Next Article in Journal
Physico-Chemical Interaction in the Ag2Se–Zn(Cd, Hg, Pb)Se–SnSe2 Systems
Previous Article in Journal
X-ray Diffraction Study of Fluorine-Functionalized Thiosemicarbazones and Cyclometallated Compounds
 
 
Font Type:
Arial Georgia Verdana
Font Size:
Aa Aa Aa
Line Spacing:
Column Width:
Background:
Proceeding Paper

Peptides Incorporating 3,4-Dihydroxyprolines: Synthesis and Structural Study †

Centro Singular de Investigación en Química Biolóxica e Materiais Moleculares, Departamento de Química Orgánica, Universidade de Santiago de Compostela, 15782 Santiago de Compostela, Spain
*
Author to whom correspondence should be addressed.
Presented at the 25th International Electronic Conference on Synthetic Organic Chemistry, 15–30 November 2021; Available online: https://ecsoc-25.sciforum.net/.
Chem. Proc. 2022, 8(1), 72; https://doi.org/10.3390/ecsoc-25-11683
Published: 13 November 2021

Abstract

:
Although the most common types of secondary structures in proteins are helices and sheets, other types of structures also form, such as turns and loops. Turns play an important role, both structurally and functionally. With regard to the structural aspect, they intervene in the folding of the peptide chain, favoring the formation of a specific tertiary, globular or fibrous structure. With regard to the functional aspect, the turns are mainly located in the region of the proteins most exposed to the environment and, therefore, influence various processes, such as molecular and cellular recognition as well as interactions between peptide structures and nonpeptide substrates or receptors. In addition, the turns serve as templates for the design of new drugs, antigens and pesticides. The serine−proline sequence, in terms of its ability to induce β-turns, is present in proteins that regulate gene expression and DNA binding. In addition, this sequence is recognized as a substrate by numerous kinases, representing a preferential site for protein phosphorylation. As an application of our work on the synthesis of dihydroxyprolines, we will discuss the ability of the dihydroxyproline−proline domain to induce the formation of β-turns similar to those induced by the serine−proline pair in synthetic peptides. To this end, it is proposed to incorporate the proline−dihydroxyproline dimer (in blue) into peptide II. This novel peptide supports the possibility of the formation of hydrogen bonds similar to those of peptide I, which incorporates the serine−proline sequence (in blue).

1. Introduction

A protein’s secondary structure is the three-dimensional form taken by local segments of proteins. Although the most common types of structures are helices and sheets, other types of structures, such as turns and loops, also form [1]. The type of structure depends on the folding achieved by the protein as a result of the formation of hydrogen bonds between the carbonyl and NH groups of the peptide backbone.
Turns can be defined as the nonrepetitive units within the secondary structure of proteins. Among them, the β- and γ-turns are the most studied ones [2]. The third group within the turns are the α-spins, which are characterized and classified on the basis of the X-ray crystallographic study of about 190 proteins.
Turns play an important role, both structurally and functionally. With regard to the structural aspect, they intervene in the folding of the peptide chain, favoring the formation of a specific tertiary, globular or fibrous structure. With regard to the functional aspect, the turns are mainly located in the region of the proteins most exposed to the environment and, therefore, influence various processes, such as molecular and cellular recognition as well as interactions between peptide structures and nonpeptide substrates or receptors. In addition, the turns serve as templates for the design of new drugs, antigens and pesticides.
This communication refers to the case of the serine−proline sequence, in terms of its capacity to induce type I β-turns. This dipeptide is present in proteins that regulate gene expression and DNA binding. In addition, this sequence is recognized as a substrate by numerous kinases, representing a preferential site for protein phosphorylation [3].
An analysis of the serine−proline (SP) domains in the protein structures indicates a unique hydrogen bonding pattern. This domain features a hydrogen bond between the carbonyl oxygen of the Ser (i) residue and the amide proton of the i + 3 residue. However, in addition to this classical hydrogen bond, serine can participate in a side-chain to main-chain hydrogen bond to form two distinct patterns called serine−proline turns. In the 6 + 10 pattern (see Figure 1), the serine hydroxyl group forms a hydrogen bond with the main-chain amide proton of residue i + 3 to create a six-membered hydrogen-bonded ring adjacent to the classical ten-membered ring. In the 9 + 10 pattern (see Figure 1), the serine hydroxyl group forms a hydrogen bond with the amide proton of residue i + 2, creating a nine-membered hydrogen bonded ring, which intersects the classical ten-membered ring.
Under these conditions, the peptide has a 6 + 10-type structure.

2. Working Plan

As an application of our work on the synthesis of dihydroxyprolines, we decided to evaluate the ability of the dihydroxyproline−proline domain to induce the formation of β-turns, similar to those induced by the serine−proline pair in synthetic peptides. To this end, it is proposed to incorporate the dihydroxylated proline dimer highlighted in blue into the peptide III.
This novel peptide supports the possibility of a hydrogen bond formation similar to that of peptide II, which incorporates the serine−proline sequence (in blue). They would be as follows:
(1)
Main-chain hydrogen bonding, between the carbonyl oxygen of the Ser (i) residue and the amide proton of residue i + 3.
(2)
Hydrogen bonding of the side chain with the main chain, the hydroxyl group of the serine and the amide proton of residue i + 3.
It could form bonds, similar to those established by the serine−proline domain (Figure 2).
In accordance with this synthetic plan, the synthesis of tetrapeptide 5 was first carried out from the corresponding commercial amino acids (Scheme 2). The protection system used for the amino acids was the Boc/OMe system. For the deprotection of the amino groups, 1:2 mixtures of TFA/DCM were used. For peptide coupling, the DIC/HOBt system, DIEA base and DCM/DMF solvents were used as the activating agent/coupling agent. Under these conditions, we proceeded as follows:
According to our synthetic plan, we then proceeded to attach a unit of dihydroxyproline 7 to the N-terminal end of tetramer 5 (Scheme 3).
The last programmed coupling consisted of the incorporation of a leucine unit 10 to the N-terminal end of pentamer 9. This coupling was carried out under the peptide coupling conditions used in this section, previously deprotecting the terminal amino group of 8 by catalytic hydrogenation. This led to the hexamer 11, which was obtained with a yield of only 33%. This low yield may be due to the reactivity problems presented by amino acids with terminal acyl groups.
Finally, the two silylated groups of the dihydroxylated proline subunit were deprotected using TBAF as a fluoride source. This allowed us to obtain the desired hexapeptide 12.
A preliminary structural study based on the 1H NMR spectrum showed that the synthesized peptide 12 showed multiple conformations in the solution. In the aromatic region, between 6.0 ppm and 9.0 ppm, the signals corresponding to the amide protons, among other protons, appear. Figure 3 shows multiple signals for the same proton.
A similar situation was observed in DMSO-d6 (see Figure 4) with several signals associated with multiple conformations. In this case, due to the influence of the solvent used, the signals shift considerably, grouping into two regions, one between 5.30 and 5.90 ppm and the other between 7.70 and 8.30 ppm.
Given these results, it can be concluded that the presence of dihydroxylated proline is not capable of stabilizing a predominant structure of the peptide.

Author Contributions

Conceptualization, J.C.E.; methodology, J.C.E.; validation, R.J.E.; formal analysis, R.J.E.; investigation, R.B., A.J. and D.R.; resources, J.C.E.; data curation, R.J.E.; writing—original draft preparation, R.J.E.; writing—review and editing, R.J.E.; visualization, R.J.E.; supervision, R.J.E.; project administration, J.C.E.; funding acquisition, J.C.E. All authors have read and agreed to the published version of the manuscript.

Funding

This work has received financial support from the Xunta de Galicia (Centro Singular de Investigación de Galicia accreditation 2019−2022, ED431G 2019/03; and grants ED431C 2018/30 and ED431C 2018/04 and Galchimia S.A. (Spain)).

Institutional Review Board Statement

Not applicable.

Informed Consent Statement

Not applicable.

Data Availability Statement

Not applicable.

Conflicts of Interest

The authors declare no conflict of interest.

References

  1. Leszczynski, J.F.; Rose, G.D. Loops in globular proteins: A novel category of secondary structure. Science 1986, 234, 849–855. [Google Scholar] [CrossRef] [PubMed]
  2. Vass, E.; Hollósi, M.; Besson, F.; Buchet, R. Vibrational spectroscopic detection of beta- and gamma-turns in synthetic and natural peptides and proteins. Chem. Rev. 2003, 103, 1917–1954. [Google Scholar] [CrossRef] [PubMed]
  3. Villen, J.; Beausoleil, S.A.; Gerber, S.A.; Gygi, S.P. Large-scale phosphorylation analysis of mouse liver. Proc. Natl. Acad. Sci. USA 2007, 104, 1488–1493. [Google Scholar] [CrossRef] [PubMed] [Green Version]
  4. Suzuki, M.; Yagi, N. Structure of the SPXX Motif. Proc. Biol. Sci. 1991, 246, 231–235. [Google Scholar] [PubMed]
  5. Song, B.; Bomar, M.G.; Kibler, P.; Kodukula, K.; Galande, A.K. The serine-proline turn: A novel hydrogen-bonded template for designing peptidomimetics. Org. Lett. 2012, 14, 732–735. [Google Scholar] [CrossRef] [PubMed]
Figure 1. These turns were detected in natural peptides [4]. In addition, Galande described, for the first time, their presence in synthetic peptides [5] and was able to establish that the following requirements are necessary for β-turns to be generated with the SP subunit: (1) the presence of the serine−proline (SP) dipeptide domain; (2) hydrophobic amino acids, such as leucine, flanking the SPXX tetrapeptide; and (3) a residue other than glycine at positions i + 2 and i + 3.
Figure 1. These turns were detected in natural peptides [4]. In addition, Galande described, for the first time, their presence in synthetic peptides [5] and was able to establish that the following requirements are necessary for β-turns to be generated with the SP subunit: (1) the presence of the serine−proline (SP) dipeptide domain; (2) hydrophobic amino acids, such as leucine, flanking the SPXX tetrapeptide; and (3) a residue other than glycine at positions i + 2 and i + 3.
Chemproc 08 00072 g001
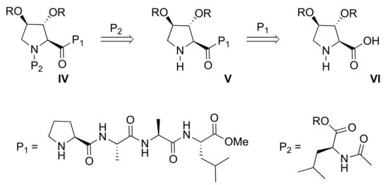
Figure 2. The proposed synthesis plan to prepare III involves subjecting the dihydroxylated proline (suitably protected) to the two peptide couplings shown in Scheme 1.
Figure 2. The proposed synthesis plan to prepare III involves subjecting the dihydroxylated proline (suitably protected) to the two peptide couplings shown in Scheme 1.
Chemproc 08 00072 g002
Scheme 1. Results.
Scheme 1. Results.
Chemproc 08 00072 sch001
Scheme 2. The first coupling of leucine with alanine was carried out by activating BocAlaOH with HOBt and DIC in DCM. It was necessary to add a few drops of DMF to achieve complete solubilization of the reaction mixture. Then, this solution was added to a previously prepared solution of leucine and DIEA in DCM, leaving it under stirring overnight at room temperature. The obtained dipeptide 1 was subjected to a hydrolysis reaction with TFA leading to dipeptide 2, with its free amino group, which was coupled with another BocAlaOH unit under the above coupling conditions. This led to tripeptide 3 and then to the corresponding tripeptide 4, with its free amino group, to which BocProOH was readily coupled. This resulted in the tetrapeptide 5 (designated as P1 in the synthetic plan of Scheme 1).
Scheme 2. The first coupling of leucine with alanine was carried out by activating BocAlaOH with HOBt and DIC in DCM. It was necessary to add a few drops of DMF to achieve complete solubilization of the reaction mixture. Then, this solution was added to a previously prepared solution of leucine and DIEA in DCM, leaving it under stirring overnight at room temperature. The obtained dipeptide 1 was subjected to a hydrolysis reaction with TFA leading to dipeptide 2, with its free amino group, which was coupled with another BocAlaOH unit under the above coupling conditions. This led to tripeptide 3 and then to the corresponding tripeptide 4, with its free amino group, to which BocProOH was readily coupled. This resulted in the tetrapeptide 5 (designated as P1 in the synthetic plan of Scheme 1).
Chemproc 08 00072 sch002
Scheme 3. After removal of the Boc group from tetramer 5, the resulting peptide 6 was coupled with dihydroxyproline 7 under the indicated conditions. This resulted in a pentapeptide 8 with a 73% yield.
Scheme 3. After removal of the Boc group from tetramer 5, the resulting peptide 6 was coupled with dihydroxyproline 7 under the indicated conditions. This resulted in a pentapeptide 8 with a 73% yield.
Chemproc 08 00072 sch003
Figure 3. 1H RMN Spectrum of 12 in CDCl3 with the extended aromatic region in which the amide proton signals are present.
Figure 3. 1H RMN Spectrum of 12 in CDCl3 with the extended aromatic region in which the amide proton signals are present.
Chemproc 08 00072 g003
Figure 4. 1H RMN Spectrum of 12 in DMSO-d6 with the extended aromatic region in which the amide proton signals are present.
Figure 4. 1H RMN Spectrum of 12 in DMSO-d6 with the extended aromatic region in which the amide proton signals are present.
Chemproc 08 00072 g004
Publisher’s Note: MDPI stays neutral with regard to jurisdictional claims in published maps and institutional affiliations.

Share and Cite

MDPI and ACS Style

Balo, R.; Jiménez, A.; Reza, D.; Estévez, R.J.; Estévez, J.C. Peptides Incorporating 3,4-Dihydroxyprolines: Synthesis and Structural Study. Chem. Proc. 2022, 8, 72. https://doi.org/10.3390/ecsoc-25-11683

AMA Style

Balo R, Jiménez A, Reza D, Estévez RJ, Estévez JC. Peptides Incorporating 3,4-Dihydroxyprolines: Synthesis and Structural Study. Chemistry Proceedings. 2022; 8(1):72. https://doi.org/10.3390/ecsoc-25-11683

Chicago/Turabian Style

Balo, Rosalino, Alejandro Jiménez, David Reza, Ramón J. Estévez, and Juan C. Estévez. 2022. "Peptides Incorporating 3,4-Dihydroxyprolines: Synthesis and Structural Study" Chemistry Proceedings 8, no. 1: 72. https://doi.org/10.3390/ecsoc-25-11683

APA Style

Balo, R., Jiménez, A., Reza, D., Estévez, R. J., & Estévez, J. C. (2022). Peptides Incorporating 3,4-Dihydroxyprolines: Synthesis and Structural Study. Chemistry Proceedings, 8(1), 72. https://doi.org/10.3390/ecsoc-25-11683

Article Metrics

Back to TopTop