Reliability Analysis of Hydraulic System of a Tunnel-Erecting Machine Based on Dynamic Fault Tree and Bayesian Network †
Abstract
:1. Introduction
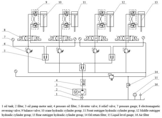
2. Working Principle of Hydraulic System of Tunnel-Erecting Machine
3. Construction of DFTA-BN Model of the Hydraulic System
3.1. DFTA Modeling of the Hydraulic System
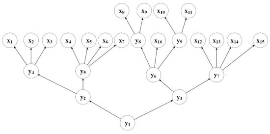
3.2. BN Modeling of the Hydraulic System
4. Reliability Analysis of Hydraulic System Based on DFTA-BN
4.1. Node Failure Probability Reasoning
4.2. Posterior Probabilistic Inference
4.3. Sensitivity Analysis
5. Conclusions
Author Contributions
Funding
Institutional Review Board Statement
Informed Consent Statement
Data Availability Statement
Conflicts of Interest
References
- Yue, F.; Chen, S.Y.; Liu, B.W.; Liao, K.; Zhu, B.; Jiao, X.L. Seismic Calculation Method of Shallow-Buried Prefabricated Corrugated Steel Utility Tunnels. Prog. Steel Build. Struct. 2022, 24, 111–120. [Google Scholar]
- Yan, Z.H.; Yan, J.J.; Mo, J.J.; Chen, Y.; Liu, Q.S.; Li, Y.Q.; Hu, Z.Z. Experimental study and estimation method of dynamic coefficient in hoisting precast slab of utility tunne. Concrete 2019, 8, 135–140. [Google Scholar]
- Liu, Z.M.; Long, Z.X. Research on Production Technology of Assembly-type Prefabricated Pipe Rack. Railw. Constr. Technol. 2018, 6, 84–86, 122. [Google Scholar]
- Purba, J.H. A fuzzy-based reliability approach to evaluate basic events of fault tree analysis for nuclear power plant probabilistic safetyassessment. Ann. Nucl. Energy 2014, 70, 21–29. [Google Scholar] [CrossRef]
- Rogith, D.; Iyengar, M.S.; Singh, H. Using fault trees to advance understanding of diagnostic errors. Jt. Comm. J. Qual. Patient Saf. 2017, 43, 598–605. [Google Scholar] [CrossRef]
- Wu, Y.; Tao, J. Dynamic Fault Tree Analysis Based on T-S Model for Loader Hydraulic System. Chin. Hydraul. Pneum. 2020, 11, 171–176. [Google Scholar]
- Li, P.; Fan, J.; Liu, S.J. Quantitative analysis of borehole collapse in drilling base on fault tree analysis and Bayesian networks. J. Saf. Sci. Technol. 2014, 10, 143–149. [Google Scholar]
- Li, F.; Yuan, Z.K.; He, Z.X.; Wang, H. T-S Fuzzy Fault Tree Model Based Reliability Analysis on Leg Hydraulic Circuit of Automobile Crane. Mach. Tool Hydraul. 2018, 46, 160–163. [Google Scholar]
- Wang, W.H.; Cheng, G.; Zhang, D.K. Reliability Analysis of Lifting Hydraulic System for Electrical Haulage Shearer Based on DFTA. Chin. Hydraul. Pneum. 2011, 5, 52–55. [Google Scholar]
- Chen, D.N.; Yao, C.Y.; Dang, Z. Reliability Analysis of Multi-state Hydraulic System Based on T-S Fuzzy Fault Tree and Bayesian networks. China Mech. Eng. 2013, 24, 899–905. [Google Scholar]
- Yao, C.Y.; Rao, L.Q.; Chen, D.N. T-S dynamic fault tree analysis method. J. Mech. Eng. 2019, 55, 17–32. [Google Scholar]




| Basic Event Name | ||
|---|---|---|
| Motor failure | 6.8 | |
| Hydraulic pump failure | 7.9 | |
| Auxiliary oil pump failure | 7.9 | |
| Oil suction filter failure | 0.8 | |
| Oil return filter failure | 1.3 | |
| Fine filter failure | 0.6 | |
| Insufficient fuel supply in the tank | 1.3 | |
| High frictional resistance of the jacking cylinder | 1.44 | |
| High back pressure of the return oil of the jacking cylinder | 1.35 | |
| High friction resistance of the traverse cylinder | 1.44 | |
| High back pressure of the traverse cylinder | 1.35 | |
| Diverter valve failure | 10.5 | |
| Balance valve failure | 10.5 | |
| Relief valve failure | 11.7 | |
| Solenoid valve failure | 12.0 | |
| Poor guiderail lubrication | 10.4 |
| Serial Number | |||||||
|---|---|---|---|---|---|---|---|
| 1 | 2 | 3 | 4 | 5 | |||
| 1 | 1 | 1 | 1 | 0 | 0 | 0 | 0 |
| 2 | 1 | 2 | 1 | 0 | 0 | 0 | 0 |
| 3 | 1 | 3 | 1 | 0 | 0 | 0 | 0 |
| 25 | 5 | 5 | 0 | 0 | 0 | 0 | 1 |
| Period | Failure Rate |
|---|---|
| 1 | 0.196163 |
| 2 | 0.157369 |
| 3 | 0.126729 |
| 4 | 0.102016 |
| Period | |||||
|---|---|---|---|---|---|
| 1 | 2 | 3 | 4 | ||
| 0.020338 | 0.024347 | 0.029442 | 0.035404 | 0.109530 | |
| 0.024220 | 0.028967 | 0.034930 | 0.042130 | 0.130247 | |
| 0.024220 | 0.028967 | 0.034930 | 0.042130 | 0.130247 | |
| 0.002049 | 0.002499 | 0.003046 | 0.003714 | 0.011309 | |
| 0.003328 | 0.004185 | 0.004950 | 0.006038 | 0.018500 | |
| 0.001528 | 0.001863 | 0.002271 | 0.002769 | 0.008430 | |
| 0.003328 | 0.004185 | 0.004950 | 0.006038 | 0.018500 | |
| 0.003758 | 0.004586 | 0.005441 | 0.006798 | 0.020584 | |
| 0.003540 | 0.004193 | 0.005264 | 0.006240 | 0.019237 | |
| 0.003758 | 0.004586 | 0.005441 | 0.006798 | 0.020584 | |
| 0.003540 | 0.004193 | 0.005264 | 0.006240 | 0.019237 | |
| 0.033941 | 0.040602 | 0.048668 | 0.058313 | 0.181524 | |
| 0.033941 | 0.040602 | 0.048668 | 0.058313 | 0.181524 | |
| 0.038716 | 0.046314 | 0.055298 | 0.065984 | 0.206311 | |
| 0.040037 | 0.047631 | 0.057100 | 0.067961 | 0.212729 | |
| 0.033601 | 0.040185 | 0.047975 | 0.057688 | 0.179450 | |
| Period | |||||
|---|---|---|---|---|---|
| 1 | 2 | 3 | 4 | ||
| 0.092257 | 0.092724 | 0.093124 | 0.093505 | 0.371610 | |
| 0.107016 | 0.107543 | 0.107998 | 0.108440 | 0.430998 | |
| 0.107016 | 0.107543 | 0.107998 | 0.108440 | 0.430998 | |
| 0.011067 | 0.011125 | 0.011177 | 0.011227 | 0.044596 | |
| 0.017866 | 0.017964 | 0.018043 | 0.018124 | 0.071997 | |
| 0.008297 | 0.008340 | 0.008377 | 0.008415 | 0.033429 | |
| 0.017866 | 0.017964 | 0.018043 | 0.018124 | 0.071997 | |
| 0.019812 | 0.019920 | 0.020006 | 0.018831 | 0.078569 | |
| 0.018562 | 0.018663 | 0.018749 | 0.018826 | 0.074799 | |
| 0.019812 | 0.019920 | 0.020006 | 0.018831 | 0.078569 | |
| 0.018562 | 0.018663 | 0.018749 | 0.018826 | 0.074799 | |
| 0.141295 | 0.141963 | 0.142503 | 0.143044 | 0.568805 | |
| 0.141295 | 0.141963 | 0.142503 | 0.143044 | 0.568805 | |
| 0.156927 | 0.157652 | 0.158219 | 0.158787 | 0.631584 | |
| 0.160898 | 0.161609 | 0.162205 | 0.162770 | 0.647480 | |
| 0.139992 | 0.140653 | 0.141175 | 0.141725 | 0.563544 | |
Publisher’s Note: MDPI stays neutral with regard to jurisdictional claims in published maps and institutional affiliations. |
© 2022 by the authors. Licensee MDPI, Basel, Switzerland. This article is an open access article distributed under the terms and conditions of the Creative Commons Attribution (CC BY) license (https://creativecommons.org/licenses/by/4.0/).
Share and Cite
Wang, G.; Yang, J.; Hou, R. Reliability Analysis of Hydraulic System of a Tunnel-Erecting Machine Based on Dynamic Fault Tree and Bayesian Network. Eng. Proc. 2022, 24, 13. https://doi.org/10.3390/IECMA2022-12888
Wang G, Yang J, Hou R. Reliability Analysis of Hydraulic System of a Tunnel-Erecting Machine Based on Dynamic Fault Tree and Bayesian Network. Engineering Proceedings. 2022; 24(1):13. https://doi.org/10.3390/IECMA2022-12888
Chicago/Turabian StyleWang, Gangfeng, Junkang Yang, and Runfeng Hou. 2022. "Reliability Analysis of Hydraulic System of a Tunnel-Erecting Machine Based on Dynamic Fault Tree and Bayesian Network" Engineering Proceedings 24, no. 1: 13. https://doi.org/10.3390/IECMA2022-12888
APA StyleWang, G., Yang, J., & Hou, R. (2022). Reliability Analysis of Hydraulic System of a Tunnel-Erecting Machine Based on Dynamic Fault Tree and Bayesian Network. Engineering Proceedings, 24(1), 13. https://doi.org/10.3390/IECMA2022-12888

