Google Scholar]
- Delpla, I.; Jung, A.-V.; Baures, E.; Clement, M.; Thomas, O. Impacts of Climate Change on Surface Water Quality in Relation to Drinking Water Production. Environ. Int. 2009, 35, 1225–1233. [Google Scholar] [CrossRef]
- Wang, P.; Sun, Z.; Hu, Y.; Cheng, H. Leaching of Heavy Metals from Abandoned Mine Tailings Brought by Precipitation and the Associated Environmental Impact. Sci. Total Environ. 2019, 695, 133893. [Google Scholar] [CrossRef]
- Zhu, L.; Jiang, C.; Panthi, S.; Allard, S.M.; Sapkota, A.R.; Sapkota, A. Impact of High Precipitation and Temperature Events on the Distribution of Emerging Contaminants in Surface Water in the Mid-Atlantic, United States. Sci. Total Environ. 2021, 755, 142552. [Google Scholar] [CrossRef]
- Crawford, S.E.; Brinkmann, M.; Ouellet, J.D.; Lehmkuhl, F.; Reicherter, K.; Schwarzbauer, J.; Bellanova, P.; Letmathe, P.; Blank, L.M.; Weber, R.; et al. Remobilization of Pollutants During Extreme Flood Events Poses Severe Risks to Human and Environmental Health. J. Hazard. Mater. 2022, 421, 126691. [Google Scholar] [CrossRef]
- Odigie, K.O.; Flegal, A.R. Pyrogenic Remobilization of Historic Industrial Lead Depositions. Environ. Sci. Technol. 2011, 45, 6290–6295. [Google Scholar] [CrossRef]
- Odigie, K.O.; Flegal, A.R. Trace Metal Inventories and Lead Isotopic Composition Chronicle a Forest Fire’s Remobilization of Industrial Contaminants Deposited in the Angeles National Forest. PLoS ONE 2014, 9, e107835. [Google Scholar] [CrossRef]
- McDonough, W.F.; Sun, S.-S. The Composition of the Earth. Chem. Geol. 1995, 120, 223–253. [Google Scholar] [CrossRef]
- Rudnick, R.L.; Gao, S. 3.01—Composition of the Continental Crust. In Treatise on Geochemistry; Holland, H.D., Turekian, K.K., Eds.; Pergamon: Oxford, UK, 2003; Volume 3, pp. 1–64. ISBN 978-0-08-043751-4. [Google Scholar]
- Nriagu, J.O. Natural Versus Anthropogenic Emissions of Trace Metals to the Atmosphere. In Control and Fate of Atmospheric Trace Metals; Pacyna, J.M., Ottar, B., Eds.; NATO ASI Series; Springer: Dordrecht, The Netherlands, 1989; pp. 3–13. ISBN 978-94-009-2315-7. [Google Scholar]
- Pacyna, J.M.; Pacyna, E.G. An Assessment of Global and Regional Emissions of Trace Metals to the Atmosphere from Anthropogenic Sources Worldwide. Environ. Rev. 2001, 9, 269–298. [Google Scholar] [CrossRef]
- Tchounwou, P.B.; Yedjou, C.G.; Patlolla, A.K.; Sutton, D.J. Heavy Metal Toxicity and the Environment. In Molecular, Clinical and Environmental Toxicology: Volume 3: Environmental Toxicology; Luch, A., Ed.; Experientia Supplementum; Springer: Basel, Switzerland, 2012; pp. 133–164. ISBN 978-3-7643-8340-4. [Google Scholar]
- Barringer, J.L.; Walker, R.L.; Jacobsen, E.; Jankowski, P. Hydrostratigraphy, Soil/Sediment Chemistry, and Water Quality, Potomac-Raritan-Magothy Aquifer System, Puchack Well Field Superfund Site and Vicinity, Pennsauken Township, Camden County, New Jersey, 1997–2001; U.S. Geological Survey (USGS): Reston, VA, USA, 2011; p. 303.
- Barton, G.J.; Krebs, M. Hydrogeologic Reconnaissance of the Swope Oil Superfund Site and Vicinity, Camden and Burlington Counties, New Jersey; U.S. Department of Energy Office of Scientific and Technical Information: Oak Ridge, TN, USA, 1990.
- NJDEP. New Jersey Superfund Sites; New Jersey Department of Environmental Protection: Trenton, NJ, USA, 1999; pp. 1–4.
- Pomar, O.D.; Cole, L.W. Camden, New Jersey, and the Struggle for Environmental Justice. Clgh. Rev. 2002, 36, 94. [Google Scholar]
- Wu, X.; Fan, Z.; Zhu, X.; Jung, K.H.; Ohman-Strickland, P.; Weisel, C.P.; Lioy, P.J. Exposures to Volatile Organic Compounds (VOCs) and Associated Health Risks of Socio-Economically Disadvantaged Population in a “Hot Spot” in Camden, New Jersey. Atmos. Environ. 2012, 57, 72–79. [Google Scholar] [CrossRef] [PubMed]
- Praipipat, P.; Meng, Q.; Miskewitz, R.J.; Rodenburg, L.A. Source Apportionment of Atmospheric Polychlorinated Biphenyls in New Jersey 1997–2011. Environ. Sci. Technol. 2017, 51, 1195–1202. [Google Scholar] [CrossRef]
- Cook, Z. Assessment and Potential for Phyto-and-Mycorremediation of Soil Heavy Metal Pollution in Southern New Jersey (USA). Master’s Thesis, Rutgers University—Camden Graduate School, Camden, NJ, USA, 2019. [Google Scholar]
- Yu, C.H.; Fan, Z.; McCandlish, E.; Stern, A.H.; Lioy, P.J. Characterization of Spatial Impact of Particles Emitted from a Cement Material Production Facility on Outdoor Particle Deposition in the Surrounding Community. J. Air Waste Manag. Assoc. 2011, 61, 1015–1025. [Google Scholar] [CrossRef]
- Bradham, K.D.; Nelson, C.M.; Kelly, J.; Pomales, A.; Scruton, K.; Dignam, T.; Misenheimer, J.C.; Li, K.; Obenour, D.R.; Thomas, D.J. Relationship Between Total and Bioaccessible Lead on Children’s Blood Lead Levels in Urban Residential Philadelphia Soils. Environ. Sci. Technol. 2017, 51, 10005–10011. [Google Scholar] [CrossRef]
- Bryant, S.D. Lead-Contaminated Drinking Waters in the Public Schools of Philadelphia. J. Toxicol. Clin. Toxicol. 2004, 42, 287–294. [Google Scholar] [CrossRef] [PubMed]
- Dignam, T.; Pomales, A.; Werner, L.; Newbern, E.C.; Hodge, J.; Nielsen, J.; Grober, A.; Scruton, K.; Young, R.; Kelly, J.; et al. Assessment of Child Lead Exposure in a Philadelphia Community, 2014. J. Public Health Manag. Pract. 2019, 25, 53–61. [Google Scholar] [CrossRef]
- Needleman, H.L.; Davidson, I.; Sewell, E.M.; Shapiro, I.M. Subclinical Lead Exposure in Philadelphia Schoolchildren. N. Engl. J. Med. 1974, 290, 245–248. [Google Scholar] [CrossRef] [PubMed]
- Flora, S.J.S.; Flora, G.; Saxena, G. Chapter 4—Environmental Occurrence, Health Effects and Management of Lead Poisoning. In Lead; Casas, J.S., Sordo, J., Eds.; Elsevier Science BV: Amsterdam, The Netherlands, 2006; pp. 158–228. ISBN 978-0-444-52945-9. [Google Scholar]
- Wu, X.; Cobbina, S.J.; Mao, G.; Xu, H.; Zhang, Z.; Yang, L. A Review of Toxicity and Mechanisms of Individual and Mixtures of Heavy Metals in the Environment. Environ. Sci. Pollut. Res. 2016, 23, 8244–8259. [Google Scholar] [CrossRef]
- Mushak, P.; Michael Davis, J.; Crocetti, A.F.; Grant, L.D. Prenatal and Postnatal Effects of Low-Level Lead Exposure: Integrated Summary of a Report to the U.S. Congress on Childhood Lead Poisoning. Environ. Res. 1989, 50, 11–36. [Google Scholar] [CrossRef]
- Naranjo, V.I.; Hendricks, M.; Jones, K.S. Lead Toxicity in Children: An Unremitting Public Health Problem. Pediatr. Neurol. 2020, 113, 51–55. [Google Scholar] [CrossRef]
- Elinder, C.-G.; Järup, L. Cadmium Exposure and Health Risks: Recent Findings. Ambio 1996, 25, 370–373. [Google Scholar]
- Tchounwou, P.B.; Patlolla, A.K.; Centeno, J.A. Invited Reviews: Carcinogenic and Systemic Health Effects Associated with Arsenic Exposure—A Critical Review. Toxicol. Pathol. 2003, 31, 575–588. [Google Scholar] [CrossRef]
- Jaishankar, M.; Tseten, T.; Anbalagan, N.; Mathew, B.B.; Beeregowda, K.N. Toxicity, Mechanism and Health Effects of Some Heavy Metals. Interdiscip. Toxicol. 2014, 7, 60–72. [Google Scholar] [CrossRef]
- Krudner, M.; Mittman, T.; Kloss, C. Green Infrastructure Barriers and Opportunities in Camden, New Jersey; U.S. Environmental Protection Agency: Washington, DC, USA, 2013; p. 22.
- Meenar, M.; Howell, J.P.; Moulton, D.; Walsh, S. Green Stormwater Infrastructure Planning in Urban Landscapes: Understanding Context, Appearance, Meaning, and Perception. Land 2020, 9, 534. [Google Scholar] [CrossRef]
- Zidar, K.; Belliveau-Nance, M.; Cucchi, A.; Denk, D.; Kricun, A.; O’Rourke, S.; Rahman, S.; Rangarajan, S.; Rothstein, E.; Shih, J.; et al. A Framework for Multifunctional Green Infrastructure Investment in Camden, NJ. Urban Plan. 2017, 2, 57–73. [Google Scholar] [CrossRef]
- Nolan, B.T.; Baehr, A.L.; Kauffman, L.J. Spatial Variability of Groundwater Recharge and Its Effect on Shallow Groundwater Quality in Southern New Jersey. Vadose Zone J. 2003, 2, 677–691. [Google Scholar] [CrossRef]
- Buchanan, M.K.; Kulp, S.; Cushing, L.; Morello-Frosch, R.; Nedwick, T.; Strauss, B. Sea Level Rise and Coastal Flooding Threaten Affordable Housing. Environ. Res. Lett. 2020, 15, 124020. [Google Scholar] [CrossRef]
- Lamber, M.; Leven, B.A.; Green, R.M. New Methods of Cleaning Up Heavy Metal in Soils and Water. Hazard. Subst. Res. Cent. Environ. Sci. Technol. Brief Citiz. 2000, 7, 133–163. [Google Scholar]
- Balali-Mood, M.; Naseri, K.; Tahergorabi, Z.; Khazdair, M.R.; Sadeghi, M. Toxic Mechanisms of Five Heavy Metals: Mercury, Lead, Chromium, Cadmium, and Arsenic. Front. Pharmacol. 2021, 12, 643972. [Google Scholar] [CrossRef]
- Egan, K.B.; Cornwell, C.R.; Courtney, J.G.; Ettinger, A.S. Blood Lead Levels in U.S. Children Ages 1–11 Years, 1976–2016. Environ. Health Perspect. 2021, 129, 37003. [Google Scholar] [CrossRef]
- Tsoi, M.-F.; Cheung, C.-L.; Cheung, T.T.; Cheung, B.M.Y. Continual Decrease in Blood Lead Level in Americans: United States National Health Nutrition and Examination Survey 1999–2014. Am. J. Med. 2016, 129, 1213–1218. [Google Scholar] [CrossRef]
- US EPA. Regional Screening Levels (RSLs)—Generic Tables. Available online: https://www.epa.gov/risk/regional-screening-levels-rsls-generic-tables (accessed on 3 January 2024).
- Lanphear, B.P.; Roghmann, K.J. Pathways of Lead Exposure in Urban Children. Environ. Res. 1997, 74, 67–73. [Google Scholar] [CrossRef]
- Xue, J.; Zartarian, V.; Moya, J.; Freeman, N.; Beamer, P.; Black, K.; Tulve, N.; Shalat, S. A Meta-Analysis of Children’s Hand-to-Mouth Frequency Data for Estimating Nondietary Ingestion Exposure. Risk Anal. 2007, 27, 411–420. [Google Scholar] [CrossRef]
- Far, H.S.; Pin, N.T.; Kong, C.Y.; Fong, K.S.; Kian, C.W.; Yan, C.K. An Evaluation of the Significance of Mouth and Hand Contamination for Lead Absorption in Lead-Acid Battery Workers. Int. Arch. Occup. Environ. Heath 1993, 64, 439–443. [Google Scholar] [CrossRef] [PubMed]
- Sahmel, J.; Hsu, E.I.; Avens, H.J.; Beckett, E.M.; Devlin, K.D. Estimation of Hand-to-Mouth Transfer Efficiency of Lead. Ann. Occup. Hyg. 2015, 59, 210–220. [Google Scholar] [CrossRef]
- Patrick, L. Lead Toxicity, A Review of the Literature. Part I: Exposure, Evaluation, and Treatment. Altern. Med. Rev. 2006, 11, 2–22. [Google Scholar]
- Papanikolaou, N.; Hatzidaki, E.; Belivanis, S.; Tzanakakis, G.; Tsatsakis, A. Lead Toxicity Update. A Brief Review. Med. Sci. Monit. Int. Med. J. Exp. Clin. Res. 2005, 11, RA329–RA336. [Google Scholar]
- Sahmel, J.; Arnold, S.; Ramachandran, G. Influence of Repeated Contacts on the Transfer of Elemental Metallic Lead between Compartments in an Integrated Conceptual Model for Dermal Exposure Assessment. J. Toxicol. Environ. Health Part A 2022, 85, 89–109. [Google Scholar] [CrossRef]
- Filon, F.L.; Boeniger, M.; Maina, G.; Adami, G.; Spinelli, P.; Damian, A. Skin Absorption of Inorganic Lead (PbO) and the Effect of Skin Cleansers. J. Occup. Environ. Med. 2006, 48, 692–699. [Google Scholar] [CrossRef]
- Julander, A.; Midander, K.; Garcia-Garcia, S.; Vihlborg, P.; Graff, P. A Case Study of Brass Foundry Workers’ Estimated Lead (Pb) Body Burden from Different Exposure Routes. Ann. Work Expo. Health 2020, 64, 970–981. [Google Scholar] [CrossRef]
- Niemeier, R.T.; Maier, A.; Reichard, J.F. Rapid Review of Dermal Penetration and Absorption of Inorganic Lead Compounds for Occupational Risk Assessment. Ann. Work Expo. Health 2022, 66, 291–311. [Google Scholar] [CrossRef] [PubMed]
- Counter, S.A.; Buchanan, L.H. Mercury Exposure in Children: A Review. Toxicol. Appl. Pharmacol. 2004, 198, 209–230. [Google Scholar] [CrossRef] [PubMed]
- Ye, B.-J.; Kim, B.-G.; Jeon, M.-J.; Kim, S.-Y.; Kim, H.-C.; Jang, T.-W.; Chae, H.-J.; Choi, W.-J.; Ha, M.-N.; Hong, Y.-S. Evaluation of Mercury Exposure Level, Clinical Diagnosis and Treatment for Mercury Intoxication. Ann. Occup. Environ. Med. 2016, 28, 5. [Google Scholar] [CrossRef]
- Rice, K.M.; Walker, E.M.; Wu, M.; Gillette, C.; Blough, E.R. Environmental Mercury and Its Toxic Effects. J. Prev. Med. Public Health 2014, 47, 74–83. [Google Scholar] [CrossRef]
- Tchounwou, P.B.; Ayensu, W.K.; Ninashvili, N.; Sutton, D. Review: Environmental Exposure to Mercury and Its Toxicopathologic Implications for Public Health. Environ. Toxicol. 2003, 18, 149–175. [Google Scholar] [CrossRef]
- Saghazadeh, A.; Rezaei, N. Systematic Review and Meta-Analysis Links Autism and Toxic Metals and Highlights the Impact of Country Development Status: Higher Blood and Erythrocyte Levels for Mercury and Lead, and Higher Hair Antimony, Cadmium, Lead, and Mercury. Prog. Neuro-Psychopharmacol. Biol. Psychiatry 2017, 79, 340–368. [Google Scholar] [CrossRef]
- Eckley, C.S.; Branfireun, B. Mercury Mobilization in Urban Stormwater Runoff. Sci. Total Environ. 2008, 403, 164–177. [Google Scholar] [CrossRef] [PubMed]
- Strickman, J.R.; Mitchell, C.P.J. Mercury Methylation in Stormwater Retention Ponds at Different Stages in the Management Lifecycle. Environ. Sci. Process. Impacts 2018, 20, 595–606. [Google Scholar] [CrossRef] [PubMed]
- Paz-Ferreiro, J.; Lu, H.; Fu, S.; Méndez, A.; Gascó, G. Use of Phytoremediation and Biochar to Remediate Heavy Metal Polluted Soils: A Review. Solid Earth 2014, 5, 65–75. [Google Scholar] [CrossRef]
- Azhar, U.; Ahmad, H.; Shafqat, H.; Babar, M.; Shahzad Munir, H.M.; Sagir, M.; Arif, M.; Hassan, A.; Rachmadona, N.; Rajendran, S.; et al. Remediation Techniques for Elimination of Heavy Metal Pollutants from Soil: A Review. Environ. Res. 2022, 214, 113918. [Google Scholar] [CrossRef]
- Ilyas, M.Z.; Sa, K.J.; Ali, M.W.; Lee, J.K. Toxic Effects of Lead on Plants: Integrating Multi-Omics with Bioinformatics to Develop Pb-Tolerant Crops. Planta 2023, 259, 18. [Google Scholar] [CrossRef]
- Monib, A.W.; Niazi, P.; Azizi, A.; Sediqi, S.; Baseer, A.Q. Heavy Metal Contamination in Urban Soils: Health Impacts on Humans and Plants: A Review. Eur. J. Theor. Appl. Sci. 2024, 2, 546–565. [Google Scholar] [CrossRef]
- Sodhi, K.K.; Mishra, L.C.; Singh, C.K.; Kumar, M. Perspective on the Heavy Metal Pollution and Recent Remediation Strategies. Curr. Res. Microb. Sci. 2022, 3, 100166. [Google Scholar] [CrossRef]
- Larsen, M.M.; Blusztajn, J.S.; Andersen, O.; Dahllöf, I. Lead Isotopes in Marine Surface Sediments Reveal Historical Use of Leaded Fuel. J. Environ. Monit. 2012, 14, 2893–2901. [Google Scholar] [CrossRef]
- Zohar, I.; Teutsch, N.; Levin, N.; Mackin, G.; de Stigter, H.; Bookman, R. Urbanization Effects on Sediment and Trace Metals Distribution in an Urban Winter Pond (Netanya, Israel). J. Soils Sediments 2017, 17, 2165–2176. [Google Scholar] [CrossRef]
- Wang, Z.; Dwyer, G.S.; Coleman, D.S.; Vengosh, A. Lead Isotopes as a New Tracer for Detecting Coal Fly Ash in the Environment. Environ. Sci. Technol. Lett. 2019, 6, 714–719. [Google Scholar] [CrossRef]
- Sherrell, R.M.; Boyle, E.A.; Falkner, K.K.; Harris, N.R. Temporal Variability of Cd, Pb, and Pb Isotope Deposition in Central Greenland Snow. Geochem. Geophys. Geosystems 2000, 1, 1002. [Google Scholar] [CrossRef]
- Yu, Y.; Li, Y.; Li, B.; Shen, Z.; Stenstrom, M.K. Metal Enrichment and Lead Isotope Analysis for Source Apportionment in the URBAN dust and Rural Surface Soil. Environ. Pollut. 2016, 216, 764–772. [Google Scholar] [CrossRef]
- Dietrich, M.; Krekeler, M.P.S.; Kousehlar, M.; Widom, E. Quantification of Pb Pollution Sources in Complex urban Environments through a Multi-Source Isotope Mixing Model Based on Pb Isotopes in Lichens and Road Sediment. Environ. Pollut. 2021, 288, 117815. [Google Scholar] [CrossRef] [PubMed]
- Schifman, L.A.; Shuster, W.D. Comparison of Measured and Simulated Urban Soil Hydrologic Properties. J. Hydrol. Eng. 2019, 24, 04018056. [Google Scholar] [CrossRef] [PubMed]
- Barbosa, A.E.; Fernandes, J.N.; David, L.M. Key Issues for Sustainable Urban Stormwater Management. Water Res. 2012, 46, 6787–6798. [Google Scholar] [CrossRef]
- Meenar, M.R. Integrating Placemaking Concepts into Green Stormwater Infrastructure Design in the City of Philadelphia. Environ. Pract. 2019, 21, 4–19. [Google Scholar] [CrossRef]
- Meenar, M.; Heckert, M.; Adlakha, D. “Green Enough Ain’t Good Enough:” Public Perceptions and Emotions Related to Green Infrastructure in Environmental Justice Communities. Int. J. Environ. Res. Public Health 2022, 19, 1448. [Google Scholar] [CrossRef]
Disclaimer/Publisher’s Note: The statements, opinions and data contained in all publications are solely those of the individual author(s) and contributor(s) and not of MDPI and/or the editor(s). MDPI and/or the editor(s) disclaim responsibility for any injury to people or property resulting from any ideas, methods, instructions or products referred to in the content. |
© 2025 by the authors. Licensee MDPI, Basel, Switzerland. This article is an open access article distributed under the terms and conditions of the Creative Commons Attribution (CC BY) license (https://creativecommons.org/licenses/by/4.0/).