O.I.C.-Based Design of Aluminum Circular Hollow Sections under Compression or Pure Bending †
Abstract
:1. Introduction
2. Numerical Models
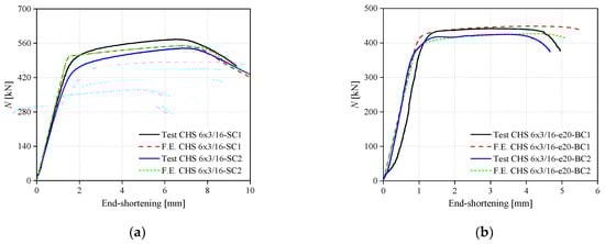
2.1. Features of F.E. Models and Validation
2.2. Parametric Studies
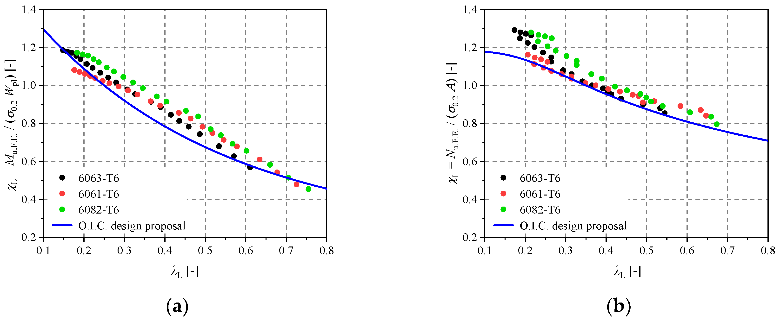
3. Proposed Design Rules
4. Conclusions
Author Contributions
Funding
Institutional Review Board Statement
Informed Consent Statement
Data Availability Statement
Acknowledgments
Conflicts of Interest
References
- Beaulieu, D.; Marsh, C. Design of Aluminum Structures; Presses de l’aluminium: Saguenay, Canada, 2006. [Google Scholar]
- Mazzolani, F. Aluminium Alloy Structures, 2nd ed.; E & FN Spon: London, UK, 1995. [Google Scholar]
- Faella, C.; Mazzolani, F.M.; Piluso, V.; Rizzano, G. Local Buckling of Aluminum Members: Testing and Classification. J. Struct. Eng. 2000, 126, 353–360. [Google Scholar] [CrossRef]
- Zhao, Y.; Zhai, X.; Wang, J. Buckling Behaviors and Ultimate Strengths of 6082-T6 Aluminum Alloy Columns under Eccentric Compression–Part I: Experiments and Finite Element Modeling. Thin-Walled Struct. 2019, 143, 106207. [Google Scholar] [CrossRef]
- Zhao, Y.; Zhai, X.; Wang, J. Buckling Behaviors and Ultimate Strength of 6082-T6 Aluminum Alloy Columns with Square and Circular Hollow Sections under Eccentric Compression–Part II: Parametric Study, Design Provisions and Reliability Analysis. Thin-Walled Struct. 2019, 143, 106208. [Google Scholar] [CrossRef]
- Wang, Z.X.; Wang, Y.Q.; Sojeong, J.; Ouyang, Y.W. Experimental Investigation and Parametric Analysis on Overall Buckling Behavior of Large-Section Aluminum Alloy Columns under Axial Compression. Thin-Walled Struct. 2018, 122, 585–596. [Google Scholar] [CrossRef]
- Zhu, J.-H.; Young, B. Experimental Investigation of Aluminum Alloy Circular Hollow Section Columns. Eng. Struct. 2006, 28, 207–215. [Google Scholar] [CrossRef]
- European Committee for Standardization. Eurocode 9: Design of Aluminium Structures-Part 1-1: General Structural Rules; Commission of the European Community: Brussels, Belgium, 2007. [Google Scholar]
- European Committee for Standardization. Eurocode 9: Design of Aluminium Structures-Part 1-5: Shell Structures; Commission of the European Community: Brussels, Belgium, 2007. [Google Scholar]
- The Aluminum Association. ‘Aluminum Design Manual’; The Aluminum Association: Washington, DC, USA, 2010. [Google Scholar]
- AS/NZS 1664.1:1997; Aluminum Structures Part 1: Limit State Design. Standards Australia/Standards New Zealand: Sydney, Australia, 1997.
- Zhu, J.-H.; Young, B. Numerical Investigation and Design of Aluminum Alloy Circular Hollow Section Columns. Thin-Walled Struct. 2008, 46, 1437–1449. [Google Scholar] [CrossRef]
- Rong, B.; Zhang, Y.; Zhang, S.; Li, Z. Experiment and Numerical Investigation on the Buckling Behavior of 7A04-T6 Aluminum Alloy Columns under Eccentric Load. J. Build. Eng. 2022, 45, 103625. [Google Scholar] [CrossRef]
- Zhao, Y.; Zhai, X. Bending Strength and Design Methods of the 6082-T6 Aluminum Alloy Beams with Circular Hollow Sections. Structures 2020, 26, 870–887. [Google Scholar] [CrossRef]
- Zhu, J.-H.; Young, B. Aluminum Alloy Tubular Columns—Part II: Parametric Study and Design Using Direct Strength Method. Thin-Walled Struct. 2006, 44, 969–985. [Google Scholar] [CrossRef]
- Wang, Y.; Fan, F.; Lin, S. Experimental Investigation on the Stability of Aluminium Alloy 6082 Circular Tubes in Axial Compression. Thin-Walled Struct. 2015, 89, 54–66. [Google Scholar] [CrossRef]
- Li, L.; Dahboul, S.; Verma, P.; Dey, P.; Fafard, M.; Boissonnade, N. An Experimental Study on the Local Instability of Aluminium Circular Hollow Sections. In Proceedings of the CSCE Annual Conference, Moncton, NB, Canada, 24–27 May 2023. [Google Scholar]
- Abaqus Abaqus 6.11; Dassault Systemes Simulia Corporation: Providence, RI, USA, 2011.
- Zhou, F.; Young, B. Concrete-Filled Double-Skin Aluminum Circular Hollow Section Stub Columns. Thin-Walled Struct. 2018, 133, 141–152. [Google Scholar] [CrossRef]
- Meng, X.; Gardner, L. Cross-Sectional Behaviour of Cold-Formed High Strength Steel Circular Hollow Sections. Thin-Walled Struct. 2020, 156, 106822. [Google Scholar] [CrossRef]
- Buchanan, C.; Real, E.; Gardner, L. Testing, Simulation and Design of Cold-Formed Stainless Steel CHS Columns. Thin-Walled Struct. 2018, 130, 297–312. [Google Scholar] [CrossRef]
- Meng, X.; Gardner, L. Simulation and Design of Semi-Compact Elliptical Hollow Sections. Eng. Struct. 2020, 202, 109807. [Google Scholar] [CrossRef]
- Guo, L.; Liu, Y.; Jiao, H.; An, S. Behavior of Thin-Walled Circular Hollow Section Stub Columns under Axial Compression. Int. J. Steel Struct. 2016, 16, 777–787. [Google Scholar] [CrossRef]
- Ramberg, W.; Osgood, W.R. Description of Stress-Strain Curves by Three Parameters; Technical Note No. 902; National Advisory Committee for Aeronautics: Washington, DC, USA, 1943. [Google Scholar]
- Hill, H.N. Determination of Stress-Strain Relations from “Offset” Yield Strength Values; Technical Note No. 927; National Advisory Committee for Aeronautics: Washington, DC, USA, 1944. [Google Scholar]
- Tristan, C. Development of an Alternative Design Method for Aluminium Open Cross-Sections Using the Overall Interaction Concept. Master’s Thesis, Civil and Water Engineering Department, Laval University, Quebec City, QC, Canada, 2022. [Google Scholar]
- Boissonnade, N.; Hayeck, M.; Saloumi, E.; Nseir, J. An Overall Interaction Concept for an Alternative Approach to Steel Members Design. J. Constr. Steel Res. 2017, 135, 199–212. [Google Scholar] [CrossRef]
- Li, L.; Gérard, L.; Langlois, S.; Boissonnade, N. O.I.C.-Based Design of Mono-Symmetric I-Sections under Simple Load Cases. Thin-Walled Struct. 2022, 174, 109134. [Google Scholar] [CrossRef]
- Li, L.; Gérard, L.; Kettler, M.; Boissonnade, N. The Overall Interaction Concept for the Design of Hot-Rolled and Welded I-Sections under Combined Loading. Thin-Walled Struct. 2022, 172, 108623. [Google Scholar] [CrossRef]
- Li, L.; Fafard, M.; Boissonnade, N. Local and Global Instabilities of Rolled T-Section Columns under Axial Compression. Thin-Walled Struct. 2022, 178, 109517. [Google Scholar] [CrossRef]
- Li, L.; Boissonnade, N. Local/Global Coupled Instabilities of Slender I-Sections under Compression. Thin-Walled Struct. 2022, 172, 108842. [Google Scholar] [CrossRef]
- Gérard, L.; Li, L.; Kettler, M.; Boissonnade, N. Steel I-Sections Resistance under Compression or Bending by the Overall Interaction Concept. J. Constr. Steel Res. 2021, 182, 106644. [Google Scholar] [CrossRef]
- Beyer, A.; Gardner, L.; Meng, X.; Taras, A. Reliability Assessment for the Generalized Slenderness Based Resistance Method for Circular and Elliptical Hollow Sections. CE/Papers 2021, 4, 2140–2148. [Google Scholar] [CrossRef]
- Ayrton, W.E.; Perry, J. On Struts. Engineer 1886, 62, 513–515. [Google Scholar]
- Maquoi, R.; Rondal, J. Mise En Équation Des Nouvelles Courbes Européennes de Flambement. Constr. Métallique 1978, 15, 17–30. [Google Scholar]









| Cross-Section | E [MPa] | σ0.2 [MPa] | D [mm] | t [mm] | L [mm] | ωmeasured [mm] | ez [mm] | Nu,Exp. [kN] | Nu,F.E. [kN] | Nu,F.E./Nu,Exp. [-] |
|---|---|---|---|---|---|---|---|---|---|---|
| CHS 6x3/16-SC1 | 69,045 | 234 | 152.18 | 4.85 | 399.43 | 0.641 | 0 | 576.65 | 549.08 | 0.95 |
| CHS 6x3/16-SC2 | 152.05 | 4.84 | 399.01 | 0.970 | 0 | 540.38 | 550.21 | 1.02 | ||
| CHS 6x3/16-e20-BC1 | 152.06 | 4.85 | 399.64 | 1.217 | 10.32 | 443.09 | 448.36 | 1.01 | ||
| CHS 6x3/16-e20-BC2 | 152.12 | 4.86 | 399.75 | 0.978 | 14.27 | 425.23 | 426.56 | 1.00 | ||
| CHS 6x3/16-e50-BC11 | 152.11 | 4.82 | 448.79 | 0.444 | 59.28 | 232.60 | 276.51 | 1.19 | ||
| CHS 6x3/16-e50-BC2 | 152.08 | 4.87 | 399.74 | 0.761 | 55.59 | 259.88 | 280.23 | 1.08 | ||
| CHS 6x3/16-e70-BC1 | 152.10 | 4.88 | 398.88 | 0.873 | 94.40 | 202.34 | 205.43 | 1.02 | ||
| CHS 6x3/16-e70-BC21 | 152.15 | 4.89 | 399.45 | 0.926 | 92.40 | 182.88 | 208.41 | 1.14 | ||
| CHS 8x1/8-SC1 | 65,549 | 276 | 202.67 | 3.24 | 598.67 | 0.860 | 0 | 481.68 | 522.78 | 1.09 |
| CHS 8x1/8-SC2 | 202.56 | 3.26 | 598.82 | 1.182 | 0 | 489.05 | 520.01 | 1.06 | ||
| CHS 8x1/8-e30-BC1 | 202.90 | 3.19 | 598.34 | 0.771 | 27.50 | 364.48 | 384.30 | 1.05 | ||
| CHS 8x1/8-e30-BC2 | 202.96 | 3.20 | 598.70 | 1.321 | 29.12 | 375.52 | 380.85 | 1.01 | ||
| CHS 8x1/8-e40-BC1 | 202.90 | 3.25 | 598.37 | 0.821 | 43.45 | 325.39 | 329.03 | 1.01 | ||
| CHS 8x1/8-e40-BC2 | 202.96 | 3.20 | 598.82 | 1.026 | 42.60 | 314.45 | 320.03 | 1.02 | ||
| CHS 8x1/8-e55-BC1 | 202.54 | 3.45 | 598.95 | 0.877 | 59.72 | 270.18 | 281.02 | 1.04 | ||
| CHS 8x1/8-e55-BC2 | 202.54 | 3.45 | 599.00 | 0.960 | 56.03 | 281.76 | 296.05 | 1.05 | ||
| Mean | 1.05 | |||||||||
| C.O.V. | 0.05 |
| Load Case | λ0 | αL | δ | β |
|---|---|---|---|---|
| N | 0.35 | 0.32 | 0.40 | 1.0 |
| M | 0.25 | 1.45 | 1.45 | 1.0 |
| Load Cases | Proposals | Mean | C.O.V. | Max. | Min. | <0.85 [%] | >1.05 [%] | >1.10 [%] |
|---|---|---|---|---|---|---|---|---|
| All | O.I.C. | 0.939 | 0.051 | 1.060 | 0.827 | 1.6 | 0.8 | 0.0 |
| Eurocode 9 | 0.917 | 0.087 | 1.172 | 0.746 | 19.8 | 4.0 | 1.6 | |
| N | O.I.C. | 0.945 | 0.040 | 1.005 | 0.865 | 0.0 | 0.0 | 0.0 |
| Eurocode 9 | 0.904 | 0.081 | 1.032 | 0.774 | 23.8 | 0.0 | 0.0 | |
| M | O.I.C. | 0.932 | 0.059 | 1.060 | 0.827 | 3.2 | 1.6 | 0.0 |
| Eurocode 9 | 0.930 | 0.091 | 1.172 | 0.746 | 15.9 | 7.9 | 3.2 |
Disclaimer/Publisher’s Note: The statements, opinions and data contained in all publications are solely those of the individual author(s) and contributor(s) and not of MDPI and/or the editor(s). MDPI and/or the editor(s) disclaim responsibility for any injury to people or property resulting from any ideas, methods, instructions or products referred to in the content. |
© 2023 by the authors. Licensee MDPI, Basel, Switzerland. This article is an open access article distributed under the terms and conditions of the Creative Commons Attribution (CC BY) license (https://creativecommons.org/licenses/by/4.0/).
Share and Cite
Li, L.; Dahboul, S.; Verma, P.; Dey, P.; Fafard, M.; Boissonnade, N. O.I.C.-Based Design of Aluminum Circular Hollow Sections under Compression or Pure Bending. Eng. Proc. 2023, 43, 31. https://doi.org/10.3390/engproc2023043031
Li L, Dahboul S, Verma P, Dey P, Fafard M, Boissonnade N. O.I.C.-Based Design of Aluminum Circular Hollow Sections under Compression or Pure Bending. Engineering Proceedings. 2023; 43(1):31. https://doi.org/10.3390/engproc2023043031
Chicago/Turabian StyleLi, Liya, Sahar Dahboul, Prachi Verma, Pampa Dey, Mario Fafard, and Nicolas Boissonnade. 2023. "O.I.C.-Based Design of Aluminum Circular Hollow Sections under Compression or Pure Bending" Engineering Proceedings 43, no. 1: 31. https://doi.org/10.3390/engproc2023043031
APA StyleLi, L., Dahboul, S., Verma, P., Dey, P., Fafard, M., & Boissonnade, N. (2023). O.I.C.-Based Design of Aluminum Circular Hollow Sections under Compression or Pure Bending. Engineering Proceedings, 43(1), 31. https://doi.org/10.3390/engproc2023043031

