Comparative Analysis of LiDAR Inertial Odometry Algorithms in Blueberry Crops †
Abstract
1. Introduction
2. Materials and Methods
2.1. Blueberry Crop Dataset and Experimental Setup
2.2. Parameters of the LiDAR Odometry and LiDAR Inertial Odometry Algorithms
2.2.1. LeGO-LOAM
2.2.2. DLO
2.2.3. DLIO
2.2.4. FAST-LIO2
2.2.5. Point-LIO
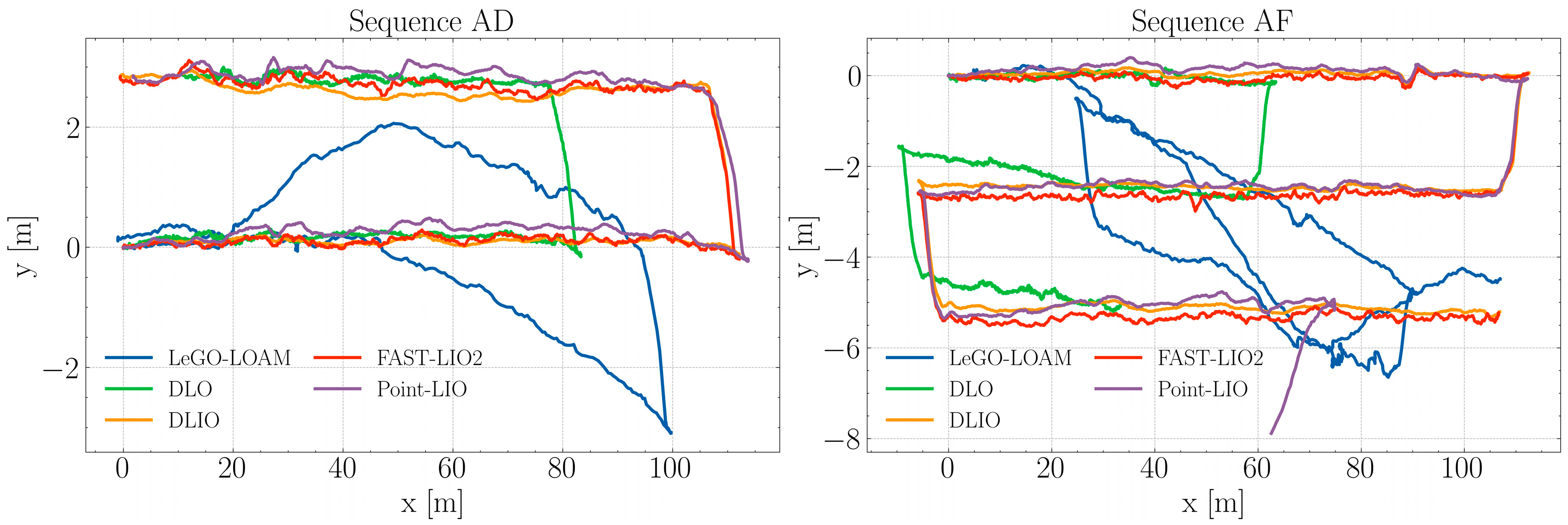
3. Results
4. Discussion
5. Conclusions
Author Contributions
Funding
Institutional Review Board Statement
Informed Consent Statement
Data Availability Statement
Conflicts of Interest
References
- Ding, H.; Zhang, B.; Zhou, J.; Yan, Y.; Tian, G.; Gu, B. Recent Developments and Applications of Simultaneous Localization and Mapping in Agriculture. J. Field Robot. 2022, 39, 956–983. [Google Scholar] [CrossRef]
- Liu, T.; Kang, H.; Chen, C. ORB-Livox: A Real-Time Dynamic System for Fruit Detection and Localization. Comput. Electron. Agric. 2023, 209, 107834. [Google Scholar] [CrossRef]
- Ohi, N.; Lassak, K.; Watson, R.; Strader, J.; Du, Y.; Yang, C.; Hedrick, G.; Nguyen, J.; Harper, S.; Reynolds, D.; et al. Design of an Autonomous Precision Pollination Robot. In Proceedings of the 2018 IEEE/RSJ International Conference on Intelligent Robots and Systems (IROS), Madrid, Spain, 1–5 October 2018; pp. 7711–7718. [Google Scholar] [CrossRef]
- Karpyshev, P.; Ilin, V.; Kalinov, I.; Petrovsky, A.; Tsetserukou, D. Autonomous Mobile Robot for Apple Plant Disease Detection Based on CNN and Multi-Spectral Vision System. In Proceedings of the 2021 IEEE/SICE International Symposium on System Integration (SII), Iwaki, Japan, 11–14 January 2021; pp. 157–162. [Google Scholar] [CrossRef]
- Shan, T.; Englot, B. LeGO-LOAM: Lightweight and Ground-Optimized Lidar Odometry and Mapping on Variable Terrain. In Proceedings of the 2018 IEEE/RSJ International Conference on Intelligent Robots and Systems (IROS), Madrid, Spain, 1–5 October 2018; pp. 4758–4765. [Google Scholar] [CrossRef]
- Chen, K.; Lopez, B.T.; Agha-mohammadi, A.a.; Mehta, A. Direct LiDAR Odometry: Fast Localization with Dense Point Clouds. arXiv 2022, arXiv:2110.00605. [Google Scholar] [CrossRef]
- Chen, K.; Nemiroff, R.; Lopez, B.T. Direct LiDAR-Inertial Odometry: Lightweight LIO with Continuous-Time Motion Correction. arXiv 2023, arXiv:2203.03749. [Google Scholar]
- Xu, W.; Cai, Y.; He, D.; Lin, J.; Zhang, F. FAST-LIO2: Fast Direct LiDAR-inertial Odometry. arXiv 2021, arXiv:2107.06829. [Google Scholar]
- He, D.; Xu, W.; Chen, N.; Kong, F.; Yuan, C.; Zhang, F. Point-LIO: Robust High-Bandwidth Light Detection and Ranging Inertial Odometry. Adv. Intell. Syst. 2023, 5, 2200459. [Google Scholar] [CrossRef]
- Zhao, S.; Zhang, H.; Wang, P.; Nogueira, L.; Scherer, S. Super odometry: Imu-centric lidar-visual-inertial estimator for challenging environments. In Proceedings of the 2021 IEEE/RSJ International Conference on Intelligent Robots and Systems (IROS), Prague, Czech Republic, 27 September–1 October 2021; IEEE: New York, NY, USA, 2021; pp. 8729–8736. [Google Scholar]
- Nubert, J.; Khattak, S.; Hutter, M. Graph-based Multi-sensor Fusion for Consistent Localization of Autonomous Construction Robots. In Proceedings of the IEEE International Conference on Robotics and Automation (ICRA), Philadelphia, PA, USA, 23–27 May 2022; IEEE: New York, NY, USA, 2022. [Google Scholar]





| Sequence | Description | Duration [s] | Avg. Speed [m/s] |
|---|---|---|---|
| Sequence AB | 110 m linear path | 119 | 0.95 |
| Sequence AC | 230 m linear path | 258 | 0.90 |
| Sequence AD | 230 m U-shaped path | 203 | 1.15 |
| Sequence AF | 347 m S-shaped path | 360 | 0.97 |
| Algorithm | Type | Translational Error [m] | |||
|---|---|---|---|---|---|
| Sequence AB | Sequence AC | Sequence AD | Sequence AF | ||
| LeGO-LOAM [5] | LO | 39.317 | 48.959 | 2.655 * | 3.141 * |
| DLO [6] | LO | 3.882 | 42.424 | 10.888 | 76.712 |
| DLIO [7] | LIO | 0.142 | 0.126 | 0.548 | 3.129 |
| FAST-LIO2 [8] | LIO | 0.908 | 0.874 | 0.606 | 3.393 |
| Point-LIO [9] | LIO | 1.160 | 2.339 | 1.825 | 47.514 |
Disclaimer/Publisher’s Note: The statements, opinions and data contained in all publications are solely those of the individual author(s) and contributor(s) and not of MDPI and/or the editor(s). MDPI and/or the editor(s) disclaim responsibility for any injury to people or property resulting from any ideas, methods, instructions or products referred to in the content. |
© 2025 by the authors. Licensee MDPI, Basel, Switzerland. This article is an open access article distributed under the terms and conditions of the Creative Commons Attribution (CC BY) license (https://creativecommons.org/licenses/by/4.0/).
Share and Cite
Huaman, R.; Gonzalez, C.; Prado, S. Comparative Analysis of LiDAR Inertial Odometry Algorithms in Blueberry Crops. Eng. Proc. 2025, 83, 9. https://doi.org/10.3390/engproc2025083009
Huaman R, Gonzalez C, Prado S. Comparative Analysis of LiDAR Inertial Odometry Algorithms in Blueberry Crops. Engineering Proceedings. 2025; 83(1):9. https://doi.org/10.3390/engproc2025083009
Chicago/Turabian StyleHuaman, Ricardo, Clayder Gonzalez, and Sixto Prado. 2025. "Comparative Analysis of LiDAR Inertial Odometry Algorithms in Blueberry Crops" Engineering Proceedings 83, no. 1: 9. https://doi.org/10.3390/engproc2025083009
APA StyleHuaman, R., Gonzalez, C., & Prado, S. (2025). Comparative Analysis of LiDAR Inertial Odometry Algorithms in Blueberry Crops. Engineering Proceedings, 83(1), 9. https://doi.org/10.3390/engproc2025083009

