A Framework for Integrity Monitoring for Positioning Through Graph-Based SLAM Optimization †
Abstract
1. Introduction
2. Navigation Method
2.1. Visual Odometry
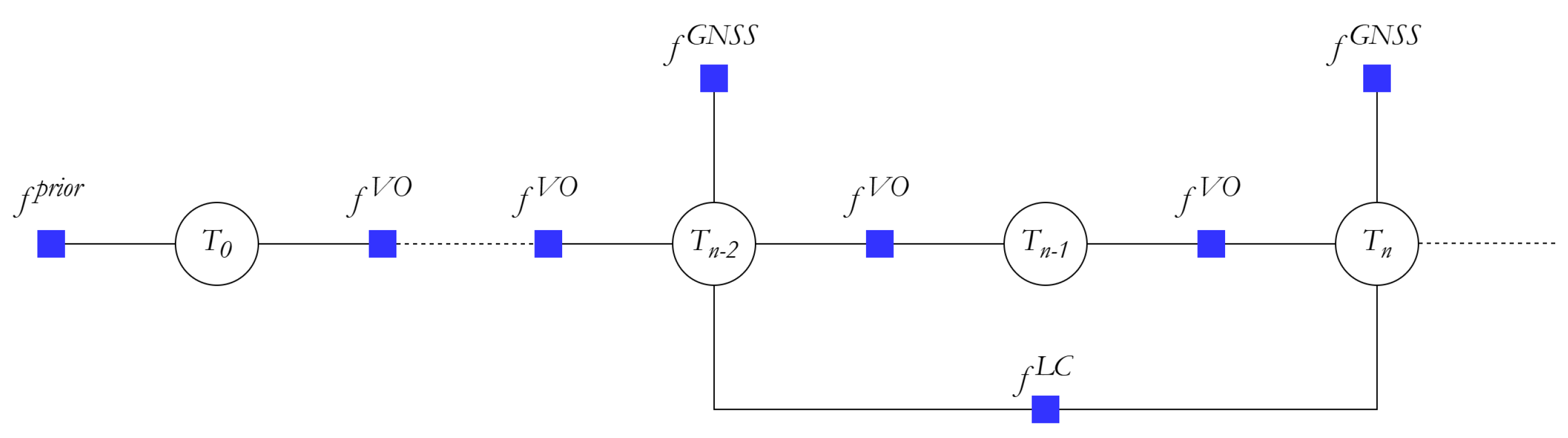
2.2. Factor Graph Optimization
3. Integrity Monitoring
3.1. Visual Odometry Integrity Monitoring
3.2. SLAM System Integrity Monitoring
4. Simulated Experiments
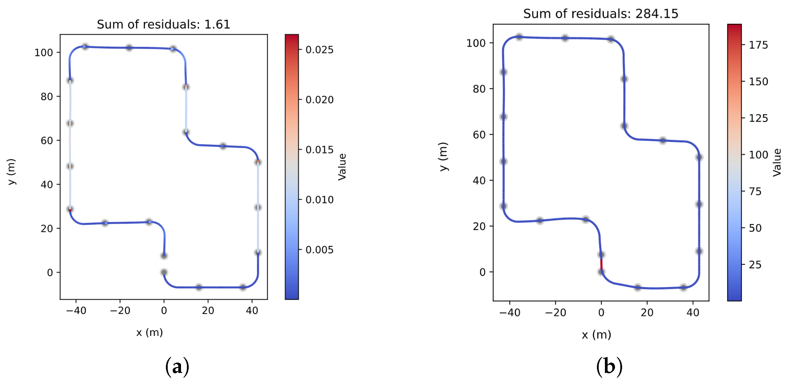
4.1. Fault Detection for Pure VO Navigation
4.2. Fault Detection for GNSS/VO-Fusion Based Navigation
5. Conclusions and Discussion
- Accurate estimation of the VO noise model by adequate estimation of the covariance matrix, which is needed to calculate mathematically funded protection levels.
- Estimation of the direction and magnitude of spoofed GNSS signals to correct historical GNSS data for optimal position estimation.
- Incorporation of a feedback loop from the fusion-level IM to the sensor-level IM. When inconsistencies are detected on a global scale, the local sensor-level IM could be tasked to specifically investigate the conflicting measurements in a separate thread.
Author Contributions
Funding
Institutional Review Board Statement
Informed Consent Statement
Data Availability Statement
Acknowledgments
Conflicts of Interest
References
- Joerger, M.; Chan, F.; Pervan, B. Solution Separation Versus Residual-Based RAIM. Navigation 2014, 61, 273–291. [Google Scholar] [CrossRef]
- Diesel, J.; Luu, S. GPS/IRS AIME: Calculation of thresholds and protection radius using chi-square methods. In Proceedings of the 8th International Technical Meeting of the Satellite Division of the Institute of Navigation, Palm Springs, CA, USA, 12–15 September 1995; pp. 1959–1964. [Google Scholar]
- Ye, Q.; Gu, Y.; Li, L.; Du, F.; Li, R. Integrity Monitoring for GNSS/INS Integrated Navigation Based on Improved AIME. In Proceedings of the China Satellite Navigation Converence 2024 Proceedings, Jinan, China, 22–24 May 2024. [Google Scholar]
- Wen, W.; Pfeifer, T.; Bai, X.; Hsu, L.T. Factor graph optimization for GNSS/INS integration: A comparison with the extended Kalman Filter. Navigation 2021, 68, 315–331. [Google Scholar] [CrossRef]
- Wen, W.; Meng, Q.; Hsu, L.T. Integrity monitoring for GNSS positioning via factor graph optimization in urban canyons. In Proceedings of the 34th International Technical Meeting of the Satellite Division of the Institute of Navigation (ION GNSS+ 2021), Online, 20–24 September 2024; pp. 1508–1515. [Google Scholar]
- Engwerda, H.; Snijders, M.; Casals Sadlier, J. Experimental results of integrity monitoring for UAV flights in urban environment leveraging image based masking. In Proceedings of the 2023 International Technical Meeting of the Institute of Navigation, Long Beach, CA, USA, 24–26 January 2023; pp. 413–427. [Google Scholar]
- Snijders, M.; Engwerda, H.; Fidalgo, J.; Domínguez, E.; Moreno, G.; Buendia, F.; Duque, J.P.; Martínez, J.; Martini, I.; Sgammini, M.; et al. Advanced Receiver Autonomous Integrity Monitoring (ARAIM) for Unmanned Aerial Vehicles. Eng. Proc. 2023, 54, 46. [Google Scholar] [CrossRef]
- Kaess, M.; Ni, K.; Dellaert, F. Flow separation for Fast and Robust Stereo Odometry. In Proceedings of the 2009 IEEE International Conference on Robotics and Automation, Kobe, Japan, 12–17 May 2009; pp. 3539–3544. [Google Scholar]
- Xia, X.; Wen, W.; Hsu, L.T. Integrity-constrained Factor Graph Optimization for GNSS Positioning in Urban Canyons. In Proceedings of the 2023 IEEE/ION Position, Location and Navigation Symposium (PLANS), Monterey, CA, USA, 24–27 April 2023; pp. 414–420. [Google Scholar]
- Labbé, M.; Michaud, F. RTAB-Map as an open-source lidar and visual simultaneous localization and mapping library for large-scale and long-term online operation. J. Field Robot. 2019, 36, 416–446. [Google Scholar] [CrossRef]
- Bradski, G. The OpenCV Library. Dr. Dobb’s J. Softw. Tools 2000, 120, 122–125. [Google Scholar]








Disclaimer/Publisher’s Note: The statements, opinions and data contained in all publications are solely those of the individual author(s) and contributor(s) and not of MDPI and/or the editor(s). MDPI and/or the editor(s) disclaim responsibility for any injury to people or property resulting from any ideas, methods, instructions or products referred to in the content. |
© 2026 by the authors. Licensee MDPI, Basel, Switzerland. This article is an open access article distributed under the terms and conditions of the Creative Commons Attribution (CC BY) license.
Share and Cite
Bekkers, S.; Engwerda, H. A Framework for Integrity Monitoring for Positioning Through Graph-Based SLAM Optimization. Eng. Proc. 2026, 126, 25. https://doi.org/10.3390/engproc2026126025
Bekkers S, Engwerda H. A Framework for Integrity Monitoring for Positioning Through Graph-Based SLAM Optimization. Engineering Proceedings. 2026; 126(1):25. https://doi.org/10.3390/engproc2026126025
Chicago/Turabian StyleBekkers, Sam, and Heiko Engwerda. 2026. "A Framework for Integrity Monitoring for Positioning Through Graph-Based SLAM Optimization" Engineering Proceedings 126, no. 1: 25. https://doi.org/10.3390/engproc2026126025
APA StyleBekkers, S., & Engwerda, H. (2026). A Framework for Integrity Monitoring for Positioning Through Graph-Based SLAM Optimization. Engineering Proceedings, 126(1), 25. https://doi.org/10.3390/engproc2026126025

