Abstract
Neonicotinoid pesticides are one of the most commercialized groups worldwide. Their application in agriculture aims to control pests through a systemic mode of action which is not specific to target species. Our study aimed to evaluate the effects of the insecticide Actara® [active ingredient thiamethoxam (TMX)] on a non-target species, Girardia tigrina. Therefore, acute and sublethal endpoints, such as mortality, feeding activity, locomotion and behavioral biomarkers were assessed. Actara® exerted low toxicity towards the planarian Girardia tigrina, showing a 96 h LC50 value of 77.6 mg TMX·L−1 (95% C.I: 74.1–81.2 mg TMX·L−1; R2 = 0.85). At the sublethal level, Actara® exerted no effect on regeneration of photoreceptors and auricles of planarians after 24 and 48 h post-exposure (NOEC > 7.8 mg TMX·L−1). The feeding rate of planarians was significantly increased by Actara®, but only at the highest tested concentration (LOEC = 7.8 mg TMX·L−1). Planarians showed to be less sensitive to the active ingredient TMX compared to other freshwater species. This might be explained by the presence of a high proportion of sub-types of acetylcholine receptors in planarians, exhibiting low binding affinity sites for TMX, an acetylcholine partial agonist. The comparison between effects induced by Actara® with the ones caused by other formulations, in planarians, might support our understanding of how other unknown ingredients can modify the uptake, and bioavailability of such substances, as well as the detoxification capacity of planarians, all of which influences toxicity.
1. Introduction
As the world population grows, there is a constant need to improve food production, which has led, over the past 70 years, to the massive use of pesticides in agricultural practices. Neonicotinoids are one of the most used class of pesticides, designed to act systemically; however, non-specific to target organisms [1,2]. This means that both pest species and other beneficial organisms suffer from exposure to neonicotinoid pesticides [3]. Neonicotinoids act in the central nervous system of insects as agonists of acetylcholine, binding to the α subunits of the pentameric acetylcholine receptors (nAChRs) that are also composed by “non-α” subunits, causing nerve stimulation, receptor blockade, paralysis, and death [4,5]. The arrangement of the different pentameric structures presents five transmembrane domains with a central cation channel [4,5,6].
The physico-chemical characteristics of neonicotinoids, such as a low octanol-water partition coefficient (Kow: −0.13) and high-water solubility (4100 mg·L−1) [7,8], guarantees an efficient distribution of the compound through different plant tissues (stem, roots, flowers, leaves), regardless of the route of entry of the active ingredient or the mode of application of the formulation [9]. However, although neonicotinoid insecticides have been found to have little effect on a large proportion of species [10], they have been widely associated with population declines of pollinators [11]. The impact of neonicotinoids on wild bees has changed application trends, including the ban of three neonicotinoids (imidacloprid, clothianidin, and thiamethoxam) in the European Union (EU) [12,13,14], and more recently the ban of thiacloprid [15]. Despite their wide distribution in plants, most of the applied neonicotinoid (up to 95%) is not taken up by the plants, and distributes largely through the different environmental compartments, including adjacent water bodies [16,17].
Thiamethoxam Actara® 250WG (TMX), is still widely adopted in several countries, being used mainly as a water-dispersed granulated formulation for foliar surfaces, soil or seed treatments [18]. A major drawback to its use is based on the persistence of the residues (after application) and the consequent transport between environmental matrices, affecting soil and aquatic organisms in nearby environmental compartments. Previous research reported the effects of TMX, either pure or within a commercial formulation, on the survival of organisms. It has been demonstrated that the (eco)toxicological effect concentrations of TMX ranges from 0.1 to 225 μg·L−1 [19], being 32 μg·L−1 for Chironomus xanthus and 86.41 μg·L−1 for Chironomus riparius [20,21]. For planarians exposed to Cruiser® formulation, a median lethal concentration of ~400 mg TMX·L−1 suggests that planarians are less sensitive to TMX when compared to other non-target invertebrate species [22]. Our hypothesis is that planarians possess higher levels of detoxifying processes, which confers their tolerance to TMX when mixed with lipophilic solvents which are present in some formulations. However, this may not be the case when a formulation of TMX is based on salts and dissolved in water. In this context, the present work aims to test the effects of Actara® formulation (salt prepared with water) on planarians and to compare it with previous studies performed with Cruiser® in planarians and other aquatic organisms.
Understanding the effects of two different formulations on the same species and by comparing it with other organisms will help to determine the suitability of each pesticide product with the same mode of action before their release into the environment. Planarians are free-living flatworms of the class Turbellaria (Phylum Platyhelminthes) and were used as model organisms because they have proven to be a suitable model species, with wide environmental distribution. In this study, we evaluatedsurvival, regeneration, and behavioral biomarkers (locomotion and feeding rate) on Girardia tigrina after exposure to Actara®.
2. Materials and Methods
2.1. Organisms
The planarians (Girardia tigrina) were obtained from the University of São Paulo (São Paulo-Brazil), and maintained in cultures in the Laboratory of Applied and Functional Ecology of the Federal University of Tocantins, Campus Gurupi (Tocantins-Brazil). The planarians were kept in ASTM-American Society for Testing and Materials [23] culture medium with constant aeration, at 22 ± 1 °C in the dark, and fed twice a week with bovine liver (ad libitum). Medium renewal was performed twice a week, five hours after feeding. All organisms used for the (eco)toxicological evaluation were free from any lesion and actively reactive to light exposure.
2.2. Reagents
The commercial formulation Actara® 250 WG (Syngenta, Basel, Switzerland), hereafter Actara, 25% purity [250 g/kg active ingredient (a.i) thiamethoxam (TMX) 3-(2-chloro-1,3-thiazol-5-ylmethyl)-5-methyl-1,3,5-oxadiazinan-4-ylidene(nitro)amine +750 g/kg other unspecified ingredients] was used to perform the ecotoxicological assays in this study.
All testing concentrations of Actara were accomplished by diluting a stock solution of 200 mg TMX·L−1 to the final test-concentration in ASTM medium.
2.3. Acute Toxicity Test
To assess the mortality of planarians, organisms with a length of 0.8 cm (±0.1 cm) were selected and kept in static exposure without feeding for 96 h. The experiment was conducted in glass Petri dishes (Ø = 90 mm) using a total of 250 organisms (with five organisms per plate and five replicates per treatment). The experimental treatments of Actara were 44; 50; 56.5; 63.8; 72; 81.5; 92; 104; 117.5, and 132.8 mg TMX·L−1, prepared by dilution of the stock solution in ASTM medium. The organisms were evaluated after a 24; 48 and 96 h exposure period, and those that did not show detectable movements after slight stimulation were considered dead and removed from the test solution.
2.4. Evaluation of Sublethal Endpoints and Regeneration
To assess the post exposure effects of Actara on regeneration, feeding rate, and locomotor velocity of G. tigrina, organisms were exposed to sublethal concentrations of Actara for 8 days in the dark and without food supply, according to the method described previously by Dornelas et al. [24]. The concentrations of exposure were calculated based on the LC50 obtained from the acute exposure and were 2.3; 3.4; 5.2 and 7.8 mg TMX·L−1 (plus a negative control of ASTM medium). Three replicates were performed for each treatment, including the control, each containing 12 organisms. After the 8 days of static exposure, organisms were transferred to a clean medium and randomly allocated for the evaluation of effects on their regeneration, feeding and locomotion.
2.4.1. Post-Exposure Regeneration
The effects of Actara on planarian regeneration were assessed 8 days after selection and decapitation with a single cut behind the auricles, using a sterilized scalpel blade. After decapitation, each G. tigrina was placed in a Petri dish (Ø = 90 mm) with 20 mL of ASTM medium. Every 12 h following decapitation, the organisms were checked individually on a stereomicroscope to verify the formation of photoreceptors and auricles until their formation was complete. At 24 h and 48 h post-decapitation, the length (in mm) of the blastemal was also measured.
2.4.2. Post-Exposure Feeding Rate
The post-exposure feeding rate of planarians was assessed by providing each organism 25 live C. xanthus larvae (Diptera 6 days old, 2° instar) in Petri dishes with 20 mL of ASTM medium during a 3 h period using a total of 12 flatworms per treatment. The feeding rate was calculated using the number of C. xanthus larvae ingested per planarian per hour.
2.4.3. Post-Exposure Locomotor Velocity
The locomotion velocity (pLMV) of G. tigrina was evaluated post-exposure to Actara for 8 days. Twelve planarians per concentration were placed individually in a 75 cm diameter aluminum vessel containing a sheet of foil with grid lines (0.1 cm apart) at the bottom and ASTM medium in an amount that would aid the organism’s locomotion. The organisms were placed in the center of the vessel and each crossed and recrossed line was counted and the pLMV was determined at the end of 3 min of evaluation.
2.5. Statistical Analyses
The 96 h LC50 of the commercial formulation of TMX for G. tigrina was estimated by dose-response analysis (survival curve), using a four-parameter logistic curve. The effects of exposure on G. tigrina behavioral biomarker parameters were determined using a one-way analysis of variance (one-way ANOVA) followed by Dunnett’s post-hoc test to identify significant differences between control and treatments. Before ANOVA, normality and homogeneity of variance of sublethal data were assessed by D’Agostino & Pearson and Shapiro-Wilk tests. Data on the effects on the formation of photoreceptors and auricles did not meet the variance requirement, and the nonparametric analysis test (Kruskal–Wallis test) was performed followed by Dunn’s post hoc test for multiple comparisons. Data on the effects of TMX on locomotion were transformed to Y = Rank (Y). Statistical analyses were performed using GraphPad Prism software version 7.0 for Windows (GraphPad Software, La Jolla, CA, USA).
3. Results
The estimated 96 h LC50- of Actara for Girardia tigrina was 77.6 mg TMX·L−1 (95% CI: 74.2–81.2 mg TMX·L−1; R2 = 0.85). There was no mortality of organisms in the control treatment and a gradual increase up to 100 % occurred with increasing concentrations.
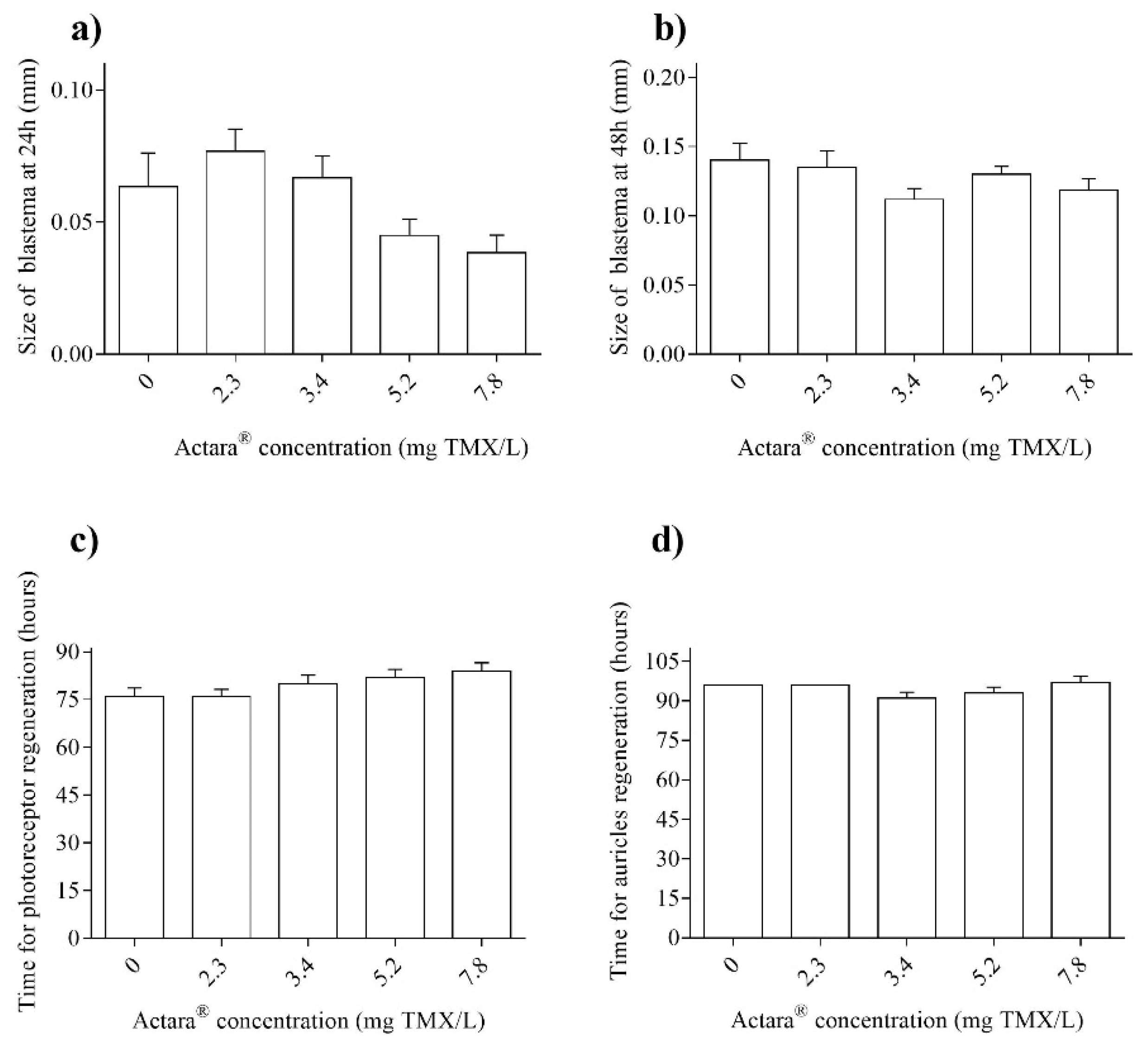
The blastemal regeneration of planarians exposed to Actara was not significantly changed when compared to the control treatment after 24 (F 4,55 = 3.27, p = 0.018), and 48 (F 4,55 = 1.49, p = 0.218) h (Figure 1a,b, respectively). Moreover, the regeneration of the photoreceptors (H = 9.3, df = 5, p = 0. 05; NOEC > 7.8 mg TMX·L−1) and auricles (H = 7.52, df = 5, p = 0.1), was not affected on planarians exposed to Actara (Figure 1c,d, respectively).
Figure 1.
Post-exposure size of blastema (mm) after 24 h (a) and 48 h (b), as well as time to regeneration of photoreceptors (c), and auricles (d) of G. tigrina decapitated after exposure to 2.3; 3.4; 5.2, and 7.8 mg TMX·L−1 of Actara for 8 days and a control (ASTM hard water only). Values represent mean ± SEM (standard error of the mean), n = 12.
The feeding rate of planarians was significantly reduced (~42%) after exposure to Actara (F 4,55 = 3.21, p = 0.019), exhibiting an LOEC of 7.8 mg TMX·L−1 (Figure 2).
Figure 2.
Post-exposure feeding rate of G. tigrina after 8 days of pre-exposure to 2.3; 3.4; 5.2, and 7.8 mg TMX·L−1 of Actara and a control (ASTM hard water only). The feeding rate is expressed as the number of larvae of chironomids consumed per planarian per hour. Values represent mean ± SEM (standard error of the mean), n = 12. * Represents a significant difference compared to the control treatment when p < 0.05.
The locomotor velocity of planarians was not significantly altered (F 4,60 = 1.778, p = 0.145) on planarians exposed to Actara when compared to the control treatment (Figure 3).
Figure 3.
Post-exposure locomotor velocity of G. tigrina after 8 days of pre-exposure to 2.3; 3.4; 5.2 and 7.8 mg TMX·L−1 of Actara and a control (ASTM hard water only). Locomotor velocity is expressed as the number of gridlines crossed and recrossed per min. Values represent mean ± SEM (standard error of the mean), n = 12.
4. Discussion
The sensitivity of G. tigrina to the neonicotinoid commercial formulation Actara® 250 WG based on TMX was examined using lethal and sub-lethal endpoints. Based on the estimated LC50 of Actara for planarians, we could observe a higher tolerance of G. tigrina to Actara when compared to other target and non-target species. Specifically, planarians were more tolerant to Actara than Diptera [25], Coleoptera [26], Lepdoptera [27], Hymenoptera [28], Homoptera [29], and Hemiptera [30], but not more tolerant than the coleopteran species Callosobruchus maculates [31], Adalia bipunctata, and Coccinella undecimpunctata [30]. Interestingly, studies with Cruiser formulation or pure TMX active ingredient always showed lower LC50 values, overall lower than 100 μg·L−1 [20,21,32], compared to the values we found in this study, which are in the mg·L−1 range. The decreased sensitivity exhibited by planarians to Actara adds relevant information to what we already know about the effects of neonicotinoids and some formulations using the active ingredient TMX. It is believed that the interactions that occur due to different binding affinities to the subunits of the nicotinic acetylcholine receptors (nAChRs) are the most important factor for the specific effects caused to the survival and behavior of the organisms [3,16,17,22]. Recent studies [16,17] using Chironomus xanthus portrayed this effect well, where two neonicotinoids with distinct active ingredients (imidacloprid and clothianidin) showed opposing multigenerational and reproductive effects due to the different binding affinities to the different alpha (α) subunits of the nAChRs. The super agonist clothianidin that binds to α1-α3 and also α6-α7 did not allow the increased tolerance to the formulation on F1 generation, whereas the partial agonist imidacloprid that binds only to α1-α3 subunits did not affect the F1 generation [16]. Concomitantly, the LC50 for imidacloprid was higher than the one for clothianidin [17]. This could also mean that in the case of planarians, the nAChRs subunits do not bind with high affinity to the TMX present in Actara formulation, since a much higher LC50 was observed for planarians compared to previous results obtained with the larvae of some insects. Specifically, the proportion of α6-α7 subunits seems to be higher than for α1-α3. Moreover, in this study, Actara failed to induce significant effects on all parameters evaluated post-exposure, except for the feeding rate.
Overall, the (eco)toxicological effects of TMX and other neonicotinoids shows variations between species, which may be related to the binding affinities of the active ingredient to some sub-units of the pentameric nAChRs structures, thereby conditioning the animal’s response to each specific neonicotinoid [33].
Considering that the environmental concentrations of TMX (0.1 to 1607 ng·L−1) [1] are far below the effect concentrations found in our study for G. tigrina, we cannot attribute ecological relevance to our findings. However, the results herein presented revealed that Actara is more toxic to planarians than Cruiser, which is based on the same active ingredient [22]. Meanwhile, a different level of toxicity towards G. tigrina was also found for Cruiser® 350 FS (another formulation containing TMX), where a 48 h LC50 of 478.6 mg·L−1 of TMX was exhibited. Thus, we believe that the difference in toxicity between the two formulations of the same active ingredient might be due to the other chemical ingredients present in each formulation. As previously mentioned, this is contrasting with studies concerning the median lethal concentrations observed for insect species exposed to Actara when compared to other formulations, or the pure active ingredient, TMX.
Although the primary focus of ecotoxicological studies with pesticides is the effect of the active ingredient of the formulation, the role of the un-specified ingredients in exerting toxicity on organisms is still poorly elucidated. The distinct physical, chemical, and toxicological properties of the ‘other ingredients’ vary for each type of formulation [34], and the lack of information made available by manufacturers on identity and concentration is limiting with regard to attaining a more detailed study regarding the harmful effects of such products in the environment [35]. Substances considered as ‘other ingredients’ may be more toxic than the active ingredient itself [36,37,38,39], and may also uniquely increase the toxicity of insecticides, such as neonicotinoids [40]. Individual studies of active ingredients in formulations show that this toxicity potentiation promoted by other ingredients is both effective and dangerous [41]. As demonstrated in the work of Mesnage et al. [42], different formulations of herbicides based on glyphosate induced 100-fold different cytotoxicity in human embryonic cell lines. Glyphosate is highly marketed for weed control in large crop varieties, yet it has negligible individual toxicity without the other ingredients (such as tallow amines and other adjuvants) [34]. By comparing an isolated (pure) active ingredient to its commercial formulation, it is possible to have a better understanding of the difference in damage caused, as demonstrated by the work of Jemec et al. [43], which compared the toxicity of the pure neonicotinoid imidacloprid with a commercial formulation (Confidor®) in Daphnia magna. More pronounced effects were found for the commercial product, possibly due to a synergistic potentiation of effects that occurs between the other ingredients and the active ingredient in the formulation. While we can state that the effects observed in this study may be related to the other ingredients of Actara formulation compared to Cruiser, it is not yet possible to characterize and quantify these differences in the composition of both formulations, since data to support our results is only sustained by the lethal effects (LC50).
Nevertheless, it might be possible that the bioavailability of Actara is greater than Cruiser, considering their hydrophilic and lipophilic nature, respectively. Actara (salt formulation dissolved in water) might be more easily absorbed through the bulk flow of water by planarians than Cruiser components. Moreover, the detoxification processes performed by organisms could be dissimilar between exposures to active ingredient and commercial formulations, therefore inducing dissimilar toxicological effects.
The bioavailability hypothesis could be also corroborated by evidence from insects presenting an exoskeleton which seems to be more tolerant to Actara [25,26,27,28,29,30,31,44,45] than to Cruiser [20] or pure TMX [21,46,47,48,49,50,51,52,53,54]. Thus, further studies determining the effects of different insecticide formulations to non-target species could be helpful to explore the ability of different species to cope with the formulation ingredients as a whole and how absorption changes according to the nature of those formulations or the tegument of the species.
5. Conclusions
Planarians seem to be more tolerant to thiamethoxam present in the commercial formulation of Actara than some other non-target organisms. Despite that, a significant effect was observed for the post-exposure feeding rate of planarians. In contrast, our results show that the formulation Actara is more toxic to planarians than other formulations previously tested (Cruiser). Thus, it will be important to investigate the detoxification capacities not only in planarians exposed to the different formulations of one active ingredient and its pure form, as well as to perform tests with other non-target species. This will help the pesticide industry to develop more environmental friendly formulations without the reduction of their efficacy to target pest species.
Author Contributions
R.S.B.: Investigation, Data Curation, Writing—Original draft, Writing—Review & Editing, Formal analysis; E.A.R.: Data Curation, Writing—Review & Editing, Formal analysis; A.M.A.S.: Data Curation, Writing—Review & Editing, Formal analysis; F.R.: Conceptualization, Supervision, Data Curation, Writing—Original draft, Writing—Review & Editing, Formal analysis; A.S.P.D.: Data Curation, Writing—Review & Editing, Formal analysis; D.H.P.: Conceptualization, Data Curation, Writing—Original draft, Writing—Review & Editing, Formal analysis; G.S.C.: Conceptualization, Data Curation, Writing—Original draft, Writing—Review & Editing, Formal analysis; A.M.V.M.S. and R.A.S.: Resources, Conceptualization, Supervision, Writing—Review & Editing, Project administration, Funding acquisition; C.G.: Conceptualization, Supervision, Data Curation, Writing—Original draft, Writing—Review & Editing, Formal analysis. All authors have read and agreed to the published version of the manuscript.
Funding
This research was funded by Coordenação de Aperfeiçoamento de Pessoal de Ensino Superior (CAPES-Brazil and PROCAD-AMAZONIA—Doctoral Exchange Program); Conselho Nacional de Desenvolvimento Científico Tecnológico (CNPq-Brazil); Fundação para a Ciência e a Tecnologia (FCT/MCTES—UIDP/50017/2020+UIDB/50017/2020+LA/P/0094/2020).
Data Availability Statement
The authors state that data will be available upon request.
Acknowledgments
The authors would like to thank Coordenação de Aperfeiçoamento de Pessoal de Ensino Superior (CAPES-Brazil; Doctoral Program process DS-PPG-PV 88887.653785/2021-00), and PROCAD-AMAZONIA-DRI (Programa Nacional de Cooperação Acadêmica na AMAZÔNIA-DRI) (Doctoral Exchange Program, Edital n° 21/2018 processes 88881.666078/2022-01 and 88881.642710/2021-01), Financing Code 001 CAPES. Renato A. Sarmento thanks the Conselho Nacional de Desenvolvimento Científico Tecnológico (CNPq-Brazil) through Research Productivity program—Project: 306011/2022-0 and Universal Project 405875/2021-5. Fabianne Ribeiro was financially supported by CNPQ through the PV “Pesquisador Visitante” program 25/2021, with reference 350118/2022. We also acknowledge the financial support to CESAM by Fundação para a Ciência e a Tecnologia (FCT/MCTES) through national funds (UIDP/50017/2020+UIDB/50017/2020+ LA/P/0094/2020).
Conflicts of Interest
The authors declare no conflict of interest. The funders had no role in the design of the study; in the collection, analyses, or interpretation of data; in the writing of the manuscript, or in the decision to publish the results.
References
- Borsuah, J.F.; Messer, T.L.; Snow, D.D.; Comfort, S.D.; Mittelstet, A.R. Literature Review: Global Neonicotinoid Insecticide Occurrence in Aquatic Environments. Water 2020, 12, 3388. [Google Scholar] [CrossRef]
- Robinson, S.A.; Gavel, M.J.; Richardson, S.D.; Chlebak, R.J.; Milotic, D.; Koprivnikar, J.; Forbes, M.R. Sub-chronic exposure to a neonicotinoid does not affect susceptibility of larval leopard frogs to infection by trematode parasites, via either depressed cercarial performance or host immunity. Parasitol. Res. 2019, 118, 2621–2633. [Google Scholar] [CrossRef] [PubMed]
- Malhotra, N.; Chen, K.H.-C.; Huang, J.-C.; Lai, H.-T.; Uapipatanakul, B.; Roldan, M.J.M.; Macabeo, A.P.G.; Ger, T.-R.; Hsiao, C.-D. Physiological Effects of Neonicotinoid Insecticides on Non-Target Aquatic Animals—An Updated Review. Int. J. Mol. Sci. 2021, 22, 9591. [Google Scholar] [CrossRef] [PubMed]
- Matsuda, K.; Buckingham, S.D.; Kleier, D.; Rauh, J.J.; Grauso, M.; Sattelle, D.B. Neonicotinoids: Insecticides acting on insect nicotinic acetylcholine receptors. Trends Pharmacol. Sci. 2001, 22, 573–580. [Google Scholar] [CrossRef] [PubMed]
- Matsuda, K.; Buckingham, S.D.; Freeman, J.C.; Squire, M.D.; Baylis, H.A.; Sattelle, D.B. Effects of the α subunit on imidacloprid sensitivity of recombinant nicotinic acetylcholine receptors. Br. J. Pharmacol. 1998, 123, 518–524. [Google Scholar] [CrossRef] [PubMed]
- Matsuda, K.; Ihara, M.; Sattelle, D.B. Neonicotinoid Insecticides: Molecular Targets, Resistance, and Toxicity. Annu. Rev. Pharmacol. Toxicol. 2020, 60, 241–255. [Google Scholar] [CrossRef]
- Cruz, B.; de Carvalho, R.F.; Silva, T.S.; Sarmento, R.D.A.; Cavallini, G.S.; Pereira, D.H. Adsorptive capacity of a g-C3N4 matrix for thiamethoxam removal: A DFT study. Comput. Theor. Chem. 2022, 1215, 113816. [Google Scholar] [CrossRef]
- de Lima e Silva, C.; de Rooij, W.; Verweij, R.A.; van Gestel, C.A. Toxicity in Neonicotinoids to Folsomia candida and Eisenia andrei. Environ. Toxicol. Chem. 2020, 39, 548–555. [Google Scholar] [CrossRef]
- Simon-Delso, N.; Amaralrogers, V.; Belzunces, L.P.; Bonmatin, J.M.; Chagnon, M.; Downs, C.; Furlan, L.; Gibbons, D.W.; Giorio, C.; Girolami, V.; et al. Systemic insecticides (neonicotinoids and fipronil): Trends, uses, mode of action and metabolites. Environ. Sci. Pollut. Res. 2015, 22, 5–34. [Google Scholar] [CrossRef]
- Morrissey, C.A.; Mineau, P.; Devries, J.H.; Sanchez-Bayo, F.; Liess, M.; Cavallaro, M.C.; Liber, K. Neonicotinoid contamination of global surface waters and associated risk to aquatic invertebrates: A review. Environ. Int. 2015, 74, 291–303. [Google Scholar] [CrossRef]
- Hladik, M.L.; Main, A.R.; Goulson, D. Environmental Risks and Challenges Associated with Neonicotinoid Insecticides. Environ. Sci. Technol. 2018, 52, 3329–3335. [Google Scholar] [CrossRef]
- Butler, D. Scientists hail European ban on bee-harming pesticides. Nature 2018, 555, 150–151. [Google Scholar] [CrossRef] [PubMed]
- Craddock, H.A.; Huang, D.; Turner, P.C.; Quirós-Alcalá, L.; Payne-Sturges, D.C. Trends in neonicotinoid pesticide residues in food and water in the United States, 1999–2015. Environ. Health 2019, 18, 7. [Google Scholar] [CrossRef] [PubMed]
- Woodcock, B.A.; Ridding, L.; Pereira, M.G.; Sleep, D.; Newbold, L.; Oliver, A.; Shore, R.F.; Bullock, J.M.; Heard, M.S.; Gweon, H.S.; et al. Neonicotinoid use on cereals and sugar beet is linked to continued low exposure risk in honeybees. Agric. Ecosyst. Environ. 2021, 308, 107205. [Google Scholar] [CrossRef]
- Abdourahime, H.; Anastassiadou, M.; Arena, M.; Auteri, D.; Barmaz, S.; Brancato, A.; Brocca, D.; Bura, L.; Cabrera, L.C.; Chiusolo, A.; et al. Peer review of the pesticide risk assessment of the active substance thiacloprid. EFSA J. 2019, 17, e05595. [Google Scholar] [CrossRef]
- Melo, B.S.; Ribeiro, F.; Saraiva, A.S.; Barbosa, R.D.S.; Ferreira, J.S.D.J.; Melo, M.S.; Rosa, L.P.; Gravato, C.; Soares, A.M.; Sarmento, R.A. The multigenerational effects of clothianidin on Chironomus xanthus: Larvae exposed to this acetylcholine super agonist show no clear resistance. Ecotoxicol. Environ. Saf. 2022, 245, 114092. [Google Scholar] [CrossRef]
- Melo, B.S.; Ribeiro, F.; de Souza Saraiva, A.; da Silva Barbosa, R.; de Jesus Ferreira, J.S.; Melo, M.S.; Rosa, L.P.; Dornelas, A.S.; Gravato, C.; Soares, A.M.; et al. Is there a common mechanism of neonicotinoid resistance among insects? Preliminary results show that F1 larvae of pre-exposed Chironomus xanthus are more tolerant to imidacloprid. J. Hazard. Mater. Adv. 2022, 6, 100073. [Google Scholar] [CrossRef]
- Paunescu, A.; Soare, L.C.; Fierascu, I.; Fierascu, R.C.; Mihaescu, C.F.; Tofan, L.; Ponepal, C.M. Ecotoxicological Studies on the Action of Actara 25 WG Insecticide on Prussian Carp (Carassius gibelio) and Marsh Frog (Pelophylax ridibundus). Toxics 2022, 10, 114. [Google Scholar] [CrossRef]
- Anderson, T.A.; Salice, C.J.; Erickson, R.A.; McMurry, S.T.; Cox, S.B.; Smith, L.M. Effects of landuse and precipitation on pesticides and water quality in playa lakes of the southern high plains. Chemosphere 2013, 92, 84–90. [Google Scholar] [CrossRef]
- Ferreira-Junior, D.F.; Sarmento, R.A.; Saraiva, A.S.; Dornelas, A.S.P.; Pestana, J.L.T.; Soares, A.M.V.M. Effects of a Thiamethoxam-Based Insecticide on the Life History of Chironomus xanthus. Water Air Soil Pollut. 2018, 229, 376. [Google Scholar] [CrossRef]
- Saraiva, A.S.; Sarmento, R.A.; Rodrigues, A.C.; Campos, D.; Fedorova, G.; Žlábek, V.; Gravato, C.; Pestana, J.L.; Soares, A.M. Assessment of thiamethoxam toxicity to Chironomus riparius. Ecotoxicol. Environ. Saf. 2017, 137, 240–246. [Google Scholar] [CrossRef] [PubMed]
- Barbosa, R.d.S.; Cavallini, G.S.; Cruz, Á.B.; Pereira, D.H.; de Souza, N.L.G.D.; Carlos, T.D.; Soares, A.M.V.M.; Gravato, C.; Sarmento, R.A. Degradation of the Neonicotinoid Thiamethoxam by the Solar-Fenton Process: Theoretical Insights and Ecotoxicological Evaluation 2022. Available online: https://ssrn.com/abstract=4193674 (accessed on 30 September 2022).
- ASTM. Standard practice for acute toxicity testing with fish, macroinvertebrates and amphibians. In American Society for Testing and Materials; American Standards for Testing and Materials: Philadelphia, PA, USA, 1980; Volume 729, pp. 406–430. [Google Scholar]
- Dornelas, A.S.; Sarmento, R.; Saraiva, A.S.; Barbosa, R.S.; Vieira, M.M.; Gravato, C.; Soares, A.M. Effects of two biopesticides and salt on behaviour, regeneration and sexual reproduction of the freshwater planarian Girardia tigrina. J. Hazard. Mater. 2021, 404, 124089. [Google Scholar] [CrossRef] [PubMed]
- Abdel-Haleem, D.R.; Genidy, N.A.; Fahmy, A.R.; Abu El Azm, F.S.M.; Ismail, N.S.M. Comparative Modelling, Toxicological and Biochemical Studies of Imidacloprid and Thiamethoxam Insecticides on the House Fly, Musca domestica L. (Diptera: Muscidae). Egypt. Acad. J. Biol. Sci. A Èntomol. 2018, 11, 33–42. [Google Scholar] [CrossRef][Green Version]
- Di Ilio, V.; Metwaly, N.; Saccardo, F.; Caprio, E. Adult and Egg Mortality of Rhynchophorus Ferrugineus Oliver (Coleoptera: Curculionidae) Induced By Thiamethoxam And Clothianidin. J. Agric. Vet. Sci. 2018, 11, 59–67. [Google Scholar] [CrossRef]
- Balanza, V.; Mendoza, J.E.; Bielza, P. Variation in susceptibility and selection for resistance to imidacloprid and thiamethoxam in Mediterranean populations of Orius laevigatus. Èntomol. Exp. Appl. 2019, 167, 626–635. [Google Scholar] [CrossRef]
- Stuchi, A.L.P.B.; Moreira, D.R.; Galhardo, D.; dos Santos, S.A.; Ronqui, L.; Cantagalli, L.B.; Lopes, D.A.; Sinópolis-Gigliolli, A.A.; Toledo, V.D.A.A.D.; Ruvolo-Takasusuki, M.C.C. Comparative toxicity of fipronil, malathion, and thiamethoxam on the stingless bee Tetragonisca fiebrigi (Schwarz, 1938). Acta Sci. Biol. Sci. 2022, 44, e57846. [Google Scholar] [CrossRef]
- Mohamed, H.T.; Mohamed, I.A.; Abou-Elhagag, G.H.; Saba, R.M. Toxicity and field persistence of thiamethoxam and dinotefuran against cabbage aphid, Brevicoryne brassica L. (Homoptera: Aphididae) under laboratory and field conditions. J. Phyto-Pathol. Pest Manag. 2015, 2, 20–26. [Google Scholar]
- Amirzade, N.; Izadi, H.; Amin Jalali, M.; Zohdi, H. Evaluation of three neonicotinoid insecticides against the common pistachio psylla, Agonoscena pistaciae, and its natural enemies. J. Insect Sci. 2014, 14, 35. [Google Scholar] [CrossRef]
- Fouad, E.A.; Abotaleb, A.O. Sublethal Effects of Two Insecticides, Deltamethrin, Thiamethoxam and the Botanical Insecticide (Foeniculum vulgare Mill.) on Callosobruchus maculates (Fabr.) (Coleoptera: Bruchidae). Egypt. Acad. J. Biol. Sci. A Èntomol. 2021, 14, 255–269. [Google Scholar] [CrossRef]
- Riaz, M.A.; Chandor-Proust, A.; Dauphin-Villemant, C.; Poupardin, R.; Jones, C.M.; Strode, C.; Régent-Kloeckner, M.; David, J.-P.; Reynaud, S. Molecular mechanisms associated with increased tolerance to the neonicotinoid insecticide imidacloprid in the dengue vector Aedes aegypti. Aquat. Toxicol. 2013, 126, 326–337. [Google Scholar] [CrossRef]
- Raby, M.; Nowierski, M.; Perlov, D.; Zhao, X.; Hao, C.; Poirier, D.G.; Sibley, P. Acute toxicity of 6 neonicotinoid insecticides to freshwater invertebrates. Environ. Toxicol. Chem. 2018, 37, 1430–1445. [Google Scholar] [CrossRef] [PubMed]
- Surgan, M.; Condon, M.; Cox, C. Pesticide Risk Indicators: Unidentified Inert Ingredients Compromise Their Integrity and Utility. Environ. Manag. 2010, 45, 834–841. [Google Scholar] [CrossRef] [PubMed]
- Villaverde, J.J.; Sevilla-Morán, B.; Sandín-España, P.; López-Goti, C.; Alonso-Prados, J.L. Challenges of biopesticides under the European Regulation (EC) No. 1107/2009: An overview of new trends in residue analysis. Stud. Nat. Prod. Chem. 2014, 43, 437–482. [Google Scholar]
- Benchaâbane, S.; Ayad, A.; Loucif-Ayad, W.; Soltani, N. Multibiomarker responses after exposure to a sublethal concentration of thiamethoxam in the African honeybee (Apis mellifera intermissa). Comp. Biochem. Physiol. Part C Toxicol. Pharmacol. 2022, 257, 109334. [Google Scholar] [CrossRef] [PubMed]
- Mullin, C.A. Effects of ‘inactive’ ingredients on bees. Curr. Opin. Insect Sci. 2015, 10, 194–200. [Google Scholar] [CrossRef]
- Straw, E.A. A Brief Note on Pollinator Exposure to Co-Formulants and Adjuvants. Environ. Toxicol. Chem. 2022, 41, 1584–1585. [Google Scholar] [CrossRef]
- Straw, E.A.; Brown, M.J.F. Co-formulant in a commercial fungicide product causes lethal and sub-lethal effects in bumble bees. Sci. Rep. 2021, 11, 21653. [Google Scholar] [CrossRef]
- Mullin, C.A.; Fine, J.D.; Reynolds, R.D.; Frazier, M.T. Toxicological Risks of Agrochemical Spray Adjuvants: Organosilicone Surfactants May Not Be Safe. Front. Public Health 2016, 4, 92. [Google Scholar] [CrossRef]
- Mesnage, R.; Antoniou, M.N. Ignoring Adjuvant Toxicity Falsifies the Safety Profile of Commercial Pesticides. Front. Public Health 2018, 5, 361. [Google Scholar] [CrossRef]
- Mesnage, R.; Bernay, B.; Séralini, G.-E. Ethoxylated adjuvants of glyphosate-based herbicides are active principles of human cell toxicity. Toxicology 2013, 313, 122–128. [Google Scholar] [CrossRef]
- Jemec, A.; Tišler, T.; Drobne, D.; Sepčić, K.; Fournier, D.; Trebše, P. Comparative toxicity of imidacloprid, of its commercial liquid formulation and of diazinon to a non-target arthropod, the microcrustacean Daphnia magna. Chemosphere 2007, 68, 1408–1418. [Google Scholar] [CrossRef]
- Halappa, B.; Patil, R.K. Detoxifying enzyme studies on cotton leafhopper, Amrasca biguttula biguttula (Ishida), resistance to neonicotinoid insecticides in field populations in Karnataka, India. J. Plant Prot. Res. 2016, 56, 346–352. [Google Scholar] [CrossRef]
- Uğurlu, P.; Ünlü, E.; Satar, E.I. The toxicological effects of thiamethoxam on Gammarus kischineffensis (Schellenberg 1937) (Crustacea: Amphipoda). Environ. Toxicol. Pharmacol. 2015, 39, 720–726. [Google Scholar] [CrossRef] [PubMed]
- Ahmed, M.; Matsumura, F. Synergistic Actions of Formamidine Insecticides on the Activity of Pyrethroids and Neonicotinoids Against Aedes aegypti (Diptera: Culicidae). J. Med. Èntomol. 2012, 49, 1405–1410. [Google Scholar] [CrossRef]
- Bartlett, A.J.; Hedges, A.M.; Intini, K.D.; Brown, L.R.; Maisonneuve, F.J.; Robinson, S.A.; Gillis, P.L.; de Solla, S.R. Acute and chronic toxicity of neonicotinoid and butenolide insecticides to the freshwater amphipod, Hyalella azteca. Ecotoxicol. Environ. Saf. 2019, 175, 215–223. [Google Scholar] [CrossRef] [PubMed]
- Bartlett, A.J.; Hedges, A.M.; Intini, K.D.; Brown, L.R.; Maisonneuve, F.J.; Robinson, S.A.; Gillis, P.L.; de Solla, S.R. Lethal and sublethal toxicity of neonicotinoid and butenolide insecticides to the mayfly, Hexagenia spp. Environ. Pollut. 2018, 238, 63–75. [Google Scholar] [CrossRef]
- de M Ribeiro, M.G.P.; Hunt, T.E.; Siegfried, B.D. Acute-Contact and Chronic-Systemic In Vivo Bioassays: Regional Monitoring of Susceptibility to Thiamethoxam in Soybean Aphid (Hemiptera: Aphididae) Populations from the North Central United States. J. Econ. Èntomol. 2018, 111, 337–347. [Google Scholar] [CrossRef]
- Fu, Z.; Han, F.; Huang, K.; Zhang, J.; Qin, J.G.; Chen, L.; Li, E. Combined toxic effects of thiamethoxam on intestinal flora, transcriptome and physiology of Pacific white shrimp Litopenaeus vannamei. Sci. Total. Environ. 2022, 830, 154799. [Google Scholar] [CrossRef]
- Cavallaro, M.C.; Morrissey, C.A.; Headley, J.V.; Peru, K.M.; Liber, K. Comparative chronic toxicity of imidacloprid, clothianidin, and thiamethoxam to Chironomus dilutus and estimation of toxic equivalency factors. Environ. Toxicol. Chem. 2016, 36, 372–382. [Google Scholar] [CrossRef]
- Prosser, R.; de Solla, S.; Holman, E.; Osborne, R.; Robinson, S.; Bartlett, A.; Maisonneuve, F.; Gillis, P. Sensitivity of the early-life stages of freshwater mollusks to neonicotinoid and butenolide insecticides. Environ. Pollut. 2016, 218, 428–435. [Google Scholar] [CrossRef]
- Stamm, M.D.; Baxendale, F.P.; Heng-Moss, T.M.; Siegfried, B.D.; Blankenship, E.E.; Gaussoin, R.E. Dose-response relationships of clothianidin, imidacloprid, and thiamethoxam to Blissus occiduus (Hemiptera: Blissidae). J. Econ. Èntomol. 2011, 104, 205–210. [Google Scholar] [CrossRef] [PubMed]
- Ullah, F.; Gul, H.; Tariq, K.; Desneux, N.; Gao, X.; Song, D. Thiamethoxam induces transgenerational hormesis effects and alteration of genes expression in Aphis gossypii. Pestic. Biochem. Physiol. 2020, 165, 104557. [Google Scholar] [CrossRef] [PubMed]
Publisher’s Note: MDPI stays neutral with regard to jurisdictional claims in published maps and institutional affiliations. |
© 2022 by the authors. Licensee MDPI, Basel, Switzerland. This article is an open access article distributed under the terms and conditions of the Creative Commons Attribution (CC BY) license (https://creativecommons.org/licenses/by/4.0/).


