Design of Novel HS/HC/HT Twitch Aluminum Alloys †
Abstract
1. Introduction
2. Experimental Procedure
3. Computational Procedure
3.1. Thermodynamic Calculations
3.2. Strengthening Model
3.3. Electrical Conductivity Model
4. Results
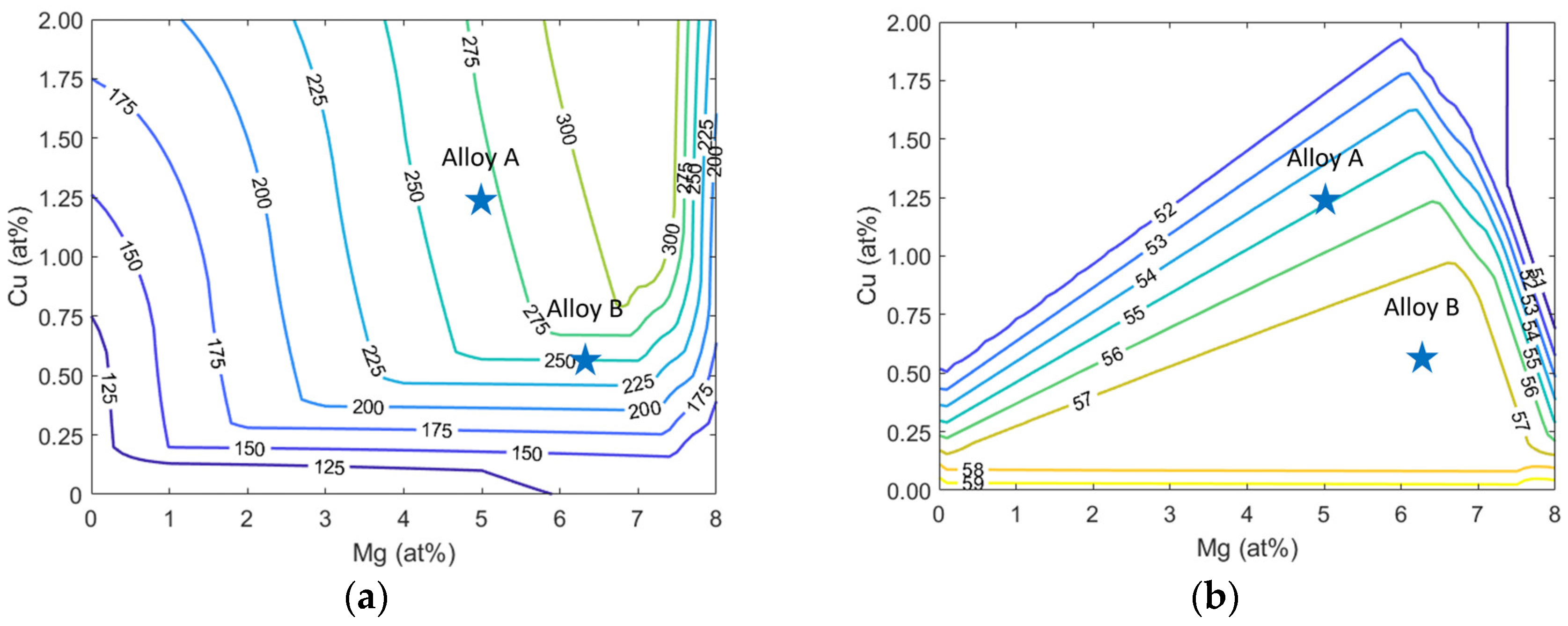
4.1. Strengthening and Electrical Resistivity Model Results
4.2. Experimental Results
5. Conclusions
- Experimental electrical resistivity and hardness measurements suggest that thermodynamic equilibrium conditions have not been reached yet for any of the alloys annealed at 250 °C, 280 °C, and 300 °C for 7 days. Among the tested conditions, alloy A shows the lowest electrical resistivity at 280 °C, while alloy C meets the strength requirement of 180 MPa.
- Alloy C presents the highest electrical resistivity under all tested conditions. This is attributed to the addition of Mn, a slow-diffusing element, as supported by alloy C’s elevated hardness measurements.
- Si has the highest electrical resistivity sensitivity according to the electrical resistivity model. Alloy A exhibits the lowest electrical resistivity in as-cast conditions, possible due to the formation of Si-rich phases, such as the Q phase during solidification.
Author Contributions
Funding
Institutional Review Board Statement
Informed Consent Statement
Data Availability Statement
Acknowledgments
Conflicts of Interest
References
- Shankar, S.; Gois, N.; Molstad, E.; Söderhjelm, C.; Apelian, D. Upcycling of Low Quality Aluminum Automotive Scrap: The DNA of Twitch. Inter Met. 2024, 19, 2544–2555. [Google Scholar] [CrossRef]
- Alawar, A.; Bosze, E.J.; Nutt, S.R. A Composite Core Conductor for Low Sag at High Temperatures. IEEE Trans. Power Deliv. 2005, 20, 2193–2199. [Google Scholar] [CrossRef]
- Alshmri, F. Rapid Solidification Processing: Melt Spinning of Al-High Si Alloys. AMR 2011, 383–390, 1740–1746. [Google Scholar] [CrossRef]
- Kim, K.; Bobel, A.; Baik, S.-I.; Walker, M.; Voorhees, P.W.; Olson, G.B. Enhanced Coarsening Resistance of Q-phase in Aluminum alloys by the addition of Slow Diffusing Solutes. Mater. Sci. Eng. A 2018, 735, 318–323. [Google Scholar] [CrossRef]
- Bobel, A.C. High-Temperature Cast Aluminum for Efficient Engines. Doctoral Thesis, Nortwesten University, Evanston, IL, USA, 2017. [Google Scholar]
- Ryen, Ø.; Holmedal, B.; Nijs, O.; Nes, E.; Sjölander, E.; Ekström, H.-E. Strengthening mechanisms in solid solution aluminum alloys. Met. Mater Trans A 2006, 37, 1999–2006. [Google Scholar] [CrossRef]
- Dixit, M.; Mishra, R.S.; Sankaran, K.K. Structure—Property correlations in Al 7050 and Al 7055 high-strength aluminum alloys. Mater. Sci. Eng. A 2008, 478, 163–172. [Google Scholar] [CrossRef]
- Nie, J.F.; Muddle, B.C. Strengthening of an Al–Cu–Sn alloy by deformation-resistant precipitate plates. Acta Mater. 2008, 56, 3490–3501. [Google Scholar] [CrossRef]
- Wang, Y.; Zhu, L.; Niu, G.; Mao, J. Conductive Al Alloys: The Contradiction between Strength and Electrical Conductivity. Adv Eng Mater 2021, 23, 2001249. [Google Scholar] [CrossRef]
- Eivani, A.R.; Valipour, S.; Ahmed, H.; Zhou, J.; Duszczyk, J. Effect of the size distribution of nanoscale dispersed particles on the Zener drag pressure. Metall. Mater. Trans. A Phys. Metall. Mater. Sci. 2011, 42, 1109–1116. [Google Scholar] [CrossRef]
- Aluminum Company of America. Aluminum: Properties, Physical Metallurgy and Phase Diagrams; Van Horn, K.R., Ed.; ASM: Metals Park, OH, USA, 1967. [Google Scholar]




| Alloys | Al | Mg | Si | Cu | Fe | Mn | Zn |
|---|---|---|---|---|---|---|---|
| A | Bal. | 4.42 | 4.21 | 2.88 | 0.59 | 0.25 | 0.60 |
| B | Bal. | 5.61 | 4.26 | 1.26 | 0.59 | 0.25 | 0.60 |
| C | Bal. | 5.58 | 4.24 | 1.25 | 0.59 | 1.21 | 0.60 |
| Electrical Resistivity Sensitivity | Mg | Si | Cu | Fe | Mn | Zn |
|---|---|---|---|---|---|---|
| μΩ cm wt%−1 at 20 °C | 0.54 | 1.02 | 0.344 | 0.052 | 2.94 | 0.09 |
Disclaimer/Publisher’s Note: The statements, opinions and data contained in all publications are solely those of the individual author(s) and contributor(s) and not of MDPI and/or the editor(s). MDPI and/or the editor(s) disclaim responsibility for any injury to people or property resulting from any ideas, methods, instructions or products referred to in the content. |
© 2025 by the authors. Licensee MDPI, Basel, Switzerland. This article is an open access article distributed under the terms and conditions of the Creative Commons Attribution (CC BY) license (https://creativecommons.org/licenses/by/4.0/).
Share and Cite
Tzini, M.-I.T.; Olson, G.B. Design of Novel HS/HC/HT Twitch Aluminum Alloys. Eng. Proc. 2025, 119, 28. https://doi.org/10.3390/engproc2025119028
Tzini M-IT, Olson GB. Design of Novel HS/HC/HT Twitch Aluminum Alloys. Engineering Proceedings. 2025; 119(1):28. https://doi.org/10.3390/engproc2025119028
Chicago/Turabian StyleTzini, Maria-Ioanna T., and Gregory B. Olson. 2025. "Design of Novel HS/HC/HT Twitch Aluminum Alloys" Engineering Proceedings 119, no. 1: 28. https://doi.org/10.3390/engproc2025119028
APA StyleTzini, M.-I. T., & Olson, G. B. (2025). Design of Novel HS/HC/HT Twitch Aluminum Alloys. Engineering Proceedings, 119(1), 28. https://doi.org/10.3390/engproc2025119028

