Regression Tree Ensemble to Forecast Thermally Induced Responses of Long-Span Bridges †
Abstract
:1. Introduction
2. Regression Tree Ensemble
3. Bayesian Hyperparameter Optimization
4. Case Study: The Lupu Bridge
4.1. Thermally Induced Structural Responses
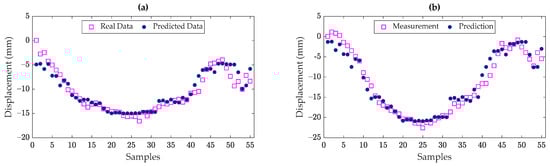
4.2. Forecasted Results
5. Conclusions
Author Contributions
Funding
Institutional Review Board Statement
Informed Consent Statement
Data Availability Statement
Conflicts of Interest
References
- Han, Q.; Ma, Q.; Xu, J.; Liu, M. Structural health monitoring research under varying temperature condition: A review. J. Civ. Struct. Health Monit. 2021, 11, 149–173. [Google Scholar] [CrossRef]
- Soleymani, A.; Jahangir, H.; Nehdi, M.L. Damage detection and monitoring in heritage masonry structures: Systematic review. Constr. Build. Mater. 2023, 397, 132402. [Google Scholar] [CrossRef]
- Behkamal, B.; Entezami, A.; De Michele, C.; Arslan, A.N. Investigation of temperature effects into long-span bridges via hybrid sensing and supervised regression models. Remote Sens. 2023, 15, 3503. [Google Scholar] [CrossRef]
- Xia, Q.; Zhang, J.; Tian, Y.; Zhang, Y. Experimental study of thermal effects on a long-span suspension bridge. J. Bridge Eng. 2017, 22, 04017034. [Google Scholar] [CrossRef]
- Entezami, A.; Sarmadi, H.; Behkamal, B. Long-term health monitoring of concrete and steel bridges under large and missing data by unsupervised meta learning. Eng. Struct. 2023, 279, 115616. [Google Scholar] [CrossRef]
- Entezami, A.; Sarmadi, H.; Behkamal, B. A novel double-hybrid learning method for modal frequency-based damage assessment of bridge structures under different environmental variation patterns. Mech. Syst. Sig. Process. 2023, 201, 110676. [Google Scholar] [CrossRef]
- Torzoni, M.; Rosafalco, L.; Manzoni, A. A combined model-order reduction and deep learning approach for structural health monitoring under varying operational and environmental conditions. Eng. Proc. 2020, 2, 94. [Google Scholar] [CrossRef]
- Wang, D.; Liu, Y.; Liu, Y. 3D temperature gradient effect on a steel–concrete composite deck in a suspension bridge with field monitoring data. Struct. Contr. Health Monit. 2018, 25, e2179. [Google Scholar] [CrossRef]
- da Silva, S.; Figueiredo, E.; Moldovan, I. Damage Detection Approach for Bridges under Temperature Effects using Gaussian Process Regression Trained with Hybrid Data. J. Bridge Eng. 2022, 27, 04022107. [Google Scholar] [CrossRef]
- Akintunde, E.; Azam, S.E.; Linzell, D.G. Singular value decomposition and unsupervised machine learning for virtual strain sensing: Application to an operational railway bridge. Structures 2023, 58, 105417. [Google Scholar] [CrossRef]
- Figueiredo, E.; Park, G.; Farrar, C.R.; Worden, K.; Figueiras, J. Machine learning algorithms for damage detection under operational and environmental variability. Struct. Health Monit. 2011, 10, 559–572. [Google Scholar] [CrossRef]
- Daneshvar, M.H.; Sarmadi, H.; Yuen, K.-V. A locally unsupervised hybrid learning method for removing environmental effects under different measurement periods. Meas. 2023, 208, 112465. [Google Scholar] [CrossRef]
- Sarmadi, H.; Entezami, A.; Magalhães, F. Unsupervised data normalization for continuous dynamic monitoring by an innovative hybrid feature weighting-selection algorithm and natural nearest neighbor searching. Struct. Health Monit. 2023, 22, 4005–4026. [Google Scholar] [CrossRef]
- Entezami, A.; Mariani, S.; Shariatmadar, H. Damage detection in largely unobserved structures under varying environmental conditions: An autoregressive spectrum and multi-level machine learning methodology. Sensors 2022, 22, 1400. [Google Scholar] [CrossRef] [PubMed]
- Figueiredo, E.; Brownjohn, J. Three decades of statistical pattern recognition paradigm for SHM of bridges. Struct. Health Monit. 2022, 21, 3018–3054. [Google Scholar] [CrossRef]
- Cavalagli, N.; Kita, A.; Farneti, E.; Falco, S.; Trillo, F.; Costantini, M.; Fornaro, G.; Reale, D.; Verde, S.; Ubertini, F. Remote sensing and in-situ measurements for the structural monitoring of historical monuments: The Consoli Palace of Gubbio, Italy. In European Workshop on Structural Health Monitoring; Springer: Cham, Switzerland, 2021. [Google Scholar] [CrossRef]
- Macchiarulo, V.; Milillo, P.; Blenkinsopp, C.; Giardina, G. Monitoring deformations of infrastructure networks: A fully automated GIS integration and analysis of InSAR time-series. Struct. Health Monit. 2022, 21, 1849–1878. [Google Scholar] [CrossRef]
- Milillo, P.; Giardina, G.; Perissin, D.; Milillo, G.; Coletta, A.; Terranova, C. Reply to Lanari, R.; et al. comment on “pre-collapse space geodetic observations of critical infrastructure: The morandi bridge, Genoa, Italy” by Milillo et al. (2019). Remote Sens. 2020, 12, 4016. [Google Scholar] [CrossRef]
- Giordano, P.F.; Turksezer, Z.; Previtali, M.; Limongelli, M.P. Damage detection on a historic iron bridge using satellite DInSAR data. Struct. Health Monit. 2022, 21, 2291–2311. [Google Scholar] [CrossRef]
- Giordano, P.F.; Previtali, M.; Limongelli, M.P. Monitoring of a Metal Bridge Using DInSAR Data. In European Workshop on Structural Health Monitoring; Springer: Cham, Switzerland, 2022. [Google Scholar] [CrossRef]
- Farneti, E.; Cavalagli, N.; Venanzi, I.; Salvatore, W.; Ubertini, F. Residual service life prediction for bridges undergoing slow landslide-induced movements combining satellite radar interferometry and numerical collapse simulation. Eng. Struct. 2023, 293, 116628. [Google Scholar] [CrossRef]
- Farneti, E.; Cavalagli, N.; Costantini, M.; Trillo, F.; Minati, F.; Venanzi, I.; Ubertini, F. A method for structural monitoring of multispan bridges using satellite InSAR data with uncertainty quantification and its pre-collapse application to the Albiano-Magra Bridge in Italy. Struct. Health Monit. 2023, 22, 353–371. [Google Scholar] [CrossRef]
- Farneti, E.; Cavalagli, N.; Costantini, M.; Trillo, F.; Minati, F.; Venanzi, I.; Salvatore, W.; Ubertini, F. Remote Sensing Satellite Data and Progressive Collapse Analysis for Structural Monitoring of Multi-span Bridges. In European Workshop on Structural Health Monitoring; Springer: Cham, Switzerland, 2022. [Google Scholar] [CrossRef]
- Entezami, A.; De Michele, C.; Arslan, A.N.; Behkamal, B. Detection of partially structural collapse using long-term small displacement data from satellite images. Sensors 2022, 22, 4964. [Google Scholar] [CrossRef] [PubMed]
- Kromanis, R.; Kripakaran, P. Predicting thermal response of bridges using regression models derived from measurement histories. Comput. Struct. 2014, 136, 64–77. [Google Scholar] [CrossRef]
- Laory, I.; Trinh, T.N.; Smith, I.F.C.; Brownjohn, J.M.W. Methodologies for predicting natural frequency variation of a suspension bridge. Eng. Struct. 2014, 80, 211–221. [Google Scholar] [CrossRef]
- Sarmadi, H.; Entezami, A.; Saeedi Razavi, B.; Yuen, K.-V. Ensemble learning-based structural health monitoring by Mahalanobis distance metrics. Struct. Contr. Health Monit. 2021, 28, e2663. [Google Scholar] [CrossRef]
- Ardani, S.; Eftekhar Azam, S.; Linzell, D.G. Bridge Health Monitoring Using Proper Orthogonal Decomposition and Transfer Learning. Appl. Sci. 2023, 13, 1935. [Google Scholar] [CrossRef]
- Yang, L.; Shami, A. On hyperparameter optimization of machine learning algorithms: Theory and practice. Neurocomputing 2020, 415, 295–316. [Google Scholar] [CrossRef]
- Qin, X.; Zhang, L.; Yang, M.; Luo, H.; Liao, M.; Ding, X. Mapping surface deformation and thermal dilation of arch bridges by structure-driven multi-temporal DInSAR analysis. Remote Sens. Environ. 2018, 216, 71–90. [Google Scholar] [CrossRef]




| Hyperparameter | Bridge Element | |
|---|---|---|
| Dome | Span | |
| Ensemble learning algorithm | Bagging | Bagging |
| Number of leaves | 5 | 4 |
| Number of decision nodes | 49 | 34 |
| Bridge Element | Training Ratios | ||
|---|---|---|---|
| 80% | 50% | 30% | |
| Dome | 0.8625 | 0.8453 | 0.7513 |
| Span | 0.9365 | 0.9121 | 0.8547 |
Disclaimer/Publisher’s Note: The statements, opinions and data contained in all publications are solely those of the individual author(s) and contributor(s) and not of MDPI and/or the editor(s). MDPI and/or the editor(s) disclaim responsibility for any injury to people or property resulting from any ideas, methods, instructions or products referred to in the content. |
© 2023 by the authors. Licensee MDPI, Basel, Switzerland. This article is an open access article distributed under the terms and conditions of the Creative Commons Attribution (CC BY) license (https://creativecommons.org/licenses/by/4.0/).
Share and Cite
Entezami, A.; Behkamal, B.; De Michele, C.; Mariani, S. Regression Tree Ensemble to Forecast Thermally Induced Responses of Long-Span Bridges. Eng. Proc. 2023, 58, 56. https://doi.org/10.3390/ecsa-10-16030
Entezami A, Behkamal B, De Michele C, Mariani S. Regression Tree Ensemble to Forecast Thermally Induced Responses of Long-Span Bridges. Engineering Proceedings. 2023; 58(1):56. https://doi.org/10.3390/ecsa-10-16030
Chicago/Turabian StyleEntezami, Alireza, Bahareh Behkamal, Carlo De Michele, and Stefano Mariani. 2023. "Regression Tree Ensemble to Forecast Thermally Induced Responses of Long-Span Bridges" Engineering Proceedings 58, no. 1: 56. https://doi.org/10.3390/ecsa-10-16030
APA StyleEntezami, A., Behkamal, B., De Michele, C., & Mariani, S. (2023). Regression Tree Ensemble to Forecast Thermally Induced Responses of Long-Span Bridges. Engineering Proceedings, 58(1), 56. https://doi.org/10.3390/ecsa-10-16030
