Synthesis of Triterpenoid-Derived α-Acyloxycarboxamides via Passerini Reaction †
Abstract
:1. Introduction
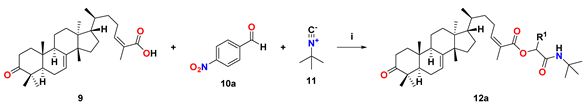
2. Results and Discussion
3. Experimental Section
3.1. General Information, Instrumentation and Chemicals
3.2. General Procedure
3.3. Spectral Data
3.3.1. 2-(Tert-butylamino)-1-(4-nitrophenyl)-2-oxoethyl 3-oxotirucalla-7,24Z-dien-26-oate (12a)

3.3.2. 2-(Tert-butylamino)-1-(4-chlorophenyl)-2-oxoethyl 3-oxotirucalla-7,24Z-dien-26-oate (12b)

3.3.3. 2-(Tert-butylamino)-1-(4-methoxyphenyl)-2-oxoethyl 3-oxotirucalla-7,24Z-dien-26-oate (12c)

3.3.4. 1-(Tert-butylamino)-1-oxooctan-2-yl 3-oxotirucalla-7,24Z-dien-26-oate (12d)

4. Conclusions
Author Contributions
Funding
Institutional Review Board Statement
Informed Consent Statement
Acknowledgments
Conflicts of Interest
References
- Herrera, R.P.; Marques-Lopez, E. Multicomponent Reactions: Concepts and Applications for Design and Synthesis; Wiley: Hoboken, NJ, USA, 2015; pp. 1–302. [Google Scholar]
- Zhu, J.; Wang, Q.; Wang, M.-X. Multicomponent Reactions in Organic Synthesis; Wiley-VCH: Weinheim, Germany, 2015; pp. 1–12. [Google Scholar]
- Banfi, L.; Basso, A.; Riva, R. Synthesis of Heterocycles Through Classical Ugi and Passerini Reactions Followed by Secondary Transformations Involving One or Two Additional Functional Groups. In Synthesis of Heterocycles via Multicomponent Reactions; Springer: Berlin/Heidelberg, Germany, 2010; pp. 1–39. [Google Scholar] [CrossRef]
- Akritopoulou-Zanze, I. Isocyanide-Based Multicomponent Reactions in Drug Discovery. Curr. Opin. Chem. Biol. 2008, 12, 324–331. [Google Scholar] [CrossRef] [PubMed]
- Heravi, M.M.; Zadsirjan, V. Recent Advances in Applications of Name Reactions in Multicomponent Reactions; Elsevier: Amsterdam, The Netherlands, 2020; pp. 1–14. [Google Scholar] [CrossRef]
- Wiemann, J.; Heller, L.; Csuk, R. An Access to a Library of Novel Triterpene Derivatives with a Promising Pharmacological Potential by Ugi and Passerini Multicomponent Reactions. Eur. J. Med. Chem. 2018, 150, 176–194. [Google Scholar] [CrossRef] [PubMed]
- Reguera, L.; Attorresi, C.I.; Ramírez, J.A.; Rivera, D.G. Steroid Diversification by Multicomponent Reactions. Beilstein J. Org. Chem. 2019, 15, 1236–1256. [Google Scholar] [CrossRef] [PubMed] [Green Version]
- Gurrapu, S.; Walsh, W.J.; Brooks, J.M.; Jonnalagadda, S.C.; Mereddy, V.R. Synthesis of Lupane Triterpenoid Derivatives. Nat. Prod. Indian J. 2012, 8, 115–120. [Google Scholar]
- Talapatra, S.K.; Talapatra, B. Chemistry of Natural Products: Stereochemistry, Conformation, Synthesis, Biology and Medicine; Springer: New York, NY, USA, 2015. [Google Scholar] [CrossRef]
- Zhang, L.; Demain, A.L. Natural Products: Drug Discovery and Therapeutic Medicine; Humana Press: Totowa, NJ, USA, 2005; pp. 197–229. [Google Scholar] [CrossRef]
- Giner-Larza, E.M.; Mañez, S.; Giner, R.M.; Recio, M.C.; Cerda-Nicolas, M.; Rios, J.L. Anti-Inflammatory Triterpenes from Pistacia Terebinthus Galls. Planta Med. 2002, 68, 311–315. [Google Scholar] [CrossRef] [PubMed]
- Dzubak, P.; Hajduch, M.; Vydra, D.; Hustova, A.; Kvasnica, M.; Biedermann, D.; Markova, L.; Urban, M.; Sarek, J. Pharmacological Activities of Natural Triterpenoids and Their Therapeutic Implications. Nat. Prod. Rep. 2006, 23, 394–411. [Google Scholar] [CrossRef] [PubMed]
- Chudzik, M.; Korzonek-Szlacheta, I.; Król, W. Triterpenes as Potentially Cytotoxic Compounds. Molecules 2015, 20, 1610–1625. [Google Scholar] [CrossRef] [PubMed] [Green Version]
- Oviedo-Chavez, I.; Ramirez-Apan, T.; Martinez-Vazquez, M. Cytotoxic Activity and Effect on Nitric Oxide Production of Tirucallane-Type Triterpenes. J. Pharm. Pharmacol. 2005, 57, 1087–1091. [Google Scholar] [CrossRef]
- Sommerwerk, S.; Heller, L.; Kuhfs, J.; Csuk, R. Selective Killing of Cancer Cells with Triterpenoic Acid Amides - The Substantial Role of an Aromatic Moiety Alignment. Eur. J. Med. Chem. 2016, 122, 452–464. [Google Scholar] [CrossRef]
- Ameta, K.L.; Dandia, A. Multicomponent Reactions: Synthesis of Bioactive Heterocycles, 1st ed.; Taylor & Francis: Boca Raton, FL, USA, 2017; pp. 33–54. [Google Scholar]



| Entry | Solvent | Temperature | Time | Yield |
|---|---|---|---|---|
| 1 | DCM | r.t. | 24 h | 79% |
| 2 | H2O | r.t. | 24 h | n.r. |
| 3 | MeOH | r.t. | 24 h | Traces |
| 4 | Solvent free | r.t. | 24 h | n.r. |
Publisher’s Note: MDPI stays neutral with regard to jurisdictional claims in published maps and institutional affiliations. |
© 2021 by the authors. Licensee MDPI, Basel, Switzerland. This article is an open access article distributed under the terms and conditions of the Creative Commons Attribution (CC BY) license (https://creativecommons.org/licenses/by/4.0/).
Share and Cite
Rodríguez-López, F.; García-Gutiérrez, H.A.; Gámez-Montaño, R. Synthesis of Triterpenoid-Derived α-Acyloxycarboxamides via Passerini Reaction. Chem. Proc. 2022, 8, 51. https://doi.org/10.3390/ecsoc-25-11785
Rodríguez-López F, García-Gutiérrez HA, Gámez-Montaño R. Synthesis of Triterpenoid-Derived α-Acyloxycarboxamides via Passerini Reaction. Chemistry Proceedings. 2022; 8(1):51. https://doi.org/10.3390/ecsoc-25-11785
Chicago/Turabian StyleRodríguez-López, Fidel, Hugo A. García-Gutiérrez, and Rocío Gámez-Montaño. 2022. "Synthesis of Triterpenoid-Derived α-Acyloxycarboxamides via Passerini Reaction" Chemistry Proceedings 8, no. 1: 51. https://doi.org/10.3390/ecsoc-25-11785
APA StyleRodríguez-López, F., García-Gutiérrez, H. A., & Gámez-Montaño, R. (2022). Synthesis of Triterpenoid-Derived α-Acyloxycarboxamides via Passerini Reaction. Chemistry Proceedings, 8(1), 51. https://doi.org/10.3390/ecsoc-25-11785

