Influence of Functional Groups on Their Structural Behavior Under Specific Physical and Chemical Stimuli †
Abstract
1. Introduction
2. Materials and Methods
2.1. Synthesis of Materials
- Smart polymer nanoparticles were synthesized via emulsion polymerization to obtain two different morphologies, as shown in Figure 1: (a) Series 1—core–shell; (b) Series 2—core–concentration gradient. The polymerization conditions are detailed in previous works [15,16]. The polymeric materials were formulated to achieve a total solids content of 10 wt.%, with 40 wt.% of functional groups. The functional groups ratios were varied as follows: 70:30 wt.%, 80:20 wt.%, and 90:10 wt.% (AA/AMm).
- Nanoparticles in Series 1 (Figure 1a) were obtained by a two-stage semi-continuous process [15]. In the first stage, Tank 1 (T1), containing a pre-emulsion solution of water, initiator, surfactant, MMA, and AA, was added to the reactor to form a core of carboxylic groups. In the second stage, the pre-emulsion from Tank 2 (T2), which contained Amm, was added to form a shell with amide groups [15]. Nanoparticles of Series 2 (Figure 1b) were synthesized using a power feed process described by Basset et al. [15,17,18,19]. This sequential addition arrangement resulted in a concentration gradient of carboxylic and amide groups, using the same chemical compositions from Tank 1 and Tank 2 as in Series 1 [15,17,18].
2.2. Characterization of Nanomaterials
- The nanoparticles were characterized using several analytical techniques as part of ongoing research into their behavior, structural modifications, intra- and intermolecular interactions with the surrounding environment under specific pH- and temperature-sensitive conditions [16].
2.2.1. Gravimetry
- The total solid content (Ts) was estimated from the slope at the trough in a plot of polymer mass (mP) as a function of latex mass (mL), using the gravimetry technique [18]. Ts defines the final solids content of the polymer in the dispersions. The detailed methodology is provided in a previous work [18].
2.2.2. Dynamic Light Scattering (DLS) and Electrophoresis (Zeta Potential, ζ)
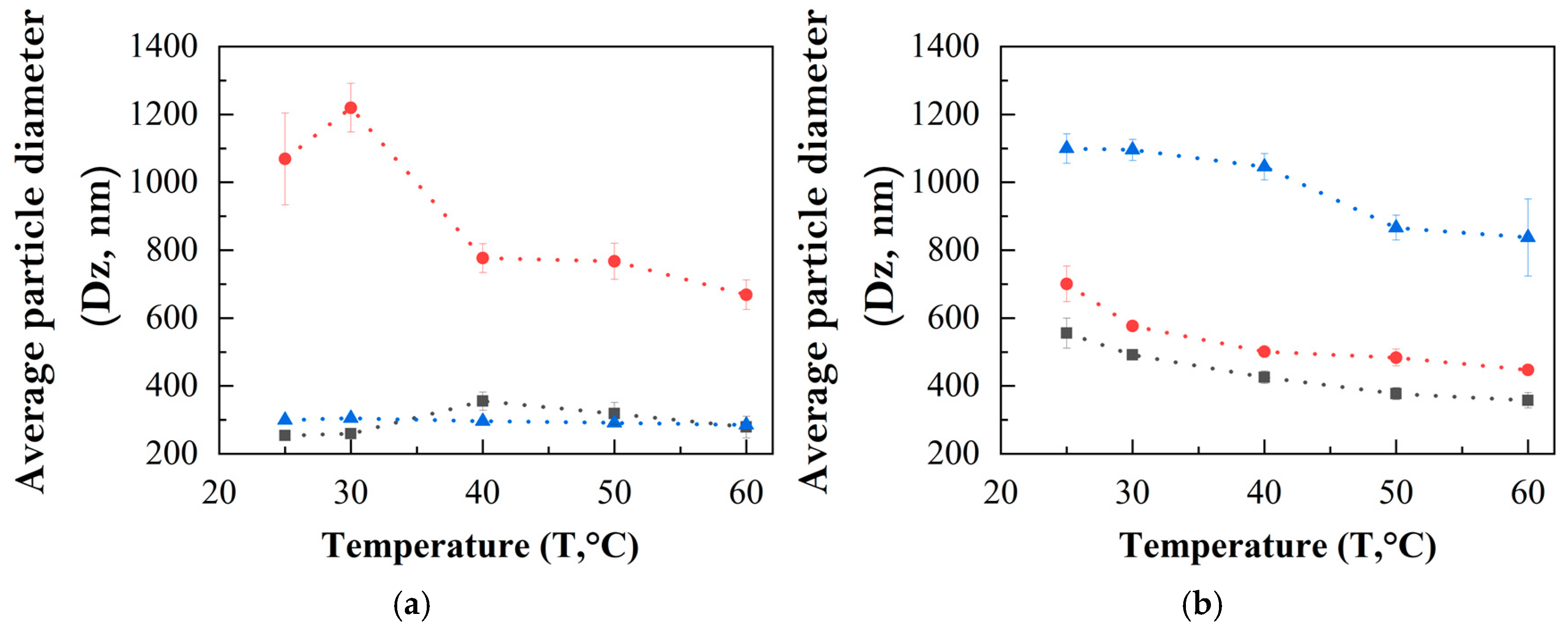
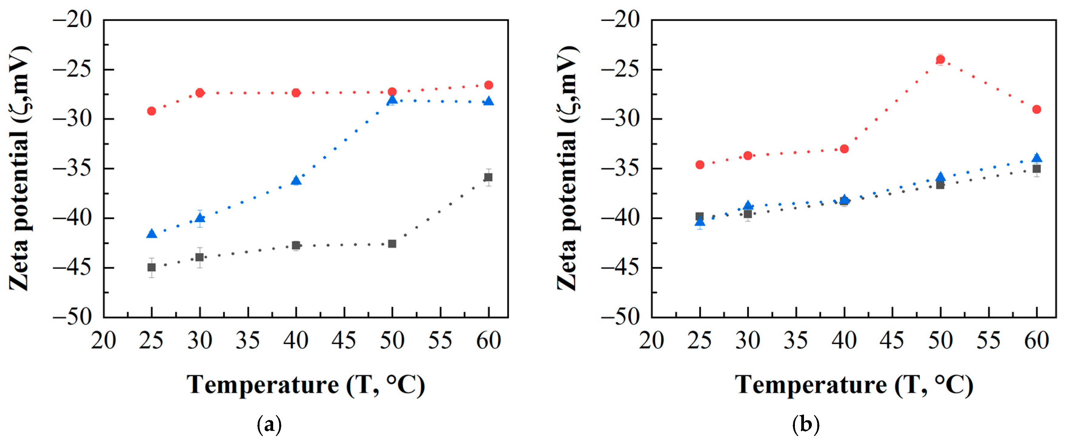
- To determine particle size distribution and the ζ-potential at 25 °C, 30 °C, 40 °C, 50 °C, and 60 °C, DLS and electrophoresis techniques were employed. The experiments were conducted using a Zetasizer Nano ZSP (Malvern Instruments, Malvern, UK). The polymer nanoparticles in the dispersion were diluted to 10 ppm with deionized water, and then placed in a capillary cell (DTS1070). Measurements were performed in quadruplicate. From the particle size distribution data, the average diameter in number (Dn), weight (Dw), and hydrodynamic (Dz) were calculated using the equations described by Peter A. et al. [20]. These analyses were performed to evaluate the effect of temperature on the average particle diameter and colloidal stability.
2.2.3. Scanning Electron Microscopy (SEM)
- Scanning electron microscopy (SEM) was employed to analyze the influence of the distribution of functional groups on the morphology and surface structure of polymeric nanoparticles. The analyses were performed using a Field Emission Scanning Electron Microscope (JEOL JM-7800F, Tokyo, Japan). The latex dispersions were diluted 1:100 with deionized water (DW) and deposited onto the sample holder. Then, a gold coating was applied to the sample for 2 s. Each analysis was performed under the following conditions: secondary electron imaging at 5.0 kV, a working distance of 10 mm, and magnifications ranging from 1000 to 50,000x.
2.2.4. Rheological Properties: Viscosity (η)
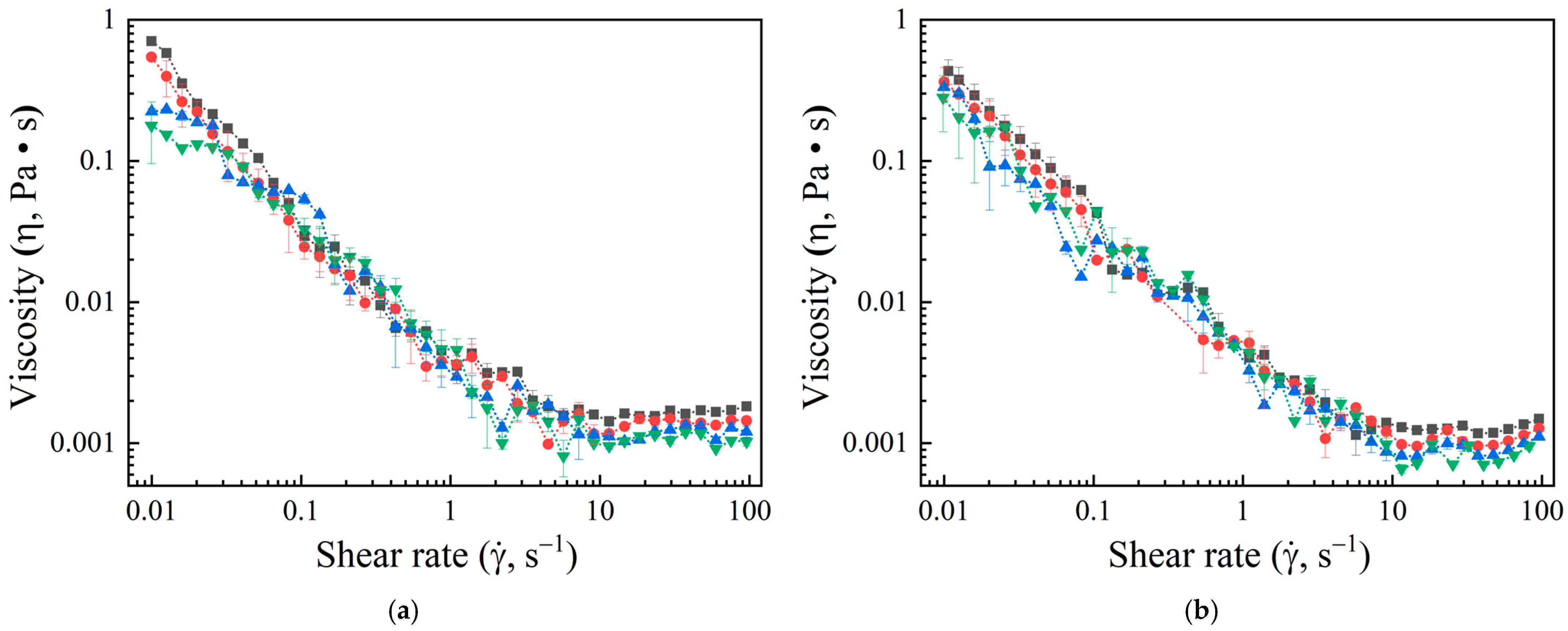
- To assess the rheological properties of polymeric nanoparticles over a temperature range of 30–60 °C, the viscosity (η) of polymer dispersions without dilution was measured using a Modular Compact Rheometer MCR 502 (Anton Paar, Graz, Austria). Measurements were conducted in rotational mode with a concentric cylinder measuring system (CC27), and the shear rate () was varied from 0.01 to 1000 s−1. All experiments were performed in triplicate.
3. Results and Discussion
3.1. Characterization of Nanomaterials
3.1.1. Total Solids Content (Ts) of Polymers Nanoparticles
3.1.2. Average Particle Diameter (Dz) and Zeta Potential (ζ)
3.1.3. Scanning Electron Microscopy of Polymers Nanoparticles
3.1.4. Rheology Properties of Polymers Nanoparticles
Viscosity of Polymers Nanoparticles
4. Conclusions
Author Contributions
Funding
Institutional Review Board Statement
Informed Consent Statement
Data Availability Statement
Acknowledgments
Conflicts of Interest
References
- Priestley, R.; Prud’homme, R. (Eds.) Polymer Colloids: Formation, Characterization and Applications; Soft Matter Series; Royal Society of Chemistry: Cambridge, UK, 2019. [Google Scholar] [CrossRef]
- Elaissari, A. (Ed.) Colloidal Polymers: Synthesis and Characterization; Surfactant Science Series, no. v. 115; M. Dekker: New York, NY, USA, 2003. [Google Scholar]
- Mosnáčková, K.; Kollár, J.; Huang, Y.-S.; Huang, C.-F.; Mosnáček, J. Synthesis Routes of Functionalized Nanoparticles. In Polymer Composites with Functionalized Nanoparticles; Elsevier: Amsterdam, The Netherlands, 2019; pp. 1–46. [Google Scholar] [CrossRef]
- Fattah-Alhosseini, A.; Chaharmahali, R.; Alizad, S.; Kaseem, M.; Dikici, B. A review of smart polymeric materials: Recent developments and prospects for medicine applications. Hybrid Adv. 2024, 5, 100178. [Google Scholar] [CrossRef]
- Aguilar, M.R.; Román, J.S. (Eds.) Smart polymers and their applications, Second edition. In Woodhead Publishing in Materials; Woodhead Publishing: Duxford, UK; Cambridge, MA, USA, 2019. [Google Scholar]
- He, Y.; Gou, S.; Zhou, Y.; Zhou, L.; Tang, L.; Liu, L.; Fang, S. Thermoresponsive behaviors of novel polyoxyethylene-functionalized acrylamide copolymers: Water solubility, rheological properties and surface activity. J. Mol. Liq. 2020, 319, 114337. [Google Scholar] [CrossRef]
- Jalababu, R.; Veni, S.S.; Reddy, K.S. Synthesis and characterization of dual responsive sodium alginate-g-acryloyl phenylalanine-poly N -isopropyl acrylamide smart hydrogels for the controlled release of anticancer drug. J. Drug Deliv. Sci. Technol. 2018, 44, 190–204. [Google Scholar] [CrossRef]
- Abouelmagd, S.A.; Ellah, N.H.A.; El Hamid, B.N.A. Temperature and pH dual-stimuli responsive polymeric carriers for drug delivery. In Stimuli Responsive Polymeric Nanocarriers for Drug Delivery Applications; Elsevier: Amsterdam, The Netherlands, 2019; pp. 87–109. [Google Scholar] [CrossRef]
- Suljovrujic, E.; Miladinovic, Z.R.; Krstic, M. Swelling properties and drug release of new biocompatible POEGOPGMA hydrogels with VPTT near to the human body temperature. Polym. Bull. 2020, 78, 2405–2425. [Google Scholar] [CrossRef]
- Kalhapure, R.S.; Renukuntla, J. Thermo- and pH dual responsive polymeric micelles and nanoparticles. Chem. Interact. 2018, 295, 20–37. [Google Scholar] [CrossRef]
- de Leon, A.C.C.; da Silva, Í.G.; Pangilinan, K.D.; Chen, Q.; Caldona, E.B.; Advincula, R.C. High performance polymers for oil and gas applications. React. Funct. Polym. 2021, 162, 104878. [Google Scholar] [CrossRef]
- Mittal, V. Polymers in Oil and Gas Industry; Central West Publishing: Orange, NSW, Australia, 2018; ISBN 978-0-6482205-0-3. [Google Scholar]
- Adewunmi, A.A.; Solling, T.; Sultan, A.S.; Saikia, T. Emulsified acid systems for oil well stimulation: A review. J. Pet. Sci. Eng. 2022, 208, 109569. [Google Scholar] [CrossRef]
- Tiu, B.D.B.; Advincula, R.C. Polymeric corrosion inhibitors for the oil and gas industry: Design principles and mechanism. React. Funct. Polym. 2015, 95, 25–45. [Google Scholar] [CrossRef]
- Ruiz-Virgen, L.; Hernández-Martínez, M.A.; Martínez-Mejía, G.; Caro-Briones, R.; del Río, J.M.; Corea, M. Study of Thermodynamic and Rheological Properties of Sensitive Polymeric Nanoparticles as a Possible Application in the Oil Industry. J. Solut. Chem. 2024, 53, 5–27. [Google Scholar] [CrossRef]
- Ruiz-Virgen, L.; Hernandez-Martinez, M.A.; Martínez-Mejía, G.; Caro-Briones, R.; Herbert-Pucheta, E.; del Río, J.M.; Corea, M. Analysis of Structural Changes of pH–Thermo-Responsive Nanoparticles in Polymeric Hydrogels. Gels 2024, 10, 541. [Google Scholar] [CrossRef] [PubMed]
- Santillán, R.; Nieves, E.; Alejandre, P.; Pérez, E.; del Río, J.; Corea, M. Comparative thermodynamic study of functional polymeric latex particles with different morphologies. Colloids Surf. A Physicochem. Eng. Asp. 2014, 444, 189–208. [Google Scholar] [CrossRef]
- Santillán, R.; Nieves, E.; Alejandre, C.; Gómez-Yañez, C.; del Río, J.; Dorantes-Rosales, H.; Navarro-Clemente, M.; Corea, M. Synthesis of highly carboxylated latex particles using a power feed process. J. Ind. Eng. Chem. 2012, 19, 1257–1266. [Google Scholar] [CrossRef]
- Emulsion Polymers and Emulsion Polymerization; American Chemical Society (ACS): Washington, DC, USA, 1981; ISBN 9780841206427.
- Lovell, P.A.; Schork, F.J. Fundamentals of Emulsion Polymerization. Biomacromolecules 2020, 21, 4396–4441. [Google Scholar] [CrossRef] [PubMed]
- Zeinali, E.; Haddadi-Asl, V.; Roghani-Mamaqani, H. Nanocrystalline cellulose grafted random copolymers of N-isopropylacrylamide and acrylic acid synthesized by RAFT polymerization: Effect of different acrylic acid contents on LCST behavior. RSC Adv. 2014, 4, 31428–31442. [Google Scholar] [CrossRef]
- Zhao, C.; Dolmans, L.; Zhu, X.X. Thermoresponsive Behavior of Poly(acrylic acid-co-acrylonitrile) with a UCST. Macromolecules 2019, 52, 4441–4446. [Google Scholar] [CrossRef]
- Le, M.; Huang, W.; Chen, K.-F.; Lin, C.; Cai, L.; Zhang, H.; Jia, Y.-G. Upper critical solution temperature polymeric drug carriers. Chem. Eng. J. 2022, 432, 134354. [Google Scholar] [CrossRef]
- Najafi, M.; Habibi, M.; Fokkink, R.; Hennink, W.E.; Vermonden, T. LCST polymers with UCST behavior. Soft Matter 2021, 17, 2132–2141. [Google Scholar] [CrossRef]
- Mekewi, M.A.; Madkour, T.M.; Darwish, A.S.; Hashish, Y.M. Does poly(acrylic acid-co-acrylamide) hydrogel be the pluperfect choiceness in treatment of dyeing wastewater? “From simple copolymer to gigantic aqua-waste remover”. J. Ind. Eng. Chem. 2015, 30, 359–371. [Google Scholar] [CrossRef]
- Bhattacharjee, S. DLS and zeta potential—What they are and what they are not? J. Control. Release 2016, 235, 337–351. [Google Scholar] [CrossRef]
- Abdollahi, A.; Roghani-Mamaqani, H.; Salami-Kalajahi, M. Morphology evolution of functionalized styrene and methyl methacrylate copolymer latex nanoparticles by one-step emulsifier-free emulsion polymerization. Eur. Polym. J. 2020, 133, 109790. [Google Scholar] [CrossRef]
- Jamali, A.; Moghbeli, M.R.; Ameli, F.; Roayaie, E.; Karambeigi, M.S. Synthesis and characterization of pH-sensitive poly(acrylamide-co-methylenebisacrylamide-co-acrylic acid) hydrogel microspheres containing silica nanoparticles: Application in enhanced oil recovery processes. J. Appl. Polym. Sci. 2019, 137, e48491. [Google Scholar] [CrossRef]
- Nesrinne, S.; Djamel, A. Synthesis, characterization and rheological behavior of pH sensitive poly(acrylamide-co-acrylic acid) hydrogels. Arab. J. Chem. 2017, 10, 539–547. [Google Scholar] [CrossRef]
- Reis, B.M.; Armes, S.P.; Fujii, S.; Biggs, S. Characterisation of the dispersion stability of a stimulus responsive core–shell colloidal latex. Colloids Surf. A Physicochem. Eng. Asp. 2010, 353, 210–215. [Google Scholar] [CrossRef]
- Buratti, E.; Franco, S.; Di Gregorio, G.; Ripanti, F.; Nigro, V.; Bertoldo, M.; Angelini, R.; Postorino, P.; Ruzicka, B. Copolymer vs interpenetrated polymer network microgels: The case of poly(N-isopropylacrylamide) and poly(acrylic acid). J. Mol. Liq. 2025, 427, 127328. [Google Scholar] [CrossRef]
- de Vasconcelos, C.K.; Lopes, R.C.; Medeiros, F.S.; Viana, M.M.; Caliman, V.; Silva, G.G. Rheological and structural properties of nanofluids based on hydrolyzed polyacrylamide and aminated carbon nanotubes for enhanced oil recovery. Polymer 2024, 307, 127325. [Google Scholar] [CrossRef]





Disclaimer/Publisher’s Note: The statements, opinions and data contained in all publications are solely those of the individual author(s) and contributor(s) and not of MDPI and/or the editor(s). MDPI and/or the editor(s) disclaim responsibility for any injury to people or property resulting from any ideas, methods, instructions or products referred to in the content. |
© 2025 by the authors. Licensee MDPI, Basel, Switzerland. This article is an open access article distributed under the terms and conditions of the Creative Commons Attribution (CC BY) license (https://creativecommons.org/licenses/by/4.0/).
Share and Cite
Hernandez-Martinez, M.A.; Ruiz-Virgen, L.; Caro-Briones, R.; Martínez-Mejía, G.; del Río, J.M.; Corea, M. Influence of Functional Groups on Their Structural Behavior Under Specific Physical and Chemical Stimuli. Mater. Proc. 2025, 25, 19. https://doi.org/10.3390/materproc2025025019
Hernandez-Martinez MA, Ruiz-Virgen L, Caro-Briones R, Martínez-Mejía G, del Río JM, Corea M. Influence of Functional Groups on Their Structural Behavior Under Specific Physical and Chemical Stimuli. Materials Proceedings. 2025; 25(1):19. https://doi.org/10.3390/materproc2025025019
Chicago/Turabian StyleHernandez-Martinez, Miguel A., Lazaro Ruiz-Virgen, Rubén Caro-Briones, Gabriela Martínez-Mejía, José Manuel del Río, and Mónica Corea. 2025. "Influence of Functional Groups on Their Structural Behavior Under Specific Physical and Chemical Stimuli" Materials Proceedings 25, no. 1: 19. https://doi.org/10.3390/materproc2025025019
APA StyleHernandez-Martinez, M. A., Ruiz-Virgen, L., Caro-Briones, R., Martínez-Mejía, G., del Río, J. M., & Corea, M. (2025). Influence of Functional Groups on Their Structural Behavior Under Specific Physical and Chemical Stimuli. Materials Proceedings, 25(1), 19. https://doi.org/10.3390/materproc2025025019
