Next Article in Journal
Implementation of the VGG19 Model with Transfer Learning for Retinal Disease Diagnosis: A Study on Normal Eyes, Diabetic Retinopathy, Cataract, and Glaucoma Datasets
Previous Article in Journal
Water Refilling Stations for Monitoring Water Quality Using Sensors
 
 
Font Type:
Arial Georgia Verdana
Font Size:
Aa Aa Aa
Line Spacing:
Column Width:
Background:
Proceeding Paper

Web-Based Solid Waste Management System and Plastic Combustion Detection Using Internet of Things Technology †

by
Jazteen Dane G. Busa
,
Carylle Marie M. Go
,
Kriztoffer Rei G. Manuntag
,
Vincent Ice Sarmiento
and
Adomar L. Ilao
*
Information Technology Department, College of Computer and Information Science, Mapúa Malayan Colleges Laguna, Laguna 4025, Philippines
*
Author to whom correspondence should be addressed.
Presented at the 2025 IEEE 5th International Conference on Electronic Communications, Internet of Things and Big Data, New Taipei, Taiwan, 25–27 April 2025.
Eng. Proc. 2025, 108(1), 53; https://doi.org/10.3390/engproc2025108053
Published: 26 September 2025

Abstract

The implementation and monitoring of Republic Act (RA) 9003 of the Philippines presents significant challenges due to the vast area and limited number of implementing enforcers. RA 9003 focuses on ecological solid management systems. The law relies on citizens’ identification of violators. In this study, we developed a plastic combustion monitoring system, Green Guardian, which detects and monitors methane (CH4), carbon dioxide (CO2), and carbon monoxide (CO) concentrations using the Internet of Things technology. The system was tested in Barangay in Cabuyao City, Laguna, Philippines. This system supports RA 9003 implementation, enabling efficient tracking, reporting, and management of plastic combustion incidents. By using self-calibration testing, third-party testing, isolation testing, location testing, and user acceptance test (UAT), the system’s accuracy and reliability were validated.

1. Introduction

Plastics are used for industry, agriculture, packaging, and transportation. A staggering 400 million tons of plastics are produced annually. However, the world generates 52 million metric tons of plastics every year, which has become a major global issue. In the Philippines, lawmakers enacted Republic Act 9003 to regulate solid waste management. The law establishes institutional mechanisms, offering incentives for compliance while imposing penalties for violations. The Philippines has a significant issue with single-use plastic, generating between 2.7 and 5.5 million metric tons of plastic waste annually, with approximately 20% leaking into the environment [1].
Different methods have been designed to handle plastic garbage to either break it down or transform it into a usable form. Plastic wastes are separated from other types of waste for recycling [2]. Currently, the global disposal of plastic waste is a significant challenge. Existing research has proposed various strategies for the disposal of plastic trash, including landfilling, incineration, recycling, use in road building, conversion into petroleum-based goods, and degradation. The Philippines employs several methods for waste disposal, including landfills, collectors, recycling, scavengers, waterway dumping, and burning [3]. Unfortunately, most Filipinos are burning plastics [4]. However, burning plastic produces air pollutants including polychlorinated biphenyls (PCBs), polycyclic aromatic hydrocarbons (PAHs), dioxins, and furans [5]. Such air pollutants are the third most significant contributor to mortality and disability from non-communicable diseases in the Philippines [6]. Furthermore, the impact of air pollution extends beyond individuals and communities, affecting entire landscapes. Many low- and middle-income countries have adopted unregulated practices, such as openly burning plastic, which has led to the serious issue of toxic air pollution. Therefore, innovative technological solutions are essential to addressing the complexities of this environmental challenge.

2. Literature Review

Plastic waste management is important, particularly in developing countries, including the Philippines, where poverty significantly drives the demand for disposable products [7]. Traditional waste management methods, such as landfilling, recycling, and incineration, are widely used but with notable challenges. Landfills occupy significant land areas and contribute to secondary environmental pollution. Recycling, while potentially cost-effective, suffers from a lack of investment incentives, limiting its widespread adoption. Incineration, though efficient in terms of space, raises concerns about harmful emissions into the atmosphere [8].
In the Philippines, waste management is further complicated by improper disposal practices. A significant portion of formally collected waste ends up in open or regulated dump sites, and while recycling efforts are growing, they face numerous challenges. Informal scavenging plays a crucial role in collecting recyclable materials, including plastics, which are often sold to recycling centers. However, illegal dumping of waste into waterways remains a significant issue, contributing heavily to ocean pollution [9].
The environmental and health impacts of plastic waste are profound. Open burning of waste, which includes plastics, releases toxic gases such as dioxins, furans, mercury, and polychlorinated biphenyls, which pose severe health risks [10,11,12]. Additionally, plastic, particularly low-density polyethylene (LDPE), emits methane and ethylene when exposed to sunlight, contributing to greenhouse gas emissions [13]. From the combustion of various plastic polymers, different toxic gases are released. For instance, burning polystyrene (PS), polyethylene (PE), and poly (vinyl chloride) (PVC) releases varying levels of carbon monoxide (CO) and carbon dioxide (CO2) depending on combustion conditions [14]. Additionally, polyethylene terephthalate (PET) and polystyrene are major contributors to black carbon emissions when burned, highlighting the environmental dangers of improper plastic waste disposal [15]. Therefore, optimized combustion processes are required to minimize harmful emissions.
In response to these challenges, various policies have been enacted to address plastic and air pollution in the Philippines. The Philippines is a signatory to the Stockholm Convention on Persistent Organic Pollutants (POPs), committing to reducing or eliminating the release of harmful pollutants [16]. Additionally, the Republic Act 8749, known as the Clean Air Act of the Philippines, sets air quality standards and promotes cleaner technologies to mitigate air pollution. More recently, Republic Act No. 11898, the Extended Producer Responsibility Act of 2022, was enacted to mandate large enterprises to develop and implement programs for collecting plastic packaging, thereby reducing plastic waste at its source.
Despite these regulatory frameworks, illegal activities continue to pose significant environmental risks. These activities arise from negligence and deliberate actions for financial gain, taking advantage of regional disparities in labor costs and environmental regulations [17]. Therefore, the deployment of IoT technology to monitor and detect plastic combustion incidents is important to enhance the enforcement of environmental regulations and prevent illegal disposal practices.

3. Methodology

By using Extreme Programming (XP), we conducted requirement analysis and formulated the release plan, iteration plan, customer approval, and final product to develop a solid waste management system. This method is commonly used for web application development. The steps are shown in Figure 1.
In the planning stage, we gathered data through user stories and sorted them to create a release plan. For uncertain requirements, additional research, known as “spikes”, was conducted, involving interviews to gather more data to identify relevant sensors to detect chemicals released by burning plastic. A simple, responsive prototype design of software and hardware was created and modified through testing, calibration, and system integration to meet the system requirements and project objectives. In the coding phase, software was developed and finetuned using dummy data. Alpha testing and beta testing were used on both software and hardware for the refinement of the developed system. In the listening phase, client feedback was gathered to modify the software and incorporate changes into the next iteration.

4. Results

4.1. Self-Calibration of Sensors

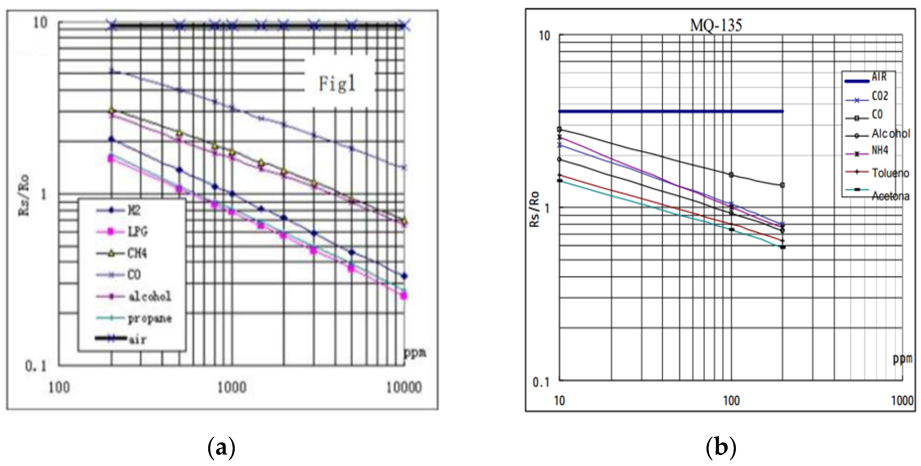
Self-calibration was conducted by comparing the output data from the MQ2 gas sensors used in the prototype with the datasheet and specifications provided by the manufacturer. The sensors were tested for various gases to calibrate. We calculated the slope of regression lines of detected and standard data using the manufacturer-provided formula to determine the theoretical value and assess the error in the sensor data [18,19]. Figure 2 shows the concentrations on the horizontal axis and the Rs/Ro ratio on the vertical axis, reflecting the sensor’s resistance. Mathematically, determining a particular ppm value involves referencing the graph in the datasheet and identifying the corresponding Rs/Ro ratio. Figure 2a,b illustrates the linear relationship of concentrations in ppm, from which the slope is calculated to establish for self-calibration [20].
For CO, CH4, and CO2 sensors, Rs/Ra ratio ranges and slopes were (2.3–0.72, −0.34), (2.3–0.48, −0.40), and (1.03–0.36, −0.02). The calibration results for CH4 was m = (−0.157407608 − 0.484567453)/(4 − 2.303895551), which yielded a slope of 0.378499721. For CO, the slope was −0.398351, calculated from m = (−0.1573176 − 0.48)/(3.9 − 2.30011). Lastly, for CO2, the slope was –0.33208 from m = (−0.098404383 − 0.3617014)/(2.4155226 − 1.03). Figure 3 shows the algorithm to convert the output to the concentration in ppm. Table 1 shows the summary of the results of the self-calibration test.

4.2. Third-Party Testing

We evaluated the accuracy of detecting CO2, CO, and CH4 by comparing the readings with those from two different third-party devices used at the Land Transportation Office. Through the comparison, the reliability of the MQ135 and MQ2 gas sensors in the developed system was validated. An unpaired t-test was conducted to examine the difference between the third-party devices and the developed system. The statistical analysis results showed no significant differences in the data collected by the developed system and the third-party devices (Table 1). The p-values for all gases were above the threshold (0.05), indicating no significant difference between the two sets of readings. This confirmed that the developed system provided reliable and comparable data in line with third-party measurements.

4.3. Isolation Testing

Isolation testing was conducted to verify whether the data generated by the sensors aligned with ISO 9705 standards [21] where a customized container will be used to evaluate the fire performance on a selected scenario. The box with dimensions of 18.5 × 12 × 12 inches with gas sensors was mounted (Figure 4). A towel was burned to produce thick black smoke, allowing the sensors to measure the smoke concentration [22]. The butane gas, towel, paper bag, plastic bag, and a piece of bed cloth were burned for one minute to produce thick black smoke in the box. This setup allowed the sensors to measure the gases in the smoke.
Isolation testing was also performed in a clean-air setting to calibrate the sensors to ensure reliable measurement. Table 2 presents the observations, with highlighted values indicating increased readings of 28,445 ppm for CO and 6290 ppm for CO2, which align with ISO standards, as shown in Table 2.
Table 3 shows the concentration levels of gases accumulated and dissipated. The result suggested that the gas sensors met international standards and functioned properly in diverse settings [20].
To test the device’s ability to differentiate smoke from fire sources, we conducted an unpaired t-test. Table 4 shows the results and differences between burned materials with and without plastics. All p-values were below 0.05, indicating significant differences, with higher emissions from materials with plastics.
Table 5 shows the results of the second isolation testing, which also confirmed a significant difference between burned materials with and without plastics, with materials with plastics showing higher emissions of the gases. The results validated the sensors’ accuracy and reliability, confirming their alignment with ISO 9705 standards.
The location testing was conducted at a selected site in an unobstructed environment, free from buildings or dense foliage, facilitating an accurate assessment of the devices’ GPS performance. The accuracy of the recorded GPS locations was evaluated by comparing the system outputs with those of the third-party device. A Samsung Galaxy A22 smartphone was used with the Google Maps application. The latitude and longitude readings from the third-party device are shown in Figure 5.
Pin markers were used to show the geographical positions recorded by the global positioning system (GPS) modules for easy comparison with the reference location (Figure 6).
The high accuracy indicated that the system was reliable in open and unobstructed environments. This reliability is critical for the study’s focus on determining the location of plastic combustion incidents. The slight variation in latitude accuracy causes errors in satellite positioning or device sensitivity. The errors were within acceptable limits for most practical purposes (Table 6).
The developed system was installed in an empty site in Southwoods, Barangay San Francisco, Laguna, after conducting the self-calibration, third-party, and isolation testing as shown in Figure 7. The gas sensors were placed on the floor, and the data collected was sent to the cloud server to measure gas emissions.
Figure 8 illustrates the intercommunication structure among the system’s integral components. Gas sensors, namely MQ2 and MQ135, transmit raw data to the Arduino, complemented by the Neo-6M GPS module, which transmits geographical coordinates. The Arduino is responsible for the processing and transmission of the refined information to the WeMos D1 device through Wi-Fi. The cloud server also processes and stores the data, catering to user requests through a dedicated website interface.
The process of detecting gas emissions from plastic combustion involved regular monitoring and recording of CO, CH4, and CO2. The data was collected every 5 min for 24 h to ensure a comprehensive assessment of the gas concentrations in the environment (Table 7 and Figure 9).
The compatibility testing was conducted to ensure the website functions on various devices and browsers. The website was developed using Bootstrap, cascading style sheets (CSS), and hypertext preprocessor (PHP) for optimal compatibility with mobile browsers. The testing was carried out across various mobile and desktop browsers to ensure a seamless and optimized user experience. Table 8 and Table 9 display the compatibility of the developed system on different browsers.
A questionnaire survey was conducted to evaluate the website and improve the quality of the system and its applications. UAT was assessed by calculating the average scores, and the results were used to modify the website. The respondents included citizens and personnel from Barangay San Francisco and the City Environment and Natural Resources Office in the Philippines. The average score was 3.7, showing “Strongly Agree”. The developed system was considered reliable, with few crashes or errors, and the information provided was accurate and trustworthy (Figure 10).

5. Conclusions

This study developed a system for the monitoring and enforcement of Republic Act 9003, specifically addressing Section 4 paragraph 3, which prohibits the open burning of waste, including plastics. The designed and implemented system integrates MQ2 and MQ135 gas sensors to monitor the concentration of CO, CO2, and CH4. The system effectively identified the specific location where the violation occurred. The system contributes to environmental compliance and the enhancement of the effectiveness of regulatory enforcement, as it can be implemented in any location.

Author Contributions

Conceptualization, A.L.I.; methodology, A.L.I.; Software, J.D.G.B., C.M.M.G., K.R.G.M. and V.I.S.; Validation, A.L.I., J.D.G.B., C.M.M.G., K.R.G.M. and V.I.S.; Sensor, J.D.G.B., C.M.M.G. and K.R.G.M.; Analysis, A.L.I., J.D.G.B., C.M.M.G., K.R.G.M. and V.I.S.; Investigation, A.L.I., J.D.G.B., C.M.M.G., K.R.G.M. and V.I.S.; Documentation, A.L.I., J.D.G.B., C.M.M.G., K.R.G.M. and V.I.S.; Supervision, A.L.I.; Visualization, A.L.I., J.D.G.B., C.M.M.G., K.R.G.M. and V.I.S. All authors have read and agreed to the published version of the manuscript.

Funding

This research received no external funding.

Institutional Review Board Statement

This study was approved on 18 October 2024 by the Research Promotion and Coordination Office at the Mapúa Malayan Colleges Laguna.

Informed Consent Statement

Informed consent was obtained from all subjects involved in the study.

Data Availability Statement

Data is contained within the article.

Acknowledgments

The authors would like to express their sincere gratitude for the financial support given by the College of Computer and Information Science, Mapúa Malayan Colleges Laguna, Cabuyao City, Laguna, Philippines.

Conflicts of Interest

The authors declare no conflicts of interest.

References

  1. Schachter, J.; Karasik, R. Plastic Pollution Policy Country Profile: Philippines; Duke University, Nicholas Institute for Environmental Policy: Durham, NC, USA, 2022. [Google Scholar]
  2. Shahnawaz, M.; Sangale, M.K.; Ade, A.B. Plastic Waste Disposal and Reuse of Plastic Waste. In Bioremediation Technology for Plastic Waste; Springer: Singapore, 2019; pp. 21–30. [Google Scholar]
  3. Ocean Conservancy. Stemming the Tide: Land-Based Strategies for a Plastic-Free Ocean; McKinsey Center for Business and Environment: Washington, DC, USA, 2015. [Google Scholar]
  4. Pathak, G.; Nichter, M.; Hardon, A.; Moyer, E.; Latkar, A.; Simbaya, J.; Pakasi, D.; Taqueban, E.; Love, J. Plastic pollution and the open burning of plastic wastes. Glob. Environ. Chang. 2023, 80, 102648. [Google Scholar] [CrossRef]
  5. Manisalidis, I.; Stavropoulou, E.; Stavropoulos, A.; Bezirtzoglou, E. Environmental and Health Impacts of Air Pollution: A Review. Front. Public Health 2020, 8, 505570. [Google Scholar] [CrossRef] [PubMed]
  6. Myllyvirta, L.; Thieriot, H.; Suarez, I. Estimating the Health and Economic Cost of Air Pollution in the Philippines; Centre for Research on Energy and Clean Air: Helsinki, Finland, 2023. [Google Scholar]
  7. Wadhwa, S. Air Pollution by Burning Plastic: How is it Caused? 19 April 2019. Available online: https://repurpose.global/blog/post/a-burning-problem-plastic-and-air-pollution (accessed on 25 March 2025).
  8. Ilyas, M.; Ahmad, W.; Khan, H.; Yousaf, S.; Yousaf, H.; Khan, K.; Nazir, S. Plastic waste as a significant threat to environment, a systematic literature review. J. Rev. Environ. Health 2018, 33, 383–406. [Google Scholar] [CrossRef] [PubMed]
  9. Coracero, E.E.; Gallego, R.J.; Frago, K.J.M.; Gonzales, R.J.R. A Long-Standing Problem: A Review on the Solid Waste Management in the Philippines. Indones. J. Soc. Environ. Issues (IJSEI) 2021, 2, 213–220. [Google Scholar] [CrossRef]
  10. Verma, R.; Vinoda, K.S.; Papireddy, M.; Gowda, A.N.S. Toxic Pollutants from Plastic Waste–A Review. Procedia Environ. Sci. 2016, 35, 701–708. [Google Scholar] [CrossRef]
  11. Wang, X.; Firouzkouhi, H.; Chow, J.C.; Watson, J.G.; Carter, W.; De Vos, A.S.M. Characterization of gas and particle emissions from open burning of household solid waste from South Africa. Atmospheric Meas. Tech. 2023, 23, 8921–8937. [Google Scholar] [CrossRef]
  12. Islam, R.; Welker, J.; Salam, A.; Stone, E.A. Plastic Burning Impacts on Atmospheric Fine Particulate Matter at Urban and Rural Sites in the USA and Bangladesh. ACS Environ. Au 2022, 2, 409–417. [Google Scholar] [CrossRef] [PubMed]
  13. Royer, S.-J.; Ferrón, S.; Wilson, S.T.; Karl, D.M. Production of methane and ethylene from plastic in the environment. PLoS ONE 2018, 13, e0200574. [Google Scholar] [CrossRef]
  14. Wang, Z.; Wang, J.; Richter, H.; Howard, J.B.; Carlson, J.; Levendis, Y.A. Comparative Study on Polycyclic Aromatic Hydrocarbons, Light Hydrocarbons, Carbon Monoxide, and Particulate Emissions from the Combustion of Polyethylene, Polystyrene, and Poly(vinyl chloride). Energy Fuels 2003, 17, 999–1013. [Google Scholar] [CrossRef]
  15. Reyna-Bensusan, N.; Wilson, D.C.; Davy, P.M.; Fuller, G.W.; Fowler, G.D.; Smith, S.R. Experimental measurements of black carbon emission factors to estimate the global impact of uncontrolled burning of waste. Atmospheric Environ. 2019, 213, 629–639. [Google Scholar] [CrossRef]
  16. Environmental Management Bureau. Stockholm Convention on Persistent Organic Pollutants; Environmental Management Bureau: Geneva, Switzerland, 2004. [Google Scholar]
  17. Mihai, F.-C.; Gündoğdu, S.; Markley, L.A.; Olivelli, A.; Khan, F.R.; Gwinnett, C.; Gutberlet, J.; Reyna-Bensusan, N.; Llanquileo-Melgarejo, P.; Meidiana, C.; et al. Plastic Pollution, Waste Management Issues, and Circular Economy Opportunities in Rural Communities. Sustainability 2021, 14, 20. [Google Scholar] [CrossRef]
  18. Last Minute Engineers. Available online: https://lastminuteengineers.com/mq2-gas-senser-arduino-tutorial/#:~:text=MQ2%20Gas%20Sensor%20Module%20Hardware%20Overview,-The%20MQ2%20gas&text=The%20sensor%27s%20analog%20output%20voltage,the%20lower%20the%20output%20voltage (accessed on 15 November 2024).
  19. Martillano, D.A.; Dita, J.M.R.; Cruz, C.G.; Sadhra, K.S. Android Based Real-Time Industrial Emission Monitoring System Using IoT Technology. J. Commun. 2017, 12, 623–629. [Google Scholar] [CrossRef]
  20. Martillano, D.A.; Corpuz, J.N.; Disonglo, J.M.; France, J.B. Borehole and Near-Surface Greenhouse Gas Emission Monitoring System with Self-calibrating Algorithm and Zone-Based Data Analysis via Clustering Technique. Int. J. Environ. Sci. Dev. 2020, 11, 186–193. [Google Scholar]
  21. Lönnermark, A. TOXFIRE-Fire Characteristics and Smoke Gas Analysis in Under-Ventilated Large-Scale Combustion Experiments. Tests in the ISO 9705 Room. 1996. Available online: https://www.diva-portal.org/smash/get/diva2:961990/FULLTEXT01.pdf (accessed on 15 November 2024).
  22. World Health Organization. 2022. Available online: https://cdn.who.int/media/docs/default-source/country-profiles/environmental-health/environmental-health-phl-2022.pdf?sfvrsn=120c358f_4&download=true (accessed on 15 November 2024).
Figure 1. Extreme programming used in this study.
Figure 1. Extreme programming used in this study.
Engproc 108 00053 g001
Figure 2. (a) MQ2 and (b) MQ135 graphs.
Figure 2. (a) MQ2 and (b) MQ135 graphs.
Engproc 108 00053 g002
Figure 3. Algorithm to convert output to concentration in ppm.
Figure 3. Algorithm to convert output to concentration in ppm.
Engproc 108 00053 g003
Figure 4. Isolation testing.
Figure 4. Isolation testing.
Engproc 108 00053 g004
Figure 5. Location of device 1 (Left) and 2 (Right) on Google Map.
Figure 5. Location of device 1 (Left) and 2 (Right) on Google Map.
Engproc 108 00053 g005
Figure 6. GPS location on graphical user interface of developed system.
Figure 6. GPS location on graphical user interface of developed system.
Engproc 108 00053 g006
Figure 7. Implementation of developed system.
Figure 7. Implementation of developed system.
Engproc 108 00053 g007
Figure 8. System architecture.
Figure 8. System architecture.
Engproc 108 00053 g008
Figure 9. CO and CH4 data presented on the GUI of developed system.
Figure 9. CO and CH4 data presented on the GUI of developed system.
Engproc 108 00053 g009
Figure 10. (a) UAT results of citizens and (b) administrators.
Figure 10. (a) UAT results of citizens and (b) administrators.
Engproc 108 00053 g010
Table 1. Unpaired t-test result of different readings of sensors.
Table 1. Unpaired t-test result of different readings of sensors.
GasReading from the SensorsReadings from the Third-Party DevicesSignificancep-Value
Carbon Monoxide2122Not Significant0.9878
2624
1614
1716
2023
6365
Carbon Dioxide62366500Not Significant0.8644
60336500
62716500
88168500
75527500
84518500
Methane11.911Not Significant0.8519
6.937.3
9.98.2
4.34
4.34.1
6.937.3
Table 2. Expected gas concentration based on ISO 9705 Standards.
Table 2. Expected gas concentration based on ISO 9705 Standards.
Time for MeasurementTest
No.
Gas Concentration (Dose)
O2 [%]CO2 [ppm]CO [ppm]CO Dose [ppm min]HCN [ppm]
Photoelectric detector; minimum response time120.6146557630,859N/A
220.5179273331,384N/A
320.6143150217,855N/A
420.5186863922,690N/A
520.6163064318,985N/A
620.4209599357,903N/A
Table 3. Reading of MQ2 and MQ135 gas sensors.
Table 3. Reading of MQ2 and MQ135 gas sensors.
Measurement NumberCO (ppm)CO2 (ppm)CH4 (ppm)
1173690
2291591
33286962
424,679904525,064
531,080846120,024
6467291257660
717,008900723,510
815,232830024,725
96016789116,348
1019,200912211,164
1129,95289309432
129600955716,676
1324,19291978172
1417,600977821,002
1511,136980328,456
1624,89691225842
1717,152863721,430
1813,440808720,296
1912,28880879596
2019808722
Table 4. Unpaired t-test results between burned materials with and without plastics.
Table 4. Unpaired t-test results between burned materials with and without plastics.
GasAlphaOne-Tailed p-ValueMean Difference (Mean 2 − Mean 1)Interpretation
CO0.050.01135091.85Significantly higher emission of materials with plastic
CO20.050.0367786.2
CH40.054.9588 × 10−5546.75
Table 5. Unpaired t-test results between burned materials with and without plastics.
Table 5. Unpaired t-test results between burned materials with and without plastics.
GasAlphap-Value (One Tail)Mean Difference (Mean 2 − Mean 1)Interpretations
CO0.050.01135091.85Significantly higher emission of materials with plastic
CO20.050.0367786.2
CH40.054.9588 × 10−5546.75
Table 6. GPS location accuracy.
Table 6. GPS location accuracy.
Testing
Device
Reading from GPS
(Latitude and Longitude)
Reading from Third-Party Device
(Latitude and Longitude)
Accuracy for LatitudeAccuracy for Longitude
Device 114.327867, 121.05160114.327786, 121.05168699.9994%99.9999%
Device 214.3277607, 121.051747414.327849, 121.05158299.9994%99.9999%
Table 7. Gas emissions collection every 5 min for 24 h.
Table 7. Gas emissions collection every 5 min for 24 h.
Date and TimeCOCH4CO2
19 June 2024 13:03005136
19 June 2024 13:08005178
19 June 2024 13:13005307
19 June 2024 13:18005264
19 June 2024 13:24005136
19 June 2024 13:29005095
19 June 2024 13:34005095
19 June 2024 13:40005136
19 June 2024 13:45005053
Table 8. Compatibility for desktop browsers.
Table 8. Compatibility for desktop browsers.
BrowserChromeFirefoxSafariEdgeOpera
WindowsNA
MacNA
Table 9. Compatibility for mobile browsers.
Table 9. Compatibility for mobile browsers.
BrowserChromeFirefoxSafari
AndroidNA
iOS
Disclaimer/Publisher’s Note: The statements, opinions and data contained in all publications are solely those of the individual author(s) and contributor(s) and not of MDPI and/or the editor(s). MDPI and/or the editor(s) disclaim responsibility for any injury to people or property resulting from any ideas, methods, instructions or products referred to in the content.

Share and Cite

MDPI and ACS Style

Busa, J.D.G.; Go, C.M.M.; Manuntag, K.R.G.; Sarmiento, V.I.; Ilao, A.L. Web-Based Solid Waste Management System and Plastic Combustion Detection Using Internet of Things Technology. Eng. Proc. 2025, 108, 53. https://doi.org/10.3390/engproc2025108053

AMA Style

Busa JDG, Go CMM, Manuntag KRG, Sarmiento VI, Ilao AL. Web-Based Solid Waste Management System and Plastic Combustion Detection Using Internet of Things Technology. Engineering Proceedings. 2025; 108(1):53. https://doi.org/10.3390/engproc2025108053

Chicago/Turabian Style

Busa, Jazteen Dane G., Carylle Marie M. Go, Kriztoffer Rei G. Manuntag, Vincent Ice Sarmiento, and Adomar L. Ilao. 2025. "Web-Based Solid Waste Management System and Plastic Combustion Detection Using Internet of Things Technology" Engineering Proceedings 108, no. 1: 53. https://doi.org/10.3390/engproc2025108053

APA Style

Busa, J. D. G., Go, C. M. M., Manuntag, K. R. G., Sarmiento, V. I., & Ilao, A. L. (2025). Web-Based Solid Waste Management System and Plastic Combustion Detection Using Internet of Things Technology. Engineering Proceedings, 108(1), 53. https://doi.org/10.3390/engproc2025108053

Article Metrics

Back to TopTop