Effects of Exceptional Points on the Optical Properties of a Quantum Dot in a Microcavity †
Abstract
:1. Introduction
2. Materials and Methods
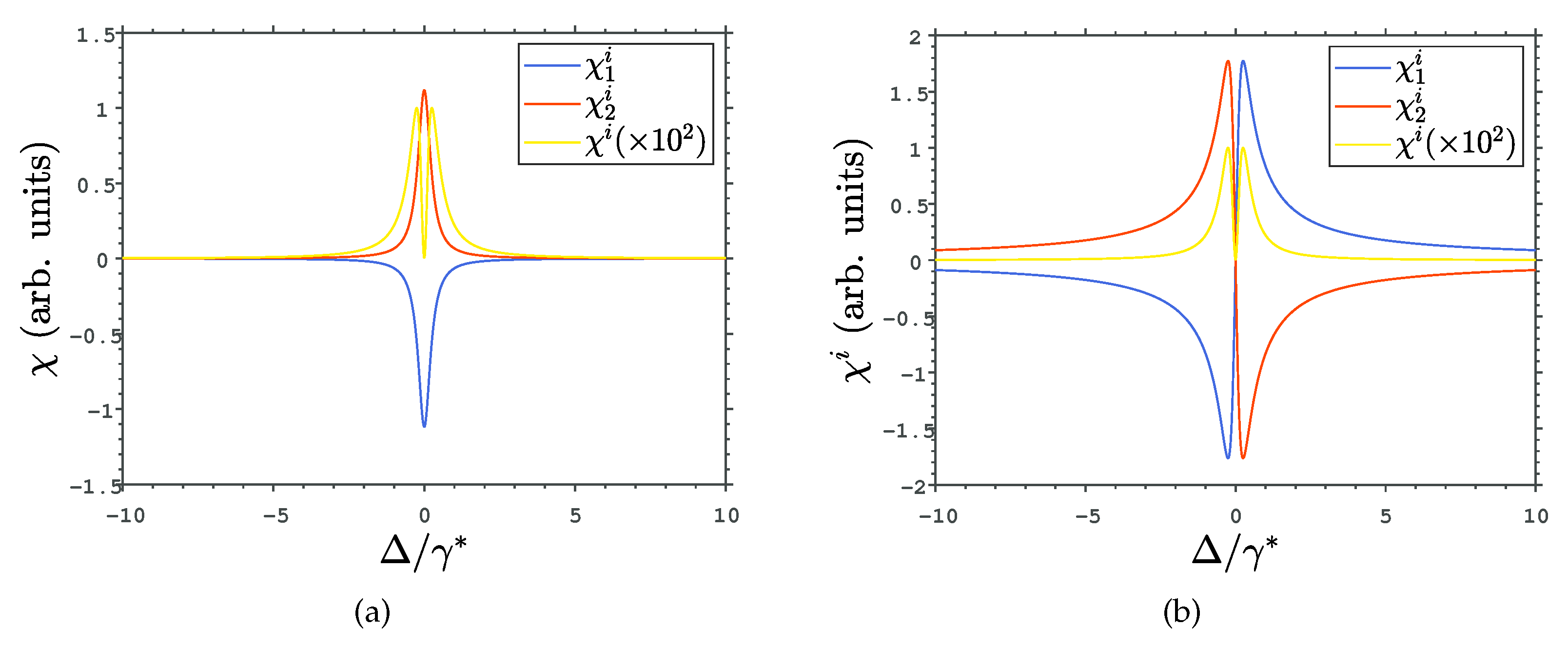
3. Results and Discussion
Author Contributions
Funding
Institutional Review Board Statement
Informed Consent Statement
Data Availability Statement
Conflicts of Interest
Abbreviations
| EP | Exceptional Point |
| QE | Quantum Emitter |
References
- Bender, C.M.; Boettcher, S. Real Spectra in Non-Hermitian Hamiltonians Having PT Symmetry. Phys. Rev. Lett. 1998, 80, 5243–5246. [Google Scholar] [CrossRef] [Green Version]
- El-Ganainy, R.; Makris, K.G.; Khajavikhan, M.; Musslimani, Z.H.; Rotter, S.; Christodoulides, D.N. Non-Hermitian physics and PT symmetry. Nat. Phys. 2018, 14, 11–19. [Google Scholar] [CrossRef]
- Özdemir, Ş.K.; Rotter, S.; Nori, F.; Yang, L. Parity–time symmetry and exceptional points in photonics. Nat. Mater. 2019, 18, 783–798. [Google Scholar] [CrossRef] [PubMed]
- Parto, M.; Liu, Y.G.N.; Bahari, B.; Khajavikhan, M.; Christodoulides, D.N. Non-Hermitian and topological photonics: Optics at an exceptional point. Nanophotonics 2021, 10, 403–423. [Google Scholar] [CrossRef]
- Minganti, F.; Miranowicz, A.; Chhajlany, R.W.; Nori, F. Quantum exceptional points of non-Hermitian Hamiltonians and Liouvillians: The effects of quantum jumps. Phys. Rev. A 2019, 100, 062131. [Google Scholar] [CrossRef] [Green Version]
- Chen, W.; Abbasi, M.; Joglekar, Y.N.; Murch, K.W. Quantum Jumps in the Non-Hermitian Dynamics of a Superconducting Qubit. Phys. Rev. Lett. 2021, 127, 140504. [Google Scholar] [CrossRef] [PubMed]
- Wu, Y.; Liu, W.; Geng, J.; Song, X.; Ye, X.; Duan, C.K.; Rong, X.; Du, J. Observation of parity-time symmetry breaking in a single-spin system. Science 2019, 364, 878–880. [Google Scholar] [CrossRef] [PubMed] [Green Version]
- Naghiloo, M.; Abbasi, M.; Joglekar, Y.N.; Murch, K. Quantum state tomography across the exceptional point in a single dissipative qubit. Nat. Phys. 2019, 15, 1232–1236. [Google Scholar] [CrossRef] [Green Version]
- Rice, P.R.; Brecha, R.J. Cavity induced transparency. Opt. Commun. 1996, 126, 230–235. [Google Scholar] [CrossRef]
- Cardimona, D.A.; Alsing, P.M.; Mozer, H.; Rhodes, C. Interference effects in a three-level atom in a cavity beyond the weak-field approximation. Phys. Rev. A 2009, 79, 063817. [Google Scholar] [CrossRef]



Publisher’s Note: MDPI stays neutral with regard to jurisdictional claims in published maps and institutional affiliations. |
© 2022 by the authors. Licensee MDPI, Basel, Switzerland. This article is an open access article distributed under the terms and conditions of the Creative Commons Attribution (CC BY) license (https://creativecommons.org/licenses/by/4.0/).
Share and Cite
Synanidis, A.P.; Terzis, A.F.; Paspalakis, E. Effects of Exceptional Points on the Optical Properties of a Quantum Dot in a Microcavity. Mater. Proc. 2022, 9, 14. https://doi.org/10.3390/materproc2022009014
Synanidis AP, Terzis AF, Paspalakis E. Effects of Exceptional Points on the Optical Properties of a Quantum Dot in a Microcavity. Materials Proceedings. 2022; 9(1):14. https://doi.org/10.3390/materproc2022009014
Chicago/Turabian StyleSynanidis, Adamantios P., Andreas F. Terzis, and Emmanuel Paspalakis. 2022. "Effects of Exceptional Points on the Optical Properties of a Quantum Dot in a Microcavity" Materials Proceedings 9, no. 1: 14. https://doi.org/10.3390/materproc2022009014
APA StyleSynanidis, A. P., Terzis, A. F., & Paspalakis, E. (2022). Effects of Exceptional Points on the Optical Properties of a Quantum Dot in a Microcavity. Materials Proceedings, 9(1), 14. https://doi.org/10.3390/materproc2022009014

