Abstract
Generative artificial intelligence (AI), including ChatGPT4o, is increasingly used across various sectors such as education. In this article, we introduce a new educational model, RoBuCACO, which combines the Butterfly Model for creative problem-solving in a ChatGPT-based framework. ChatGPT is trained on the Butterfly Model using Korean patent data to generate patent metadata. Users follow a structured learning process that includes the definition of roles for ChatGPT (Ro), learning the Butterfly Model (Bu), defining problems and contradictions (C), developing both abstract (A) and concrete solutions (C), and refining optimal (O) solutions. Korean patent metadata are used to obtain concrete solutions and collaborate with ChatGPT to iteratively refine optimal solutions.
1. Introduction
The history of science and technology is full of examples where contradictions were resolved to bring about innovation. For instance, James Watt solved the problem of needing a cylinder to be both hot and cold, Siemens addressed heating and cooling in the continuous process of flat glass production, Florey and Chain solved Fleming’s problem of failing to extract penicillin by heating, Auguste Piccard was the first to ascend to the stratosphere in a closed gondola, Henry Bessemer developed a furnace that allowed input of iron ore while blocking external air, all resolving contradictory problems [1,2,3,4].
In art, literature, and logic, contradiction is also used as an important theme and methodology [5]. In the creative research of the natural and social sciences, the method of proof by contradiction is used to verify which theories are correct [6]. The paintings of René Magritte and the works of Gottfried Helnwein express contradictions between conflicting images and imaginations [7]. In literature, contradictions are used to reveal the conflicts and inner turmoil of characters, as presented in Shakespeare’s Hamlet and Victor Hugo’s Les Misérables, creating tension in pivotal moments when the protagonist faces a difficult problem. In the academic world, Georg Cantor, who proved the set size of the real numbers; Kurt Gödel with his incompleteness theorems; and Alan Turing, who developed the halting problem, all used proof by contradiction to validate their theories [8].
Despite the importance of contradictory problems, Western scholarship, which values rationality, has traditionally viewed contradictions as incorrect or impossible [9]. However, Genrich Altshuller and his colleagues in Russia, who were familiar with dialectics, readily accepted contradictions [10]. They realized that innovation occurs when contradictions are resolved, after analyzing creative patent specifications. They established TRIZ, an acronym for the Russian phrase meaning “theory of inventive problem solving”, which looks at innovative problem-solving from the perspective of resolving contradictions. Owing to its unique perspective, TRIZ has developed its theories inductively, not deductively [11,12].
On the other hand, ChatGPT possesses exceptional abilities in translation and summarization [13]. It is particularly effective in translating and summarizing patent documents written in English, Chinese, Japanese, and Korean. In addition, it provides expert-level analysis similar to that of a professional patent attorney for basic technical questions and questions related to technology classification. Patent data are a treasure of human intellect and a form of big data, encapsulating the innovative journey of problem-solving that connects the past, present, and future. Previously, patent data were analyzed manually by professional patent attorneys, but with the advent of ChatGPT, it is possible to process and analyze patent big data [14]. Moreover, the analysis of patent big data using ChatGPT can derive concrete problem-solving solutions through human–computer interaction.
This study aimed to develop an educational model, RoBuCACO, that facilitates creative problem-solving by teaching students and ChatGPT the Butterfly Model for resolving contradictions. In the proposed model, we define a procedure where ChatGPT serves as a co-pilot to assist students in solving their problems. Introducing abstract logic symbols in the problem-solving process can succinctly represent the essence of the problem, allowing for easy resolution while avoiding trial and error. Defining symbols also prevents variations in interpretation among people, overcoming the ambiguity of everyday language. We define the components of contradiction problems and identify types of such problems based on the Butterfly Model utilizing propositional logic and symbolic logic to represent problems and derive generalized solution strategies. This enables students to specifically determine the appropriate solution strategies for the types of contradiction problems they need to address. By establishing the correct problem-solving strategies, it is possible to reduce the solution space and minimize trial and error in problem-solving [15]. The Butterfly Model offers a tool–object analysis that distinguishes types of contradiction problems and explores resources for problem-solving. By applying the results of a tool–object analysis along with the principles of resource utilization at the problem site, the scope of the problem space is reduced, enabling more efficient problem-solving [16,17,18].
In this research, the following research procedure was adopted: We trained ChatGPT on the contradiction-solving Butterfly Model and used South Korea’s KIPRIS PLUS system to gather patent data related to a specific research topic. Additionally, we provided an educational model that defines the content students need to learn and the procedures for interacting with ChatGPT. Finally, we validated the procedure and described the significance of the educational model.
2. Butterfly Model for Contradiction Resolution
2.1. Butterfly Model
The contradiction-solving Butterfly Model, originally developed by the authors in [15,16], provides a structured approach designed to identify and resolve contradictions encountered in problem-solving. This model was built upon fundamental principles observed in various contradiction-resolution frameworks, which analyze core elements of a system: the “desirable function (d)”, the “system state (s)”, and the “harmful function (h)”. The desirable function (d) represents the primary objective or function of a system, such as improving energy efficiency or enhancing durability. The system state (s) refers to the current system conditions affecting performance, including physical parameters like temperature, pressure, and velocity. The harmful function (h) describes unintended side effects or negative consequences that may arise from changes in the system state [19,20,21].
The contradiction-solving Butterfly Model consists of a Butterfly Diagram for defining contradictions, a contradiction-problem-type matrix based on the Butterfly Diagram, and a Butterfly Algorithm derived from the matrix [17,18]. The Butterfly Diagram categorizes different problem types and suggests potential resolution strategies. The contradiction-problem-type matrix is shown in Table 1. The Butterfly Algorithm is structured as a tree and provides abstract solution strategies for given problems.
Table 1.
Contradiction-problem-type matrix.
2.2. Butterfly Diagram
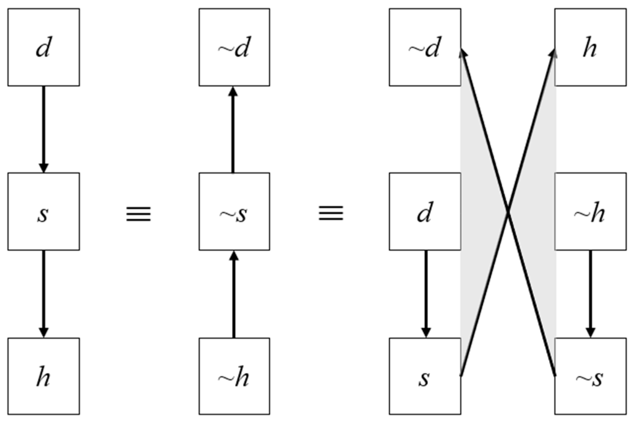
The Butterfly Diagram visually represents the relationships between the three elements (d, s, and h) and serves as a tool for contradiction analysis. This diagram illustrates how desired functions interact with system states and how these interactions can lead to undesired effects. This diagram likens the elements d, s, and h to the wings and body of a butterfly. The left wing shows the desirable function (d) and the changes in the system state (s) it causes, while the right wing displays the harmful functions (h) that may arise from the system state. The body of the butterfly illustrates how these elements interact, and strategies to adjust these interactions are sought to resolve the problem when necessary. According to the contraposition law in logic, (d → s) ≡ (~s → ~d), (s → h) ≡ (~h → ~s), and (d → h) ≡ (~h → ~d). This process is illustrated in Figure 1.
Figure 1.
Butterfly Diagram.
Once a contradiction type is classified using the Butterfly Diagram, the problem-solving objective and abstract strategy can be determined, as summarized in Table 2. Then, the accuracy of the Butterfly Model is verified through empirical validation [15,16].
Table 2.
Abstract problem-solving strategies.
2.3. Butterfly Algorithm
The Butterfly Algorithm, based on the abstract problem-solving strategies derived from the Butterfly Diagram, applies the TRIZ separation principle and the tool–object analysis principle to propose the following specific problem-solving strategies (see also the following Algorithm 1) [19,22]. If the Butterfly algorithm is trained on ChatGPT, it is necessary because it helps generative AIs, like ChatGPT, achieve the objectives of this research more accurately.
| Algorithm 1. Butterfly Algorithm |
| If (a conflict occurs at the same time) then if (the number of components causing the problem is single) then if (the component can be partially removed) then DO prior extraction of the component else DO alternative selection else if (the components serve a single purpose) then DO division and combination of components decomposing a single system else if (there is homogeneity among the components) then DO division and combination of components for the whole/part else DO division and combination of components forming multiple systems else if (the number of components causing the problem is single) then if (the component can be partially removed) then DO posterior extraction of the component else DO time division and combination else if (the components serve a single purpose) then DO division and combination of components decomposing a single system else if (there is homogeneity among the components) then DO division and combination of components for the whole/part else DO division and combination of components forming multiple systems |
3. Educational Model: RoBuCACO
The educational model proposed in this study consists of the following steps: First, students define the role of ChatGPT in solving problems. Second, ChatGPT summarizes patent data to distinguish causes and effects, from which it identifies objectives and means while defining the structure of the metadata. Furthermore, it constructs a matrix of specific tools and targets derived from the defined objectives and means. Third, both students and ChatGPT are trained to understand the contradiction-solving Butterfly Model theory. Based on this, students define problems, and with the help of ChatGPT, they define contradictions. Fourth, based on the defined contradictions, students are encouraged to propose their problem-solving strategies. Fifth, the problem-solving strategies are presented to ChatGPT, which then uses the Butterfly Model for contradiction resolution, patent metadata, and the tool–object matrix to devise creative problem-solving alternatives. Sixth, students review the alternatives prepared by ChatGPT and generate improved problem-solving solutions based on the learned methods. Through iterative refinement, they present the best problem-solving solutions.
3.1. Role Definition (Ro)
To propose an educational model based on ChatGPT, students define the roles that ChatGPT must perform, such as patent specification translation and summarization, contradiction problem definition, and the suggestion of creative problem-solving strategies.
- ChatGPT is used to understand the context of the text and extract important information.
- ChatGPT defines the desirable function, the state resulting from the function, and the problems that the state causes in order to define contradictions.
- ChatGPT suggests various problem-solving strategies.
3.2. Learning About the Butterfly Model (Bu)
Students learn about the Butterfly Model to understand the given problem situation and creatively devise solutions from the perspective of contradiction resolution. In this process, they study types of contradictions, create Butterfly Diagrams, learn the separation principles, and study the 40 inventive principles [23].
3.3. Problem and Contradiction Definition (C)
In this research, to develop problem-solving strategies for creative problem-solving based on the contradiction-solving Butterfly Model, ChatGPT is trained on the theory of the Butterfly Model for contradiction resolution. When students who are not yet familiar with defining contradictions present a contradiction problem, ChatGPT assists in defining the contradiction. Additionally, it helps students create a Butterfly Diagram based on this definition. The students then develop problem-solving strategies based on the Butterfly Diagram [24].
3.4. Abstract Solution Strategy Definition (A)
Based on the contradictions and Butterfly Diagram defined by ChatGPT, the students use the Butterfly Model to identify abstract solution strategies on their own. By having the students understand the given problem from the perspective of contradictions on their own, they can gain a direction for problem-solving, which reduces trial and error [19].
3.5. Concrete Solution Strategy Finding (C)
Based on the learned patent data and the contradiction-solving Butterfly Model, ChatGPT assists students in developing problem-solving strategies and proposes creative solutions. This allows the students to evaluate their solutions independently and continuously improve new solutions. In this stage, students present the problem-solving directions they have identified, and ChatGPT, based on these directions, proposes specific solutions using the patent metadata it possesses.
3.6. Refinement for Finding the Optimal Solution (O)
Once ChatGPT proposes specific solutions, students review the alternatives and enhance the solutions through possible collaboration. This process is performed iteratively, allowing for interactions with ChatGPT to develop solutions from a creative perspective.
4. Generation and Creative Problem-Solving with RoBuCACO
KIPRIS Plus is a website that provides patent information utilization services in South Korea. It allows users to directly download data or use APIs to access all patent information made available by the patent office in real time (Figure 2). In this research, we used KIPRIS Plus to collect patent data and construct metadata. We used patents from KIPRIS Plus with an open API key for free, allowing up to 1000 inquiries per year.
Figure 2.
KIRPIS PLUS.
Next, to find problem-solving strategies for specific situations, patent data were summarized and analyzed using ChatGPT, and patent metadata were constructed. The process involved providing patent documents to ChatGPT to complete the analysis of cause and effect, objectives and means, as well as tools and targets. Metadata were then constructed with attributes for cause, effect, objective, means, tool, target, and keywords. After training ChatGPT on the Butterfly Model, a search for patents related to “electric scooter safety” was conducted. The analysis results of the patent documents showed contradictions appropriately, and the problem’s cause, effect, objective, methods, and targets were identified (Figure 3).

Figure 3.
Results generated from ChatGPT. (a) Patent upload. (b) Partial metadata for Korean patents.
The five alternatives were extracted from one of the uploaded patents as follows:
- Safety System: The patent discusses a safety system specifically designed for electric scooters.
- Detection System: Various detection systems, such as helmet-wearing and alcohol-level detection, are mentioned.
- Helmet Detection: A system for detecting whether a helmet is being worn by the rider.
- Alcohol Detection: The document details a system for detecting the alcohol level of the rider.
- Electric Scooter: The document focuses on technologies related to electric scooters, particularly their operation and safety features.
With the metadata constructed using ChatGPT, we defined contradictions to develop abstract solution strategies for new problems. A problem was solved to determine a support structure for young trees. While young trees need strong supports to prevent them from falling over during typhoons, such supports can hinder their growth. Therefore, we needed to create a support that would not inhibit growth while still preventing trees from falling over during strong winds. Since the learning of roles and the Butterfly Model was complete, the problem-solving process was initiated by defining the contradiction [17,18]. ChatGPT defined a contradiction as shown in Figure 4.
Figure 4.
Contradictions defined by ChatGPT.
From the given W, S, and U, we drew a Butterfly Diagram for the problem [20]. Also, conflict identification and component analysis were defined as shown in Figure 5:
Figure 5.
Conflict identification and component analysis.
From the analysis, the abstract solution strategy for the problem was suggested as shown in Figure 6:
Figure 6.
Abstract solution strategy.
Partially, ChatGPT described the method to implement the prior extraction of the component. Finally, a concrete solution was given for the problem. As a result, the following solutions were provided by ChatGPT.
- Adjustable Rings: Utilize adjustable support rings that can be expanded as the tree grows in girth. These rings should be attached to vertical stakes that can also be adjusted for height.
- Flexible Material: Construct the support rings and vertical stakes using a flexible material such as high-density polyethylene (HDPE) which has enough strength to withstand strong winds but enough flexibility to move slightly with the tree. This flexibility minimizes the risk of damaging the bark or restricting growth.
- Modular Setup: Design the support structure in segments or modules that can be easily added or removed. As the tree grows taller and thicker, additional modules can be attached to accommodate this growth without needing to replace the entire system.
The Butterfly Model was applied to solve a problem and invent a “one-way moving cable tie”, for which we won a gold medal at an invention competition in Korea. The one-way moving cable tie acts as a strong support while allowing expansion only in the direction of the tree’s growth. It does not stretch in the opposite direction. Considering the method, while ChatGPT may not have provided a specific method, it suggested the direction of problem-solving, potentially reducing the trial-and-error process that people might experience [6].
5. Conclusions
In this paper, we proposed RoBuCACO, an educational model for creative problem-solving based on ChatGPT. This model is built upon the Butterfly Model, which defines problems from the perspective of contradictions and provides directions for problem-solving while minimizing trial and error [15,16,17,18,19]. Although various creative problem-solving methods exist, the Butterfly Model serves as the foundation of the proposed educational model, as it uniquely guides users toward concrete solutions, distinguishing it from other approaches. Throughout this process, the model identifies similar patents related to the problem, constructs metadata for problem-solving, and utilizes ChatGPT to generate specific solutions. The problem-solver interacts iteratively with ChatGPT until the optimal solution is found [22,23]. This paper analyzed how ChatGPT contributes to the creative problem-solving process and confirmed its positive aspects. Since this research was conducted with students, it is essential to verify the educational effectiveness of the model after training [24]. The significance of this research lies in demonstrating the potential of generative AI, such as ChatGPT, to assist humans in creative problem-solving.
Author Contributions
Conceptualization, J.-S.H.; methodology and software, C.-J.P.; validation, J.-S.H.; writing-original draft preparation, C.-J.P.; writing-review and editing, J.-S.H. and C.-J.P. All authors have read and agreed to the published version of the manuscript.
Funding
This research received no external funding.
Institutional Review Board Statement
Not applicable.
Informed Consent Statement
Not applicable.
Data Availability Statement
The data used in the paper was dynamically and automatically generated by keyword search on the KIPRIS site. All users can access it through search on the website, https://plus.kipris.or.kr/eng/main.do, and the patent full-text can be downloaded as PDF and used as data.
Conflicts of Interest
The authors declare no conflict of interest.
References
- Ikenson, B. Patents: Ingenious Inventions How They Work and How They Came to Be; Running Press: Philadelphia, PA, USA, 2012. [Google Scholar]
- Watkins, P. From Hell Island to Hay Fever; Brown Dog Books: Bristol, UK, 2018. [Google Scholar]
- Piccard, A. Earth, Sky, and Sea; Oxford University Press: Oxford, UK, 1956. [Google Scholar]
- Bessemer, H. Sir Henry Bessemer F R S: An Autobiography; Offices of Engineering: Tokyo, Japan, 1905. [Google Scholar]
- Pelkey, J. Greimas embodied: How kinesthetic opposition grounds the semiotic square. Semiotica 2017, 214, 277–305. [Google Scholar]
- Polya, G. How to Solve It: A New Aspect of Mathematical Method; Princeton University Press: Princeton, NJ, USA, 1971. [Google Scholar]
- Helnwein, G. Gespräch Mit Gottfried Helnwein Anlässlich der Eröffnung Seines Virtual Museums of Art in “Second Life”. Available online: https://www.helnwein-museum.com/ (accessed on 5 February 2024).
- Rucker, R. Mind Tools: The Five Levels of Mathematical Reality; Dover Publications, Incorporated: Mineola, NY, USA, 2013. [Google Scholar]
- Peng, K.; Nisbett, R.E. Culture, dialectics, and reasoning about contradiction. Am. Psychol. 1999, 54, 741–754. [Google Scholar] [CrossRef]
- Altshuller, G. Creativity as an Exact Science: The Theory of the Solution of Inventive Problems; CRC Press: Boca Raton, FL, USA, 1984. [Google Scholar]
- Fey, V.; Rivin, E. Innovation on Demand: New Product Development Using TRIZ; Cambridge University Press: Cambridge, UK, 2005. [Google Scholar]
- Zlotin, B.; Zusman, A.; Altshuller, G.; Philatov, V. Tools of Classical TRIZ; Ideation International Inc.: Southfield, MI, USA, 1999. [Google Scholar]
- Zia-Ul-Haq, M.; Mujtaba, G. ChatGPT and patent eegime: Key legal concerns. Trends Intellect. Prop. Res. 2023, 1, 18–26. [Google Scholar]
- Borger, J.G.; Ng, A.P.; Anderton, H.; Ashdown, G.W.; Auld, M.; Blewitt, M.E.; Brown, D.V.; Call, M.J.; Freytag, S.; Harrison, L.C.; et al. Artificial intelligence takes center stage: Exploring the capabilities and implications of ChatGPT and other AI-assisted technologies in scientific research and education. Immunol. Cell Biol. 2023, 101, 923–935. [Google Scholar] [CrossRef] [PubMed]
- Hyun, J.S.; Park, C.J. Logical interpretation about problem types and solution strategies of the butterfly model for the automation of contradiction-based problem solving. In Proceedings of the 2014 IEEE International Conference on Teaching, Assessment and Learning for Engineering (TALE), Wellington, New Zealand, 8–10 December 2014; pp. 236–241. [Google Scholar]
- Hyun, J.S.; Park, C.J. The butterfly algorithm: A contradiction solving algorithm based on propositional logic for TRIZ. Int. J. Softw. Eng. Its Appl. 2016, 10, 27–34. [Google Scholar]
- Rajić, D. Mathematical-physical model of solving inventive problems. FME Trans. 2021, 49, 726–733. [Google Scholar] [CrossRef]
- Rajić, D. Innovative synergism as a result of TRIZ and LT-system synthesis. In Innovation as an Initiator of the Development “Innovations—Development Prospects”; Faculty of Applied Management, Economy and Finance: Belgrade, Serbia, 2019; pp. 226–242. [Google Scholar]
- Govindarajan, U.H.; Sheu, D.D.; Mann, D. Review of systematic software innovation using TRIZ. Int. J. Syst. Innov. 2019, 5, 72–90. [Google Scholar]
- Jani, H.M. Teaching TRIZ problem-solving methodology in higher education: A review. Int. J. Sci. Res. 2013, 2, 98–103. [Google Scholar]
- Wang, F.; Peng, Q.; Tan, R.; Wang, K.; Zhang, S.; Sun, J. An attribute-based method for identifying implicit contradictions in product development. Comput.-Aided Des. Appl. 2022, 20, 439–455. [Google Scholar]
- Hyun, J.S.; Park, C.J. The Butterfly algorithm eliminating the brute-force mechanism in ARIZ for contradiction problem solving. In Proceedings of the 2015 8th International Conference on Security Technology (SecTech), Jeju, Republic of Korea, 25–28 November 2015; pp. 25–27. [Google Scholar]
- Hyun, J.S.; Park, C.J. Innovative contradiction solving dimensions and algorithms. J. Adv. Inf. Technol. Converg. 2017, 7, 1–10. [Google Scholar]
- Hyun, J.S.; Park, C.J. Effects of the Butterfly diagram education in primary and secondary schools on contradiction problem solving ability. In Proceedings of the 2015 IEEE Frontiers in Education Conference (FIE), El Paso, TX, USA, 21–24 October 2015; pp. 1–8. [Google Scholar]
Disclaimer/Publisher’s Note: The statements, opinions and data contained in all publications are solely those of the individual author(s) and contributor(s) and not of MDPI and/or the editor(s). MDPI and/or the editor(s) disclaim responsibility for any injury to people or property resulting from any ideas, methods, instructions or products referred to in the content. |
© 2025 by the authors. Licensee MDPI, Basel, Switzerland. This article is an open access article distributed under the terms and conditions of the Creative Commons Attribution (CC BY) license (https://creativecommons.org/licenses/by/4.0/).






