Abstract
In recent years, microwave heating has become a widely used technique in organic synthesis. The reactions take place within a very short time, under mild conditions with high yields, and produce pure and selective compounds with fewer side reactions. In this context and under green chemistry conditions, we synthesized an organic compound containing two pharmacophore groups, oxazolidinone and sulfonamide, with a good yield.
1. Introduction
A microwave serves as an energy source to activate a chemical reaction through a process known as microwave-assisted heating, resulting in shorter reaction times and potentially higher yields compared to conventional heating methods. Moreover, microwave heating can provide more uniform heating throughout the reaction mixture, thereby reducing the risk of localized overheating or secondary reactions [1].
The microwave-assisted condensation of two potential antibacterial pharmacophores, namely sulfonamide and oxazolidinone, involves the use of irradiation to accelerate the condensation reaction between these two compounds [2,3]. This innovative approach facilitates the rapid and efficient formation of a new compound with enhanced antibacterial properties. By wisely applying microwave energy, this method optimizes the reaction conditions, resulting in higher yields, reduced reaction times, and improved efficiency [4,5]. Many studies have been reported in the literature. Bouchareb et al. [6] described the microwave-assisted synthesis of metal-organic frameworks (MOFs) under solvent-free conditions, with significant implications for materials chemistry. Other researchers have also used this technique for the preparation of biomolecules [7,8,9]. This technique is very promising for the rapid synthesis of antibacterial agents, thus paving the way for new applications in pharmaceutical research and drug development. In our study, our synthesis approach involved developing a new compound that incorporates both oxazolidinone and sulfonamide groups. Initially, we introduced oxazolidinone into a reactor with chloroacetyl chloride under microwave irradiation, followed by the addition of sulfonamide in situ. The desired product was obtained after recrystallization in diethyl ether.
Microwaves act as electric fields and generally heat any material containing mobile electric charges, such as polar molecules in a solvent or conductive ions in a solid. However, the magnetic field component of the waves is not involved [10].
Microwaves are capable of heating targeted compounds without heating the entire oven, which saves energy. In theory, they can also provide more uniform heating. However, due to the design of microwave ovens and the non-uniform absorption of heated objects, the electric field is generally not uniform and overheated zones are observed.
The use of microwaves as an energy source in chemical reactions offers advantages in terms of efficiency, control, and speed [11,12,13].
2. Results and Discussion
In general, before microwave irradiation, the sample was prepared by mixing all the reagents, possibly in the presence of a catalyst, or by adsorption onto the insoluble mineral support. At the end of the reaction, the desired product was recovered by simple extraction with a suitable solvent, followed by filtration to remove the solid support.
Our approach revolved around the preparation of a new compound containing both oxazolidinone and sulfonamide units.
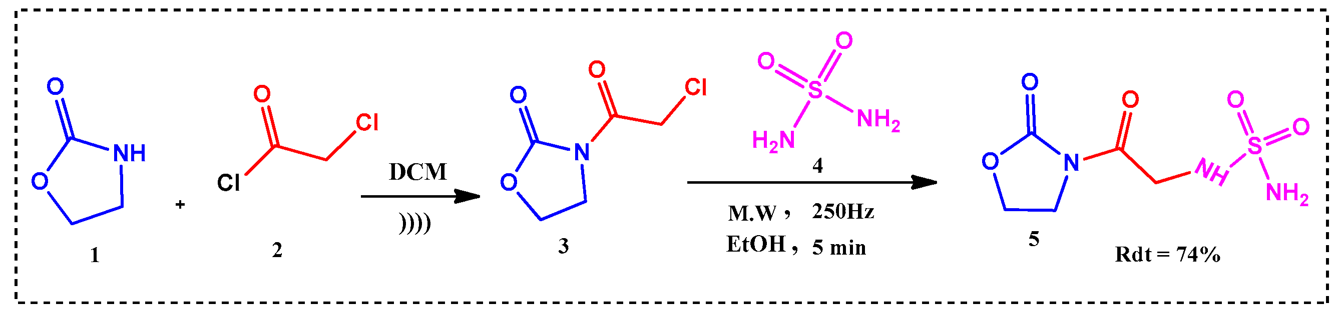
There were two steps in the reaction sequence: First, oxazolidinone 1 was acylated by chloroacetyl chloride 2 in the presence of TEA. Next, a commercial sulfonamide 4 was condensed with 3-(2-chloroacetyl) oxazolidinone 3, which had previously been prepared in the minimum amount of solvent and under the effect of the microwave. Following its recrystallization in DCM, the desired product 5 was finally produced as a white powder (Scheme 1), according to the reaction mechanism (Scheme 2).
Scheme 1.
Synthesis of oxazolidinone-sulfonamide.
Scheme 2.
Reaction mechanism.
3. General Procedure for the Synthesis of Derivative Oxazolidinone-Sulfonamide
General
The chemicals utilized in this investigation were purchased from Fluka (Fluka, Buchs, Switzerland) and Merck (Merck KGaA, Darmstadt, Germany) Chemical Company. On silica Merck 60 F254 percolated aluminum plates, all reactions were seen by TLC and were generated by ninhydrin solution spraying. Via column chromatography, Merck silica gel (230–400 mesh) was used. Brucker spectrometers operating at 300 or 400 MHz were used to record proton nuclear magnetic resonance (1 H NMR) spectra. TMS was used as the reference (δ0.00) and chemical shifts were given in δ units (ppm). All coupling constants (J) were reported in hertz. Multiplicity was indicated by one of the following: s (singlet), d (doublet), t (triplet), q (quartet), m (multiplet). Infrared spectra were recorded as KBr pellets on a PerkinElmer 600 spectrometer (PerkinElmer, Waltham, MA, USA). Melting points were recorded on a Büchi B-545 apparatus (Büchi, Flawil, Switzerland) in open capillary tubes. Ultra-sound assisted reactions were carried out using a FUNGILAB ultrasonic bath (Barcelona, Spain) with a frequency of 40 kHz and a nominal power of 250 W. Microwave irradiation was carried out with a frequency of 250 Hz.
3.1. Synthesis of 3-(2-Chloroacetyl) Oxazolidinone
Acylation of oxazolidinone by one equivalent (0.16 g, 0.16 mL) of chloroacetyl chloride in the presence of two equivalents of triethylamine (0.15 g, 0.2 mL) in dichloromethane and under ultrasonic irradiation led to 3-(2-chloroacetyl) oxazolidinone. The TLC showed a rapid evolution of the reaction; after a few minutes, oxazolidinone was totally consumed with the appearance of a less polar product revealed by ninhydrin. The synthesized product was recovered directly by purification on a silica gel column, and the desired product was recovered as a white powder in good yield.
3.2. Synthesis of Oxazolidinone-Sulfonamide
In a microwave reactor, one equivalent of acylated oxazolidinone (0.1 g) prepared previously and one equivalent of a commercial sulfonamide (0.1 g) were placed in minimal ethanol. The reaction mixture was exposed to microwave irradiation for 5 min. The evolution of the reaction was followed by TLC, showing the appearance of a new, more polar product compared with its precursor, which was revealed with ninhydrin. Purification of the product was accomplished by recrystallization in dichloromethane. The final product was obtained as a white powder in good yield.
3-(2-chloroacetyl)oxazolidinone(3)
Powder; yield: 70%; Rf = 0.52 (CH2Cl2); 1H NMR (CDCl3): δ = 3.85 (t, J1 = 4.2, J2 = 8.0 Hz, 2H, CH2-CH2-N-cyc), 4.23 (s, 2H, CO-CH2-Cl), 4.37 (t, J1 = 4.3, J2 = 8.1 Hz, 2H, -O-CH2-CH2-cyc) ppm. IR (KBr): ν = 1717.20 and 1761.14 (C=O), 1225.13 and 1387.61 (=C-O-C), 792.59 and 959.40 (C-Cl) cm−1. 13C NMR (CDCl3) δ = 168.50, 153.11, 62.7, 44.11, 41.70. Anal. Calcd for C5H6ClNO3 (163.00 g/mol): C, 36.72; H, 3.70; Cl, 21.68; N, 08.56; O, 29.35. Found: C, 37.02; H, 3.78; Cl, 21.75; N, 08.80; O, 29.40%.
Oxazolidinone-sulfonamide (5)
Powder; yield: 74%; Rf = 0.43 (CH2Cl2); 1H NMR (DMSO): δ = 2.00 (s, 2H, NH2), 3.54 (d. J = 7.1 Hz, 2H, CH2-N), 4.05 (t, J1 = 4.2, J2 = 8.0 Hz, 2H, CH2-CH2-N-cyc), 4.40 (t, J1 = 4.3, J2 = 8.1 Hz, 2H, -O-CH2-CH2-cyc). 7.74–7.70 (m, 1H, CH2-NH-SO2) ppm. IR (KBr): ν = 1355.20 and 1164.60 (SO2), 1735.06 and 1560.06 (C=O), 3243.44 and 3333.39 (NH) and (NH2) cm−1. 13C NMR (DMSO) δ = 168.90, 153.10, 62.7, 45.11, 39,40. Anal. Calcd for C5H9O5N3S (223.03 g/mol): C, 26.90; H, 4.06; N, 18.83; O, 35.84; S, 14.37 Found: C, 27.07; H, 4.09; N, 18.91; O, 35.99; S, 14.41%.
4. Conclusions
In general, the advantages of using microwaves lie in the fact that microwave-assisted reactions significantly reduce reaction times, improve yields, and, in some cases, positively influence the selectivity of certain manufacturing processes.
The combination of solvent-free techniques and microwave irradiation in the execution of organic syntheses proves to be a remarkably efficient, clean, safe, and economical process. Significant improvements and simplifications in operating procedures have been achieved compared to conventional methods. In most cases, this results in considerably increased purity of the final products.
Author Contributions
R.B.: methodology; M.B.: writing—review and editing. All authors have read and agreed to the published version of the manuscript.
Funding
This research received no external funding.
Institutional Review Board Statement
Not applicable.
Informed Consent Statement
Not applicable.
Data Availability Statement
No new data were created or analyzed in this study.
Acknowledgments
The authors wish to extend their gratitude to the Algerian General Directorate of Scientific Research and Technological Development (DGRSDT) and the Applied Organic Chemistry Laboratory for their support and assistance.
Conflicts of Interest
The authors declare no conflicts of interest.
References
- Varma, R.S. Solvent-free organic syntheses, using supported reagents and microwave irradiation. Green Chem. 1999, 1, 43. [Google Scholar] [CrossRef]
- Wang, R.; Lub, X.X.; Yu, X.Q.; Shi, L.; Suna, Y. Acid-catalyzed solvent-free synthesis of 2-arylbenzimidazoles under microwave irradiation. J. Mol. Catal. A Chem. 2007, 266, 198. [Google Scholar] [CrossRef]
- Youssef, M.M.; Amin, M.A. Microwave Assisted Synthesis of Some New Heterocyclic Spiro-Derivatives with Potential Antimicrobial and Antioxidant Activity. Molecules 2010, 15, 8827. [Google Scholar] [CrossRef] [PubMed]
- Lidström, P.; Tierney, J.; Wathey, B.; Westman, J. Microwave assisted organic synthesis—A review. Tetrahedron 2001, 57, 9225. [Google Scholar] [CrossRef]
- Kappe, C.O. Controlled microwave heating in modern organic synthesis. Angew. Chem. Int. Ed. 2004, 43, 6250. [Google Scholar] [CrossRef] [PubMed]
- Bouchareb, F.; Berredjem, M.; Dehmchi, D.A.; Kadri, R.; Kadri, M.; Ferkous, H.; Mansouri, A.; Bouyegh, S.; Ahmed, S.A.; Ben Hadda, T.; et al. Synthesis, characterization, DFT/M06 studies, NBO, QTAIM and RDG analyses of new copper (II) complexes with bis-phosphonamide obtained under microwave irradiation. J. Mol. Struct. 2023, 1294, 136503. [Google Scholar] [CrossRef]
- Patil, R.C.; Khiratkar, N.M.; Ahmed, S.; Jamalis, J.; Hasan, A.H.; Berredjem, M.; Sarkar, M.A.; Kawsar, S.M.A.; Ajmal, R.; Bhat, A.R. A safe and new strategy for N-arylation of 2, 4-thiazolidinediones via microwave irradiation using base catalyst K2 CO3 in DMF. React. Chem. Eng. 2024, 9, 842. [Google Scholar] [CrossRef]
- Bahadi, R.; Berredjem, M.; Benzaid, C.; Bouchareb, F.; Dekir, A.; Djendi, M.L.; Ibrahim-Ouali, M.I.; Boussaker, M.; Bouacida, S.; Bhat, A.R.; et al. Efficient synthesis, crystallography study, antibacterial/antifungal activities, DFT/ADMET studies and molecular docking of novel α-aminophosphonates. J. Mol. Struct. 2023, 1289, 135849. [Google Scholar] [CrossRef]
- Ahmed, S.; Ajmal, R.; Bhat, A.R.; Rahiman, A.K.; Dongre, R.S.; Hasan, A.H.; Niranjan, V.; Lavanya, C.; Sheikhe, S.A.; Jamalis, J.; et al. Green synthesis, antibacterial and antifungal evaluation of new thiazolidine-2,4-dione derivatives: Molecular dynamic simulation, POM study and identification of antitumor pharmacophore sites. J. Biomol. Struct. Dyn. 2023, 1–17. [Google Scholar] [CrossRef] [PubMed]
- Belhani, B.; Aissaoui, M.; K’tir, H.; Khald, T.; Khattabi, L.; Laichi, Y.; Boulebnane, A.; Berredjem, M.; Djilani, S. A novel, rapid and eco-sustainable approach for the synthesis of novel benzothiazole derivatives as potent urease inhibitors: Biological assay, molecular docking, dynamic simulation, DFT and ADMET studies. J. Mol. Struct. 2023, 1293, 136221. [Google Scholar] [CrossRef]
- Nasir-Baig, R.B.; Varma, R.S. Alternative energy input: Mechanochemical, microwave and ultrasound-assisted organic synthesis. Chem. Soc. Rev. 2012, 41, 1559. [Google Scholar] [CrossRef] [PubMed]
- Jiang, C.; You., Q.D. An efficient and solvent-free one-pot synthesis of dihydro pyrimidinones under microwave irradiation. Chin. Chem. Lett. 2007, 18, 647. [Google Scholar] [CrossRef]
- Bouzina, A.; Berredjem, M.; Belhani, B.; Bouacida, S.; Marminon, C.; Le Borgne, M.; Bouaziz, Z. Microwave-accelerated multicomponent synthesis and X-ray characterization of novel benzothiadiazinone dioxide derivatives, analogues of Monastrol. Chem. Intermed. 2021, 47, 1359. [Google Scholar] [CrossRef]
Disclaimer/Publisher’s Note: The statements, opinions and data contained in all publications are solely those of the individual author(s) and contributor(s) and not of MDPI and/or the editor(s). MDPI and/or the editor(s) disclaim responsibility for any injury to people or property resulting from any ideas, methods, instructions or products referred to in the content. |
© 2024 by the authors. Licensee MDPI, Basel, Switzerland. This article is an open access article distributed under the terms and conditions of the Creative Commons Attribution (CC BY) license (https://creativecommons.org/licenses/by/4.0/).

