Next Article in Journal
Fabrication of Aluminum-Based Hybrid Nanocomposite for Photocatalytic Degradation of Methylene Blue Dye: A Techno-Economic Approach
Previous Article in Journal
Being Resilient in Challenging Times in Food Supply Chains
 
 
Font Type:
Arial Georgia Verdana
Font Size:
Aa Aa Aa
Line Spacing:
Column Width:
Background:
Proceeding Paper

Fault Detection of Multi-Rate Two Phase Reactor Condenser System with Recycle Using Multiple Probabilistic Principal Component Analysis †

Chemical Engineering Department, Dharmsinh Desai University, Nadiad-387001, Gujarat, India
*
Author to whom correspondence should be addressed.
Presented at the 2nd International Electronic Conference on Processes: Process Engineering—Current State and Future Trends (ECP 2023), 17–31 May 2023; Available online: https://ecp2023.sciforum.net/.
Eng. Proc. 2023, 37(1), 91; https://doi.org/10.3390/ECP2023-14669
Published: 17 May 2023

Abstract

:
Fault detection in multi-rate process systems is a challenging task. Common techniques used for fault detection include threshold-based detectors, statistical detectors, and machine learning-based detectors. One such statistical detector technique is multiple probabilistic principal component analysis (MPPCA). MPPCA uses probabilistic PCA to detect fault signals from multiple sensors without down-sampling or up-sampling. This paper uses MPPCA to detect faults in a two-phase reactor–condenser system with recycle (TPRCR) with three measurement classes. These measurement data are used to build the MPPCA model using expectation maximization (EM). Based on this, T2 and SPE statistics are generated for fault detection in TPRCR systems, and the MPPCA approach’s effectiveness for fault detection is satisfactory.

1. Introduction

Modern chemical industries focus on detecting and diagnosing faults as early as possible to increase production yield [1]. Effective fault-detection techniques available in the literature require the regular availability of measurements [1]. However, some variables in chemical processes are measured online, while other qualitative variables are measured offline. Measurement of these offline quality variables requires human involvement, which makes the system an irregularly sampled multi-rate system [2]. Fault-detection techniques for multi-rate systems include state space estimation techniques and data-based modelling methods. State space estimation techniques require accurate system models, which are difficult to model for complex chemical engineering systems. Compared to the above methods, another data-driven approach uses measurement data to model the system’s behaviour. These data-driven methods for multi-rate systems require down-sampling, up-sampling and re-sampling. While the down-sampling approaches will lose essential information during modelling, the up-sampling methods heavily rely on the correctness of the predictions [3]. In most chemical processes, the variation in sample rates is too significant, resulting in unmanageable complexity in the re-sampling models. The MPPCA method does not require down-sampling, up-sampling and re-sampling of multi-rate data. It uses multi-rate data to build an inferential model that can handle multiple measurement classes. The MPPCA method is an extension of probabilistic principal component analysis (PPCA) which uses the EM algorithm for parameter tuning.
In this study, the effectiveness of the MPPCA method in detecting various faults for the multi-rate nonlinear chemical process TPRCR is studied, and fault detection is carried out by using T2 and SPE statistics.
The remainder of this paper is organised as follows. Section 2 gives details about the MPPCA method and model parameter estimation. Then, Section 3 details the TPRCR model. Section 4 implements a fault-detection technique on TPRCR. Finally, conclusions are made in the last section.

2. MPPCA Method

The MPPCA model combines several-rate data into a single model without down- or up-sampling. In our article, we have considered the MPPCA model with three different classes of measurements, and it is given by the following equations:
x 1 = Ø 1 t + ε 1
x 2 = Ø 2 t + ε 2
x 3 = Ø 3 t + ε 3
In Equations (1)–(3), x1 ∈ RK1×M1, x2 ∈ RK2×M2, and x3 ∈ RK3×M3 are three different rate measurements classes in which x3 is the slowest and x1 is the fastest measurement. Ø 1 ∈ RM1×D, Ø 2 ∈ RM2×D and Ø 3 ∈ RM3×D are loading matrices with three different sampling rates. t ∈ RD is a latent variable which extracts a restricted link between data with varied sampling rates and helps develop one single model. The latent variable is assumed to have a Gaussian distribution with a zero mean and unit variance. ε1 ∈ RM1, ε2 ∈ RM2 and ε3 ∈ RM3 are used to model the corresponding isotropic Gaussian noises.
The sequence of the measurements can be altered for easier notation and visualisation on the premise that all sample variables are independent. The whole observation (V) comprises three divisions of the observed data. The first sample contains all observations with dimensions M1 + M2 + M3 (V3), the following sample variables have dimensions M1 + M2 (V2), and the last one contains only M1 (V1) variables. As a result, the entire observation set is expressed as a union of all three.
V = V 3 V 2 V 1
The EM technique is used to estimate model parameters for the MPPCA model. The method repeats the expectation step (E-step) and the maximisation step (M-step) until convergence. In the E-step, the current model parameters are utilised to estimate the posterior distributions of the latent variables. The model parameters are then adjusted in the M-step by maximising log likelihood. One reference contains a detailed explanation of the step of the EM algorithm for MPPCA training [4].
SPE statistics can be used to detect abnormal behaviour in measurements. There are three different classes of measurements, so three different SPE statistics are used to detect any anomaly in measurement.
S P E 1 = x 1 Ø 1 t
S P E 2 = x 2 Ø 2 t
S P E 3 = x 3 Ø 3 t
Since each SPE statistic is compiled based on the prediction errors of different classes of measurements, it clearly shows that a given fault is caused by a certain class of measurements. The confidence bound of SPE statistics can be predicted by χ2-distributed approximation: SPE~g. χ h 2 , in which g and h are the parameters of the χ2 distribution, and they are given by [5].
g h = m e a n S P E
2 g 2 h = v a r S P E

3. Two-Phase Reactor–Condenser System with Recycle

The process depicted in Figure 1 includes a two-phase reactor and condenser [6]. Reactants A and B are introduced into the reactor at molar flow rates FA and FB and temperatures TA and TB, respectively, in the vapour and liquid phases. Reactant A diffuses into the liquid phase at rate NA1, where an exothermic reaction occurs, which is given by Equation (10).
A + B → 2C
Product C diffuses into the vapour phase at a rate Nc1, whereas reactant B is non-volatile. The interphase mass transfer resistance is assumed to be minimal, and the Arrhenius equation provides the reaction rate in the bulk liquid phase, which is given by Equation (11).
r A = k 10 exp E a R T 1 M 1 l ρ x A 1 x B 1
where rA is the rate at which reactant A is consumed at temperature T1. The preexponential factor and activation energy are denoted by k10 and Ea, respectively. M 1 l is the liquid molar holdup in the reactor, and ρ is the liquid density. xA1 and xB1 are A and B mole fractions in the liquid phase. For the sake of simplicity, heat capacity, density, and molar heat of vaporisation are considered to be constant and equal for all species. The liquid and vapour phases are suitable combinations. The liquid stream from the reactor is withdrawn at a constant flow rate F1l, while the vapour stream enters the condenser at a flow rate F1v. The vapour in the condenser is cooled to T2 to improve product purity by eliminating reactant A from the liquid.
The reactant A-rich liquid phase in the condenser is returned to the reactor at a flow rate of F2l, while the product vapour phase departs the condenser at a flow rate of F2v and a composition of yA2.
Equations (12)–(29) give a detailed differential algebraic equation (DAE) model used to train the MPPCA model for data generation.
M ˙ 1 l = F B F 1 l + F 2 l + N A 1 N C 1
x ˙ A 1 = 1 M 1 l F B x A 1 + F 2 l x A 2 x A 1 + N A 1 1 x A 1 + N C 1 x A 1 r A
x ˙ B 1 = 1 M 1 l [ F B 1 x B 1 F 2 l x B 1 N A 1 x B 1 + N C 1 x B 1 r A
M ˙ 1 v = F A F 1 v N A 1 + N C 1
y ˙ A 1 = 1 M 1 v F A 1 y A 1 N A 1 1 y A 1 N C 1 y A 1
T ˙ 1 = 1 M 1 l + M 1 v [ F A T A T 1 + F B T B T 1 + F 2 l T 2 T 1 + N A 1 N C 1 Δ H v C P Q 1 C P + r A Δ H r C P ]
M ˙ 2 l = N A 2 + N C 2 F 2 l
x ˙ A 2 = 1 M 2 l N A 2 1 x A 2 N C 2 x A 2
M ˙ 2 v = F 1 v F 2 v N A 2 N C 2
y ˙ A 2 = 1 M 2 v F 1 v y A 1 y A 2 N A 2 1 y A 2 + N C 2 y A 2
T ˙ 2 = 1 M 2 l + M 2 v F 1 v T 1 T 2 + ( N A 2 + N C 2 Δ H v C p Q 2 C P ]
0 = N A 1 k A a y A 1 y A 1 * M 1 l ρ
0 = N C 1 k C a y c 1 * 1 y A 1 M 1 l ρ
0 = N A 2 k A a y A 2 y A 2 * M 2 l ρ
0 = N C 2 k C a 1 y A 2 y C 2 * M 2 l ρ
0 = P 1 V 1 T M 1 l ρ M 1 v R T 1
0 = P 2 V 2 T M 2 l ρ M 2 v R T 2
0 = P 1 P 2 1 0.09 ( F 1 v ) 7 4
The system parameter values are given in Table 1.

4. Fault Detection Using MPPCA for the TPRCR System

Three types of measurements are used to train the MPPCA model. Fast-rate measurements include temperature, pressure, and flow rates available every second (x1). Medium-rate measurements include molar holdups available every fifteen seconds (x2), and slow-rate measurements include mole fractions available every sixty seconds (x3).
The MPPCA model is trained with 7200 samples of fast-rate measurements, 480 samples of medium-rate measurements, and 120 samples of slow-rate observations. The fault identification capability of the MPPCA approach is assessed using the six categories of faults indicated in Table 2.
For a fair comparison, all detection models in this work have a level of significance of 0.99 for the SPE and T2 statistics. Table 3 shows the false alarm rates for normal data and the missing detection rates for faults, where Fault 0 represents normal test data and that the monitoring results are false alarm rates. The false alarm rate is the fraction of normal data that is interpreted as problem data. Similarly, the missing detection rate is the fraction of the defect data that are treated as normal data. Table 3 shows the monitoring results of all faults using T2 and different SPE statistics for the MPPCA model.
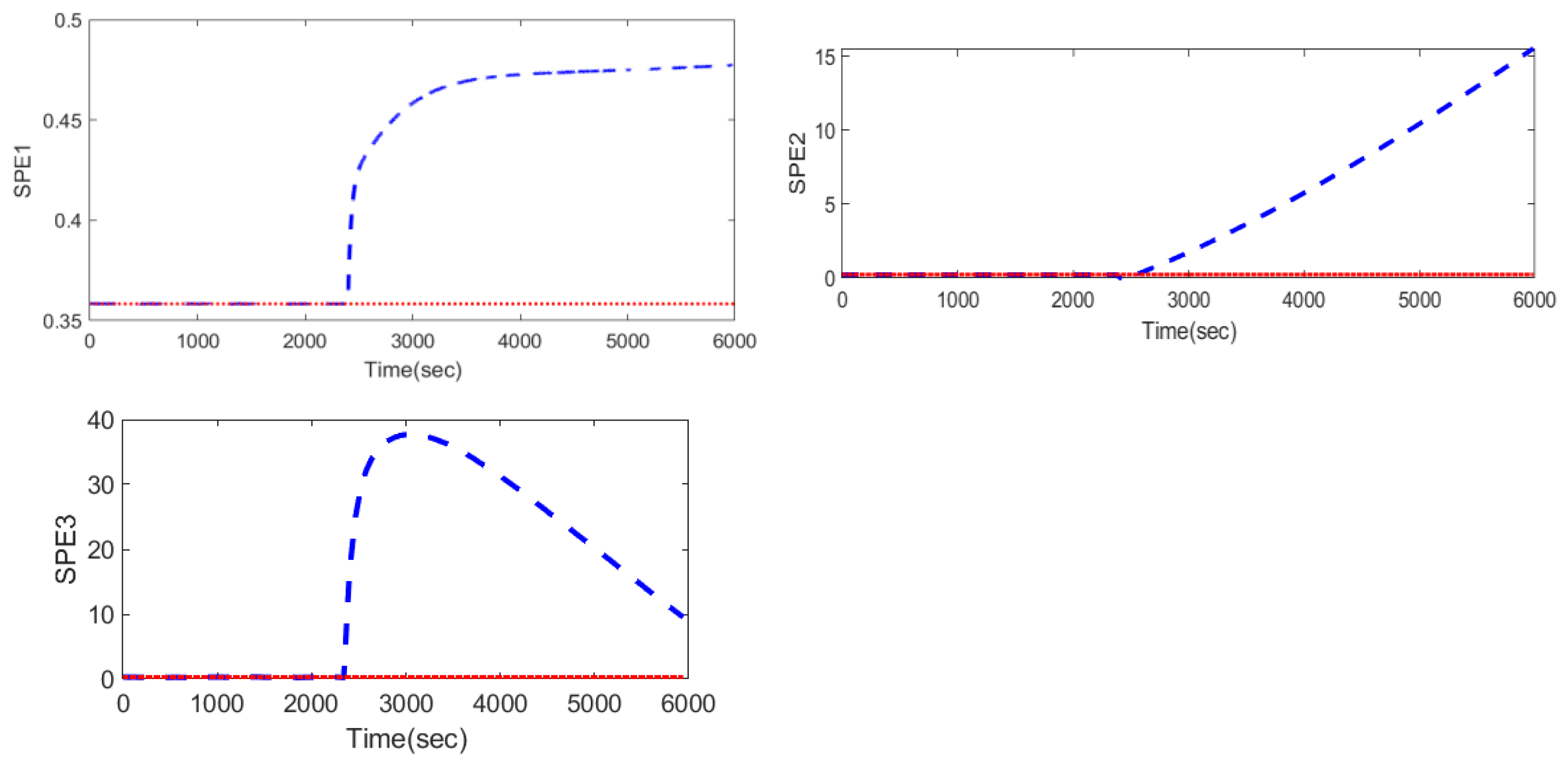
Three different SPE statistics are used to see which fault will have an effect on which SPE statistic. Figure 2 shows SPE statistics for the fault in flow rate of A (FA), which suggests that this fault affects all three SPE statistics.

5. Conclusions

In this paper, the TPRCR system is modelled as a multi-rate system due to the involvement of qualitative variables, including three different classes of measurements. These measurements are used to develop the MPPCA model using the EM algorithm. This developed MPPCA model is used to detect faults by developing T2 and three different SPE statistics for each measurement class. Six different types of faults are used to check the effectiveness of the developed MPPCA model, and, from the monitoring results, we can clearly say that the MPPCA model can detect faults with a high detection rate.

Author Contributions

Conceptualization, D.G. and M.S.; methodology, D.G. and M.S.; investigation, D.G. and M.S.; writing—original draft preparation, D.G.; writing—review and editing, M.S.; supervision, M.S. All authors have read and agreed to the published version of the manuscript.

Funding

This research received no external funding.

Institutional Review Board Statement

Not applicable.

Informed Consent Statement

Not applicable.

Data Availability Statement

Not applicable.

Conflicts of Interest

The authors declare no conflict of interest.

References

  1. Venkatasubramanian, V.; Rengaswamy, R.; Yin, K.; Kavuri, S.N. A review of fault detection and diagnosis. Part III: Process history based methods. Comput. Chem. Eng. 2003, 27, 327–346. [Google Scholar] [CrossRef]
  2. Srinivasarao, M.; Patwardhan, S.C.; Gudi, R.D. Nonlinear predictive control of irregularly sampled data systems using identified observers. Lect. Notes Control Inf. Sci. 2007, 358, 141–149. [Google Scholar] [CrossRef]
  3. Zhu, J.; Ge, Z.; Song, Z. Robust semi-supervised mixture probabilistic principal component regression model development and application to soft sensors. J. Process Control 2015, 32, 25–37. [Google Scholar] [CrossRef]
  4. Zhou, L.; Chen, J.; Jie, J.; Song, Z. Multiple probability principal component analysis for process monitoring with multi-rate measurements. J. Taiwan Inst. Chem. Eng. 2019, 96, 18–28. [Google Scholar] [CrossRef]
  5. Box, G.E.P. Some Theorems on Quadratic Forms Applied in the Study of Analysis of Variance Problems, I. Effect of Inequality of Variance in the One-Way Classification. Ann. Math. Stat. 1954, 25, 290–302. [Google Scholar] [CrossRef]
  6. Kumar, A.; Daoutidis, P. Feedback Regularization and Control of Nonlinear Differential-Algebraic-Equation Systems. AIChE J. 1996, 42, 2175–2198. [Google Scholar] [CrossRef]
Figure 1. Schematic Diagram of TPRCR system.
Figure 1. Schematic Diagram of TPRCR system.
Engproc 37 00091 g001
Figure 2. Monitoring results of Fault 1.
Figure 2. Monitoring results of Fault 1.
Engproc 37 00091 g002
Table 1. TPRCR system parameter.
Table 1. TPRCR system parameter.
ParameterDescriptionValueUnit
aInterfacial mass transfer area/unit liquid holdup1000m2/m3
CpMolar heat capacity80J/mol K
EaActivation energy110kJ/mol
KProportional gain of pressure controller−8mol/s atm
K10Preexponential factor2.88 × 1011m3/mol s
kaOverall mass transfer coefficient for A0.2mol/m2 s
kcOverall mass transfer coefficient for C0.8mol/m2 s
M1lLiquid molar holdup in reactor14.52kmol
M2lLiquid molar holdup in condenser15kmol
M1vVapour molar holdup in reactor3.75kmol
M2vVapour molar holdup in condenser3.90Kmol
P1Pressure in reactor50atm
P2Pressure in condenser48.69atm
P*Set point for reactor pressure50atm
TATemperature of feed A315K
TBTemperature of feed B300K
T1Temperature in reactor330K
T2Temperature in condenser304.16K
V1TVolume of reactor3m3
V2TVolume of condenser3m3
ρ Liquid molar density15,000mol/m3
Δ H r Heat of reaction−50kJ/mol
Δ H v Heat of vaporization10kJ/mol
Table 2. Fault description in the TRPCR system.
Table 2. Fault description in the TRPCR system.
Fault No.Fault TypeFault Introduced (s)
1Step jump in flow rate of A (FA)2400
2Step jump in flow rate of B (FB)2400
3Step jump in temperature of A (TA)2400
4Step jump in temperature of B (TB)2400
5Ramp jump in flow rate of A (0.0004 × t)2400
6Ramp jump in temperature of A (0.003 × t)2400
Table 3. Fault monitoring results using T2 and SPE statistics.
Table 3. Fault monitoring results using T2 and SPE statistics.
Fault NoT2SPE1SPE2SPE3
00.0210.0010.0040.0001
10.0350.0230.090.008
20.0670.0650.0110.034
30.0010.0010.0010.001
40.8540.6730.7650.231
50.3130.4520.0230.045
60.2010.1210.1110.201
Disclaimer/Publisher’s Note: The statements, opinions and data contained in all publications are solely those of the individual author(s) and contributor(s) and not of MDPI and/or the editor(s). MDPI and/or the editor(s) disclaim responsibility for any injury to people or property resulting from any ideas, methods, instructions or products referred to in the content.

Share and Cite

MDPI and ACS Style

Gandhi, D.; Srinivasarao, M. Fault Detection of Multi-Rate Two Phase Reactor Condenser System with Recycle Using Multiple Probabilistic Principal Component Analysis. Eng. Proc. 2023, 37, 91. https://doi.org/10.3390/ECP2023-14669

AMA Style

Gandhi D, Srinivasarao M. Fault Detection of Multi-Rate Two Phase Reactor Condenser System with Recycle Using Multiple Probabilistic Principal Component Analysis. Engineering Proceedings. 2023; 37(1):91. https://doi.org/10.3390/ECP2023-14669

Chicago/Turabian Style

Gandhi, Dhrumil, and Meka Srinivasarao. 2023. "Fault Detection of Multi-Rate Two Phase Reactor Condenser System with Recycle Using Multiple Probabilistic Principal Component Analysis" Engineering Proceedings 37, no. 1: 91. https://doi.org/10.3390/ECP2023-14669

APA Style

Gandhi, D., & Srinivasarao, M. (2023). Fault Detection of Multi-Rate Two Phase Reactor Condenser System with Recycle Using Multiple Probabilistic Principal Component Analysis. Engineering Proceedings, 37(1), 91. https://doi.org/10.3390/ECP2023-14669

Article Metrics

Back to TopTop