An Advanced Markov Switching Approach for the Modelling of Consultation Rate Data †
Abstract
:1. Introduction
2. The Modelling
3. The Algorithmic Procedure
3.1. Step 1-The Change Point Detection
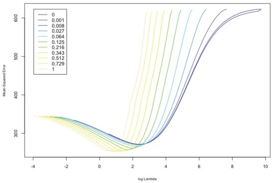
3.2. Step 2-The Variable Identification
- The Lasso method for ;
- The Ridge method for ; and
- To Elastic-Net for .
3.3. Step 3—The Switching
4. An Application on Epidemiology
References
- Kalligeris, E.N.; Karagrigoriou, A.; Parpoula, C. On Mixed PARMA Modeling of Epidemiological Time Series Data. Commun. Stat. Case Stud. Data Anal. 2019, 6, 36–49. [Google Scholar] [CrossRef]
- Pelat, C.; Boëlle, P.Y.; Cowling, B.J.; Carrat, F.; Flahault, A.; Ansart, S.; Valleron, A.J. Online Detection and Quantification of Epidemics. BMC Med. Inform. Decis. Mak. 2007, 5, 29. [Google Scholar]
- Tong, H. Nonlinear Time Series Analysis Since 1990: Some Personal Reflections. Acta Math. Appl. Sin. 2002, 18, 177. [Google Scholar] [CrossRef]
- Kalligeris, E.N.; Karagrigoriou, A.; Parpoula, C. Periodic-Type Auto-Regressive Moving Average Modeling with Covariates for Time-Series Incidence Data via Changepoint Detection. Stat. Meth. Med. Res. 2020, 29, 1639–1649. [Google Scholar] [CrossRef]
- Lindgren, G. Markov Regime Models for Mixed Distributions and Switching Regressions. Scand. J. Stat. 1978, 5, 81–91. [Google Scholar]
- Huber, C. Efficient Regression Estimation Under General Censoring and Truncation. In Mathematical and Statistical Models and Methods in Reliability; Statistics for Industry and Technology; Birkhäuser: Boston, MA, USA, 2010; Volume 12, pp. 235–241. [Google Scholar]
- Barbu, V.S.; Karagrigoriou, A.; Makrides, A. Semi Markov Modelling for Multi State Systems. Methodol. Comput. Appl. Prolab. 2017, 19, 1011–1028. [Google Scholar] [CrossRef]
- Green, P.J. On Use of the EM Algorithm for Penalized Likelihood Estimation. J. R. Stat. Soc. Ser. B Stat. Methodol. 1990, 52, 443–452. [Google Scholar] [CrossRef]
- Karagrigoriou, A.; Makrides, A.; Tsapanos, T.; Vougiouka, G. Earthquake Forecasting Based on Multi State System Methodology. Methodol. Comput. Appl. Probab. 2016, 18, 547–561. [Google Scholar] [CrossRef]
- Votsi, I.; Limnios, N.; Tsaklidis, G.; Papadimitriou, E. Hidden Markov Models Revealing the Stress Field Underlying the Earthquake Generation. Phys. A 2013, 392, 2868–2885. [Google Scholar] [CrossRef]
- Shaby, B.A.; Reich, B.; Cooley, D.; Kaufman, C.G. A Markov Switching Model for Heat Waves. Ann. Appl. Stat. 2016, 10, 74–93. [Google Scholar] [CrossRef] [Green Version]
- Page, E.S. Continuous Inspection Schemes. Biometrika 1954, 41, 100–115. [Google Scholar] [CrossRef]
- Nardi, Y.; Rinaldo, A. Autoregressive Process Modeling via the Lasso Procedure. J. Multivar. Anal. 2011, 102, 528–549. [Google Scholar] [CrossRef] [Green Version]
- Chen, K.; Chan, K.S. Subset ARMA Selection via the Adaptive Lasso. Stat. Interface. 2011, 4, 197–205. [Google Scholar] [CrossRef]
- Medeiros, C.M.; Eduardo, M. L1-Regularization of High-Dimensional Time-Series Models with Non–Gaussian and Heteroskedastic Errors. J. Econom. 2016, 191, 255–271. [Google Scholar] [CrossRef]
- Sanchez-Espigares, J.A.; Lopez-Moreno, A. MSwM: Fitting Markov Switching Models. CRAN 2018. R Package Version 14. Available online: https://CRANR-projectorg/package=MSwM (accessed on 25 May 2021).

Publisher’s Note: MDPI stays neutral with regard to jurisdictional claims in published maps and institutional affiliations. |
© 2021 by the authors. Licensee MDPI, Basel, Switzerland. This article is an open access article distributed under the terms and conditions of the Creative Commons Attribution (CC BY) license (https://creativecommons.org/licenses/by/4.0/).
Share and Cite
Kalligeris, E.-N.; Karagrigoriou, A.; Parpoula, C. An Advanced Markov Switching Approach for the Modelling of Consultation Rate Data . Eng. Proc. 2021, 5, 2. https://doi.org/10.3390/engproc2021005002
Kalligeris E-N, Karagrigoriou A, Parpoula C. An Advanced Markov Switching Approach for the Modelling of Consultation Rate Data . Engineering Proceedings. 2021; 5(1):2. https://doi.org/10.3390/engproc2021005002
Chicago/Turabian StyleKalligeris, Emmanouil-Nektarios, Alex Karagrigoriou, and Christina Parpoula. 2021. "An Advanced Markov Switching Approach for the Modelling of Consultation Rate Data " Engineering Proceedings 5, no. 1: 2. https://doi.org/10.3390/engproc2021005002
APA StyleKalligeris, E.-N., Karagrigoriou, A., & Parpoula, C. (2021). An Advanced Markov Switching Approach for the Modelling of Consultation Rate Data . Engineering Proceedings, 5(1), 2. https://doi.org/10.3390/engproc2021005002

