Next Article in Journal
Recent Advances in Lithium Extraction
Previous Article in Journal
Adaptive Sliding Mode Control of DC–DC Buck Converter with Load Fluctuations for Renewable Energy Systems
 
 
Font Type:
Arial Georgia Verdana
Font Size:
Aa Aa Aa
Line Spacing:
Column Width:
Background:
Proceeding Paper

The Optimal Condition-Based Maintenance Strategies for a Self-Repairable Component under Fixed-Interval Detection †

College of Mechanical and Electrical Engineering, Wenzhou University, Wenzhou 325035, China
*
Author to whom correspondence should be addressed.
Presented at the 4th International Conference on Advances in Mechanical Engineering (ICAME-24), Islamabad, Pakistan, 8 August 2024.
Eng. Proc. 2024, 75(1), 17; https://doi.org/10.3390/engproc2024075017
Published: 24 September 2024

Abstract

This paper investigates the optimal maintenance strategies for a self-repairable component under detection at fixed time intervals. The failure process of a component is considered as two parallel and competing degradation processes: an internal degradation process and an external shock degradation process. Unscheduled maintenance from unofficial sources after each shock to a component is regarded as a self-repairable behavior of the component, and its effectiveness is well evaluated. The official maintenances are preventive maintenance (PM) and corrective maintenance (CM), and two thresholds are set based on reliability values to represent the minimum points for performing PM and CM, respectively. The approximately optimal PM and CM thresholds are found by minimizing the overall maintenance cost rate of a component over a specified operating time. Finally, we demonstrate the feasibility of the model through a numerical case study, give a summary, and suggest possible future research directions.

1. Introduction

Maintenance is an essential part of the life cycle of any component, machine, or system, and therefore the search for maintenance strategies has always been a hot and difficult issue in condition-based maintenance (CBM). The failure of a system and the maintenance process are subject to multiple uncertainties: uncertainty in the time to failure, uncertainty in the effectiveness of maintenance, and uncertainty in the time required for maintenance. Proper consideration and effective measurement of these uncertainties can make the maintenance strategy more accurate and effective.
In some factories where precision manufacturing is available, the equipment is usually expensive, and the seller of the equipment usually does not tell the buyer all the features of the system, such as how to properly maintain it to deal with various problems, because the seller needs to earn a profit through the maintenance service fee at a later stage. However, the seller will tell the buyer some methods of dealing with minor problems to prevent the buyer from becoming dissatisfied with minor problems with the machine, which not only preserves the seller’s opportunity to earn profits through maintenance services but also satisfies the buyer. But as the buyer’s maintenance is unofficial, its quality cannot be guaranteed. It is therefore necessary to consider this uncertainty while developing a maintenance strategy.
Decisions of maintenance are always subject to various kinds of uncertainties. For existing research on competing failure or degradation processes, Shi [1] et al. investigated a system which has two competing and different failure processes: a natural degradation process and an external failure process. Of these, the former is a phenomenal uncertainty process and the latter is an uncertainty reward process. The reliability and mean time to failure of the system were assessed through uncertainty theory. Wang [2] et al. classified the failure process into degradation process and shock process. The reliability of components under these two processes was assessed, and a reliability assessment method for components under the degradation process having fuzzy data was also proposed. For the uncertainty in component failure times, Jin [3] et al. studied large-scale repairable systems with uncertain maintenance times and proposed an approximate solution algorithm based on Markov decision processes, approximate dynamic programming, and simulation techniques to solve the technician assignment problem and minimize the total maintenance time. Kuniewski [4] et al. proposed an adaptive Bayesian-based detection model for predicting the probability distribution of the failure time in response to the random nature of the time and location of component deterioration with a transient Poisson failure process. For maintenance decisions for self-reparable components, Meng [5] et al. proposed and explained the system’s self-repair ability while efficiently measuring both the random time for maintenance and the random effects of maintenance, taking the case of the commonly used 2M1B (2 machines and 1 buffer) system to find the optimal maintenance strategy for this system. For the uncertainty about the effectiveness of maintenance, Wu [6] et al. investigated the economic dependence of preventive and opportunistic maintenance for the different effects of multiple maintenance actions, developed a more flexible dynamic maintenance grouping algorithm based on the rolling horizon approach, and applied it to condition-based maintenance tasks.
The studies mentioned above provide a great statement and in-depth exploration of one aspect of uncertainty in the component maintenance decision-making process. However, very few studies have combined them to study the maintenance decisions of components under multiple uncertainty constraints. The aim of this paper is to explore optimal maintenance strategies for components under multiple different uncertainty constraints.

2. Description of a Component

A component has two parallel failure modes: the internal degradation failure process (determined by the service lifetime of the component) and the external shock failure process (determined by the running environment of the component). The conditions for both types of failure are similar. Internal degradation failure occurs when the amount of internal degradation X i n (initially 0) exceeds the internal failure threshold T i n (initially T i n 1 ); similarly, external shock failure occurs when the amount of external degradation X o u t (i.e., the magnitude of the random shocks to which the component is subjected at a time) exceeds the external failure threshold T o u t (initially T o u t 1 ). These two failure modes compete with each other; the first failure mode to occur determines the failure mode of the component. In most cases, the internal degradation and random shocks of a component each obey a different random distribution, and the internal and external degradation thresholds usually have different initial values. Each random shock to a component causes not only a change in the amount of external degradation but also a sudden Δ X 1 increase in the amount of internal degradation, a sudden Δ T 1 decrease in the internal failure threshold, and a sudden Δ T 2 decrease in the external failure threshold. At the same time, when subjected to an external shock, a component’s self-reparation mechanism is triggered to maintain itself in the period before it is subjected to the next shock, and the self-reparation is in the form of a change in the change-rate of the threshold of the external failure. Notably, the effect of each self-reparation is different because this form of repair is unofficial and unprofessional and may increase the external failure threshold (component gets better, positive maintenance) or decrease the external failure threshold (component gets worse, negative maintenance) because the self-reparation process obeys a truncated normal distribution of changes in thresholds over a fixed interval [ a , b ] , ( a < 0 , b > 0 ) . Figure 1 represents the two failure modes.
Figure 1a shows that a component fails due to internal causes at the moment t 10 because the amount of internal degradation exceeds the internal failure threshold. Similarly, Figure 1b shows a component fails due to external causes at t 10 because the external degradation amount (the magnitude of the external shock) exceeds the threshold for external failure. This is only a schematic figure; however, in real production, the two kinds of failure do not always occur at the same time.

3. Evaluation of Reliability

Evaluation of reliability is an important step in organizing maintenance strategies for a component and is the basis for CBM, which aims to know how reliable the component is at any point in time t while it is in operation.
For the external shock process, it is assumed that the arrival times of the random shocks to the component obey a Poisson distribution with parameter λ , and the amount of shocks is a random number in the interval [ c , d ] , whose probability density function is specified to be f o u t . N ( t ) denotes the number of accumulated shocks experienced by a component before time t . When N ( t ) = i , the time of each shock is t i , then t [ t i , t i + 1 ) , and the external failure threshold T o u t ( t ) at the particular time point t can be represented as follows:
T o u t ( t ) = φ i + ρ ( t t i )
where φ i is the external failure threshold after experiencing a transient decrease Δ T 2 after the i th shock. It can be clarified that φ 1 = lim t t 1 + T o u t ( t ) = T o u t 1 Δ T 2 . ρ is the slope, which, as previously mentioned, due to the self-repair ability of the component, varies, obeying a fixed interval [ a , b ] phase normal distribution, whose probability density function can be denoted as
f ( ρ , μ ρ , σ ρ , a , b ) = 1 σ ρ ϕ ( ρ μ ρ σ ρ ) ϕ ( b μ ρ σ ρ ) ϕ ( a μ ρ σ ρ )
The physical meaning of reliability is the probability that a component will not fail at the current moment. Whether it is an internal degradation process or an external shock process, reliability can be expressed as the probability that the amount of degradation does not exceed a threshold value at the current moment. When the number of shocks to which a component is subjected is fixed at a certain moment, the reliability of the component under the current number of shocks can be calculated, and the specific solution is to calculate the amount of all previous shocks to which the component has been subjected that do not exceed the threshold value at the corresponding moment. Because the number of shocks to which a component is subjected at the current moment obeys a certain distribution, it is not a fixed value, so it is necessary to multiply the possibility of all the numbers of shocks (from 0 to ) that may occur at the current moment and the amount of the reliability of the corresponding shock and then add up to get the total reliability of the component. Therefore, the reliability of a component at the moment t for external shock processes can be represented as
R o u t = P { X o u t ( t ) < T o u t ( t ) } = i = 0 P { j = 1 i [ X o u t ( t ) < T o u t ( t ) | N ( t ) = i ] } P { N ( t ) = i } = i = 0 P { j = 1 i [ X o u t ( t ) < φ i + ρ ( t t i ) | N ( t ) = i ] } P { N ( t ) = i } = i = 0 { j = 1 i [ a X o u t ( t ) f o u t < φ i + c ρ f ( ρ , μ ρ , σ ρ , a , b ) × ( t t i ) ] × λ i ! exp ( λ ) }
For the internal degradation process, D ( t ) is defined as the amount of degradation (degradation unaffected by random shocks) of a component due to its own degradation process at the moment t . Then the internal degradation amount of a component at the moment t may be represented as
X i n ( t ) = D ( t ) + i Δ X 1
Also, the internal degradation threshold of a component at the moment t may be represented as
T i n ( t ) = T i n 1 i Δ T 1
Therefore, the reliability of a component at the moment t for the internal degradation process can be represented as
R i n ( t ) = P { X i n ( t ) < T i n ( t ) } = i = 0 P { X i n ( t ) < T i n ( t ) | N ( t ) = i } P { N ( t ) = i } = i = 0 P { D ( t ) + i Δ X 1 < T i n 1 i Δ T 1 } P { N ( t ) = i } = i = 0 P { D ( t ) + i Δ X 1 < T i n 1 i Δ T 1 } × λ i ! exp ( λ )
Eventually, the reliability of a component at the moment t under the influence of both internal degradation processes and external shock processes can be calculated as
R ( t ) = R i n ( t ) R o u t ( t )

4. Maintenance Strategy and Effectiveness

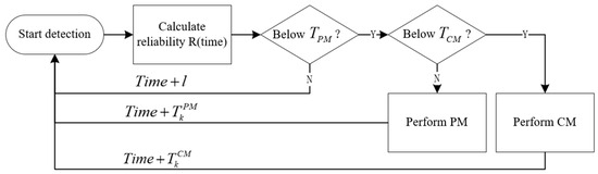
CBM refers to different forms of maintenance depending on the reliability level of the component. Specifically, when the reliability of a component falls below a certain threshold set in advance, some kind of maintenance is required. Unlike the uncertainty of self-repair mechanisms, such maintenance will result in a better component state. There are two official types of maintenance being considered: preventive maintenance (PM) and corrective maintenance (CM). Both types of maintenance are imperfect, so they cannot return a component to as good as new, but they can certainly increase its reliability. In most cases, the threshold for PM is higher than that for CM, so this paper defines the thresholds at which a component needs to perform PM and CM as T P M and T C M , respectively, and T P M > T C M . The detection interval is denoted as l , which is usually given. When detecting, if the system reliability is lower than T P M and higher than T C M , the component performs PM; when the system reliability is lower than T C M , the component performs CM. The flowchart of the detection and maintenance process is shown in Figure 2.
At the same time, maintenance takes time, and different types of maintenance take different amounts of time. Further, the same type of maintenance takes different amounts of time at different levels of reliability; at lower levels of reliability, maintenance takes longer. In addition, the effect of maintenance is also different. In general, CM is more effective; however, this is not always the case, and the effect of maintenance also takes into account the reliability of a component. When the reliability of a component is low, the effect of maintenance is poorer.
When a component performs PM, maintenance affects its internal degradation process; the reliability of the component is increased by reducing the amount of internal degradation and increasing the internal failure threshold. These two aspects of optimization are not performed simultaneously. First, the internal degradation amount is reduced, and afterwards, the threshold of the internal failure is increased. Therefore, the total demanding maintenance time for a component to perform PM is the sum of the time required for these two aspects of optimization. Let T k P M denote the total time required for the component to perform the k th PM and t k denote the time at which the k th PM starts, then T k P M = T k X i n + T k T i n , where T k X i n and T k T i n denote the time at which the PM reduces the internal degradation amount and increases the threshold of the internal failure, respectively. In real production, these two parts of the PM time are usually available with a large amount of historical data, and the time for the ideal case can be obtained by analyzing these historical data, denoted as T i d e a l X i n and T i d e a l T i n . Since the time for maintenance is related to the reliability of the component, T k X i n and T k T i n can be denoted as
T k X i n = T i d e a l X i n ( 1 R ( t k ) )
T k T i n = T i d e a l T i n ( 1 R ( t k ) )
Let Δ X i n P M and Δ T i n P M denote the reduced internal degradation amount and the amount of increased PM threshold of the internal degradation, respectively, which are typically fixed values and can be represented as
Δ X i n P M = X i n ( t k ) X i n ( t k + T k X i n )
Δ T i n P M = T i n ( t k ) T i n ( t k + T k T i n )
Similarly, when a component performs CM, the maintenance affects its external shock process; the reliability of the component is increased by increasing the external failure threshold. Let T h C M denote the time it takes for the component to perform the h th CM and t h denote the time when the h th CM starts. If T i d e a l T o u t denotes the ideal CM time, then T i d e a l T o u t can be represented as
T h C M = T i d e a l T o u t ( 1 R ( t h ) )
Δ T o u t C M denotes the increased external degradation threshold by CM, which is a fixed value and can be represented as
Δ T o u t C M = T o u t ( t h ) T o u t ( t h + T h C M )

5. Objectives and Constraints

Each type of maintenance has a cost. Let C P M and C C M denote the cost of a component to perform PM and CM, respectively, and T r u n denote the fixed runtime cycle of the component, a value that is usually given. The objective of this paper is to minimize the maintenance cost rate (total maintenance cost/operating cycle) of a component over a fixed operating cycle. Let L denote the maintenance cost rate of a component over a fixed operating cycle, which can be represented as
L = C t o t a l T r u n = k C P M + h C C M T r u n
This paper aims to find the thresholds T P M and T C M for components to perform PM and CM optimally, so the constraints can be represented as
s . t . { 0 < T P M < 1 0 < T C M < 1 T P M < T C M
However, the exact solutions of T P M and T C M are very hard to find. Therefore, the range of values of these two thresholds can be regarded as a discrete state space consisting of 1000 state points between 0 and 1, which is used to reduce the amount of solving and does not have any effect on the degree of accuracy of the optimal solution.

6. The Numerical Case

The object of our study is a very general component rather than a particular system, a component that can be applied in almost any system (e.g., a serial or parallel system). For this component, its degradation-related parameters can be various. Therefore, to prove the effectiveness of the model, the model can be tested by using some assumed parameters, which are shown in Table 1.
Moreover, D ( t ) obeys a gamma distribution with parameters α and θ ( α and θ are given as 1 and 1.5, respectively), so its probability density function can be expressed as
f ( x ) = 1 Γ ( a ) θ a x a 1 e x θ ( x 0 )
The below Algorithm 1 represents the pseudocode of the algorithm for the simulation experiment.
Algorithm 1: Maintenance decisions for self-repairable components.
Input: A data matrix consisting of all the data in Table 1 and a confidence probability δ .
Output:  A   vector   T D , T D = ( T P M , T C M ) .
  • for   ( T P M = [ T P M ] ) do//Vector of all possible values;
2.
for   ( T C M = [ T C M ] ) do//Vector of all possible values;
3.
while   ( t T r u n ) do//Running process
4.
   Compute   0 t f p o s s i o n d t ( λ ) ; P t s h o c k 0 t f p o s s i o n d t ( λ ) ;
5.
   if   ( P t s h o c k δ ) then
6.
   i + + ; N ( t i + 1 ) + + ; t i + 1 t ; φ i + 1 T o u t ( t ) ;
7.
   Compute   0 t f o u t d t ( c , d ) ; X o u t ( t ) 0 t f o u t d t ( c , d ) ;
8.
  Compute ρ according to Equation (2); Compute T i n ( t i + 1 ) according to Equation (5);
9.
   Compute   T o u t ( t i + 1 ) according to Equation (1); Compute D ( t i + 1 ) according to Equation (16);
10.
   Compute   X i n ( t i + 1 ) according to Equation (4);
11.
  end if
12.
while   ( t   Mod   l = = 0 ) do//Detection and maintenance process
13.
   Compute   R o u t ( t i + 1 ) according to Equation (3); Compute R i n ( t i + 1 ) according to Equation (6);
14.
   Compute   R ( t i + 1 ) according to Equation (7);
15.
   if   R ( t i + 1 ) T C M then
16.
    Compute   T h C M according to Equation (12);
17.
    Compute   Δ T o u t C M according to Equation (13);
18.
    T o u t ( t i + 1 + T h C M ) T o u t ( t i + 1 ) + Δ T o u t C M ; t t + T h C M ;
19.
   break;
20.
  end if
21.
   if   ( R ( t i + 1 ) > T C M && R ( t i + 1 ) T P M ) then
22.
    Compute   T k X i n according to Equation (8); Compute T k T i n according to Equation (9);
23.
    Compute   Δ X i n P M according to Equation (10); Compute Δ T i n P M according to Equation (11);
24.
    T i n ( t i + 1 + T k X i n + T k T i n ) T i n ( t i + 1 ) + Δ T i n P M ; X i n ( t i + 1 + T k X i n + T k T i n ) X i n ( t i + 1 ) Δ X i n P M ;
25.
   t t + T k X i n + T k T i n ;
26.
  break;
27.
  end if
28.
end while
29.
end while
30.
 Compute L according to Equation (14); { ( L P , T P M P , T C M P ) P } L , T P M , T C M ;
31.
end for
32.
end for
33.
Choose the minimum value of L corresponding to T P M , T C M ;
34.
return   T D = ( T P M , T C M ) ;
The simulation results are shown in Figure 3a. It can be seen from the figure that the optimal PM and CM thresholds are 0.71 and 0.53, respectively, which indicates that PM needs to be performed when the reliability of a component is lower than 0.71, and CM needs to be performed when it is lower than 0.53. Figure 3b shows the optimal PM and CM thresholds without considering the self-repair ability of a component, as well as the corresponding maintenance cost rate. Comparison between the two figures can illustrate that the self-repair of a component delays its failure process and reduces the threshold and cost of maintenance.

7. Conclusions and Future Work

This paper investigates maintenance strategies for components with a self-repair ability. Unofficial maintenances that are not directly assessable are considered the self-repair ability of the component. The official maintenance of a component is evaluated based on the reliability of the component at the time of detection, and the official maintenances are categorized into PM and CM, which correspond to two thresholds. The optimal PM and CM thresholds are obtained by minimizing the maintenance cost rate during the given running time. Finally, the validity of the model and the effectiveness of the self-repair ability are proved by the numerical case. Through simulation experiments, it can be found that the effect of self-reparation is to reduce the maintenance threshold (especially the CM threshold) of a component, and the cost rate of the component is also effectively reduced due to the higher cost of the CM.
In the future, scholars can continue to study the coupling effect between PM and CM, i.e., a component performs PM with some positive or negative effect on the effect of the previous CM, leading to a change in the reliability of the component. Or, study the complex search for maintenance strategies in multi-component systems, which may be planning problems with multiple objectives, such as maximizing the average system reliability while minimizing the system maintenance cost rate.

Author Contributions

Conceptualization, Y.M.; methodology, Y.M.; software, Y.M.; validation, Y.M.; investigation, Z.Y.; resources, K.S.; writing, Y.M. and K.S.; visualization, W.W.; supervision, H.Z.; project administration, K.S. All authors have read and agreed to the published version of the manuscript.

Funding

This research received no external funding.

Institutional Review Board Statement

Not applicable.

Informed Consent Statement

Not applicable.

Data Availability Statement

Data are available in this manuscript.

Conflicts of Interest

The authors declare no conflicts of interest.

References

  1. Shi, H.; Wei, C.; Zhang, Z.; Liu, B.; Wen, Y. Reliability analysis of dependent competitive failure model with uncertain parameters. Soft Comput. 2022, 26, 33–43. [Google Scholar] [CrossRef]
  2. Wang, Z.; Huang, H.; Du, L. Reliability analysis on competitive failure processes under fuzzy degradation data. Appl. Soft Comput. 2011, 11, 2964–2973. [Google Scholar] [CrossRef]
  3. Jin, H.; Song, X.; Xia, H. Optimal maintenance strategy for large-scale production systems under maintenance time uncertainty. Reliab. Eng. Syst. Saf. 2023, 240, 109594. [Google Scholar] [CrossRef]
  4. Kuniewski, S.P.; van der Weide, J.A.M.; van Noortwijk, J.M. Sampling inspection for the evaluation of time-dependent reliability of deteriorating systems under imperfect defect detection. Reliab. Eng. Syst. Saf. 2009, 94, 1480–1490. [Google Scholar] [CrossRef]
  5. Zhang, N.; Qi, F.; Zhang, C.; Zhou, H. Joint optimization of condition-based maintenance policy and buffer capacity for a two-component self-repairable serial system. Eksploat. Niezawodn. 2024, 26, 185581. [Google Scholar]
  6. Wu, T.; Yang, L.; Ma, X.; Zhang, Z.; Zhao, Y. Dynamic maintenance strategy with iteratively updated group information. Reliab. Eng. Syst. Saf. 2020, 197, 106820. [Google Scholar] [CrossRef]
Figure 1. The failure process of a component: (a) the internal degradation failure process; (b) the external shock failure process.
Figure 1. The failure process of a component: (a) the internal degradation failure process; (b) the external shock failure process.
Engproc 75 00017 g001
Figure 2. The flowchart of the detection and maintenance process of a component.
Figure 2. The flowchart of the detection and maintenance process of a component.
Engproc 75 00017 g002
Figure 3. Simulation results: (a) the optimal maintenance decisions when considering the self-reparation of a component; (b) the optimal maintenance decisions without the self-reparation of a component.
Figure 3. Simulation results: (a) the optimal maintenance decisions when considering the self-reparation of a component; (b) the optimal maintenance decisions without the self-reparation of a component.
Engproc 75 00017 g003
Table 1. The values of parameters required for the model.
Table 1. The values of parameters required for the model.
ParametersValue
T i n 1 100
T o u t 1 100
Δ X 1 2
Δ T 1 1
Δ T 2 1
a −0.05
b 0.03
λ 0.5
c 40
d 70
l 10
T i d e a l X i n 100
T i d e a l T i n 150
Δ X i n P M 20
Δ T i n P M 15
T i d e a l T o u t 200
Δ T o u t C M 20
C P M 150
C C M 200
T r u n 10,000
Disclaimer/Publisher’s Note: The statements, opinions and data contained in all publications are solely those of the individual author(s) and contributor(s) and not of MDPI and/or the editor(s). MDPI and/or the editor(s) disclaim responsibility for any injury to people or property resulting from any ideas, methods, instructions or products referred to in the content.

Share and Cite

MDPI and ACS Style

Meng, Y.; Shi, K.; Wang, W.; Yin, Z.; Zhang, H. The Optimal Condition-Based Maintenance Strategies for a Self-Repairable Component under Fixed-Interval Detection. Eng. Proc. 2024, 75, 17. https://doi.org/10.3390/engproc2024075017

AMA Style

Meng Y, Shi K, Wang W, Yin Z, Zhang H. The Optimal Condition-Based Maintenance Strategies for a Self-Repairable Component under Fixed-Interval Detection. Engineering Proceedings. 2024; 75(1):17. https://doi.org/10.3390/engproc2024075017

Chicago/Turabian Style

Meng, Yinghao, Keyu Shi, Wei Wang, Zhen Yin, and Haosen Zhang. 2024. "The Optimal Condition-Based Maintenance Strategies for a Self-Repairable Component under Fixed-Interval Detection" Engineering Proceedings 75, no. 1: 17. https://doi.org/10.3390/engproc2024075017

APA Style

Meng, Y., Shi, K., Wang, W., Yin, Z., & Zhang, H. (2024). The Optimal Condition-Based Maintenance Strategies for a Self-Repairable Component under Fixed-Interval Detection. Engineering Proceedings, 75(1), 17. https://doi.org/10.3390/engproc2024075017

Article Metrics

Back to TopTop