Abstract
Nucleic acid analogues play a multifaceted role in biology and materials science. Our efforts towards unveiling these roles led to xanthine derivatives that form higher–order structures with quadruplex-forming abilities. In this paper we present further modifications of the xanthine core resulting into 9-deaza and 8-aza-9-deaza heterocycles (pyrrolo[3,2-d]pyrimidines and pyrazolo[4,3-d]pyrimidines, respectively) that form tetrads and other higher–order structures. Additionally, the ring contraction of 5-fluoro-2′,3′-O-isopropylideneuridine gave rise to the formation of an imidazolidine-4-carboxylic acid nucleoside derivative. Our computational predictions forecasted that the latter derivative will form stable triads.
1. Introduction
Beyond the well-known canonical adenine–thymine (A:T) and guanine–cytosine (G:C) base pairs in the double helical DNA, there are several other possibilities, resulting in a large number of polymorphic variants. Z-DNA, hairpin, triplex. i-motif and quadruplex nucleic acids (GQs) are probably the most studied non-canonical nucleic acid structures. A typical G quadruplex consists of at least two guanine G-tetrads (or tetramers), most frequently connected by loops of one or more nucleotides and feature various topologies [1,2]. The stability of the structure is ensured by stacking of the tetrads, cation coordination (K+, Na+, NH4+ etc.), hydrogen bonding and hydrophobic effects [3,4,5]. The cations are located either in the central cavity of the G-tetrad or in the spaces between the stacking tetrads (Figure 1) [6].
Figure 1.
The schematic structure of guanosine tetrads (a) and one of the possible quadruplex polymorphs (b). Wavy lines denote the attachment points of glycosyl residues.
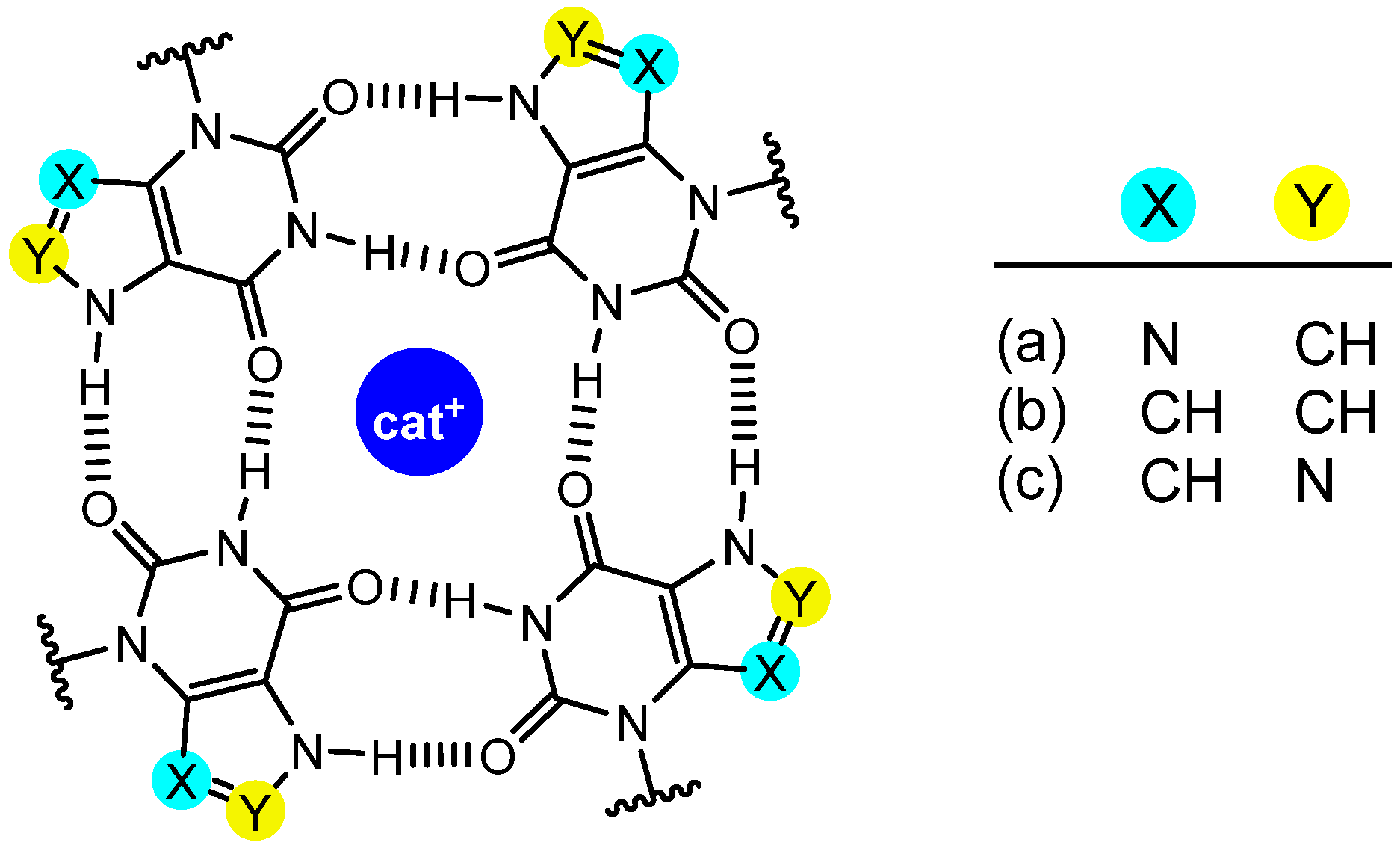
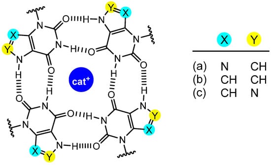
Earlier we have proved that the G base can be replaced by model 3-alkylxanthine derivatives (X) in tetrads/octads and the resulting cation-complexed tetrads and octads are comparable with the corresponding guanine derivatives in terms of interaction energies (Figure 2a) [7]. Furthermore, 3-alkylxanthines provide self-assembly structures at a solid–liquid interface forming comb-like 2D structures [8] and melamine and 3-octadecylxanthine molecules form porous quasi-2D networks [9].
Figure 2.
The schematic structure of tetrads made up from xanthine (a) 9-deaza- (b) and 8-aza-9-deazaxanthine cores (c).
As an extension of these studies we have envisaged further modifications of the xanthine core resulting into 9-deaza and 8-aza-9-deaza heterocycles (pyrrolo[3,2-d]pyrimidines and pyrazolo[4,3-d]pyrimidines) that form tetrads and other higher–order structures (Figure 2b,c). These derivatives feature the same hydrogen bonding pattern as 7H-xanthines. Furthermore, we have anticipated that the ring contraction of 5-fluoro-2′,3′-O-isopropylideneuridine, affording an imidazolidine-4-carboxylic acid nucleoside derivative, would result potentially in the formation of self-assembly structures.
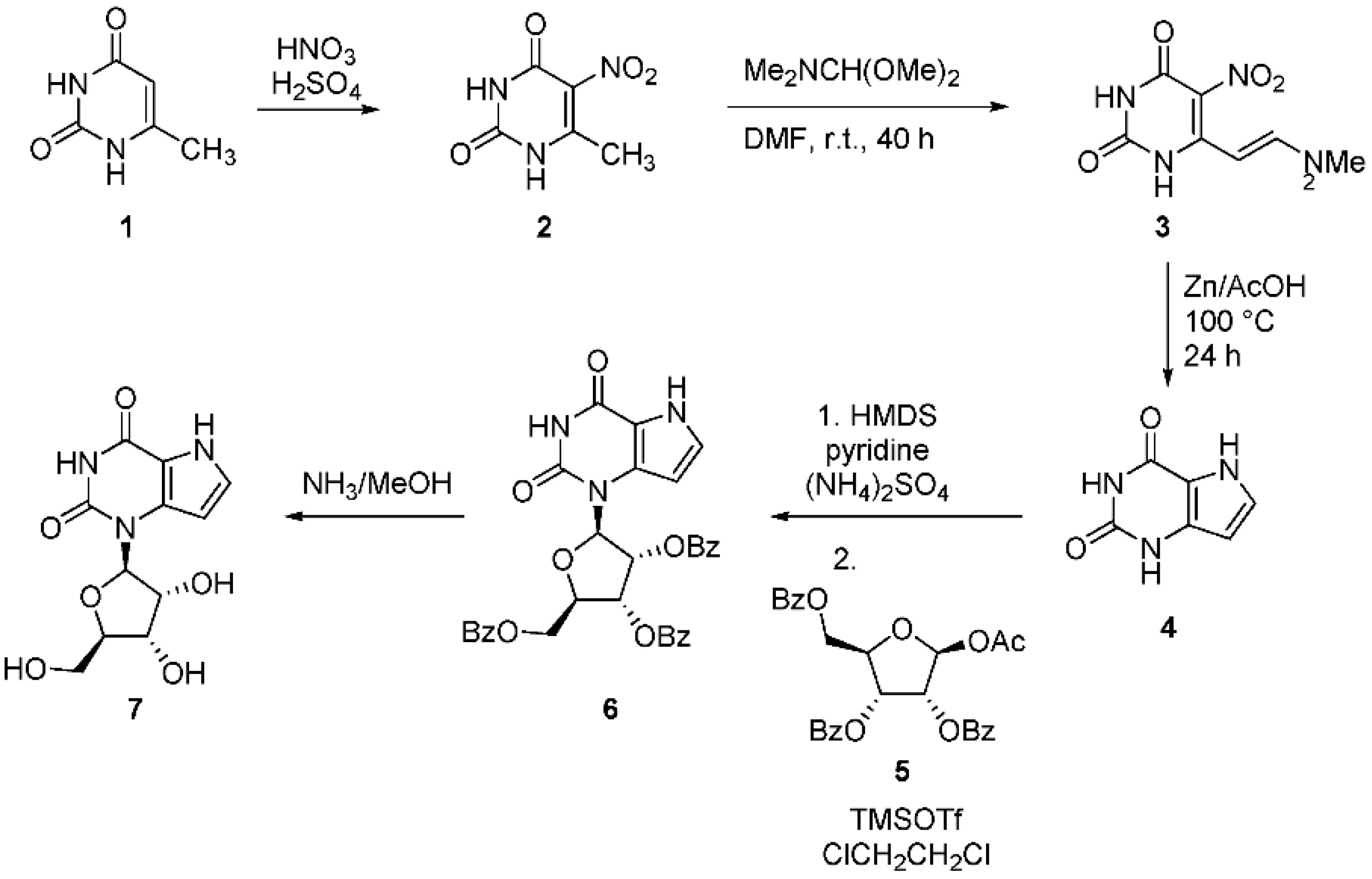
2. Chemical Synthesis
2.1. 9-Deazaxanthines
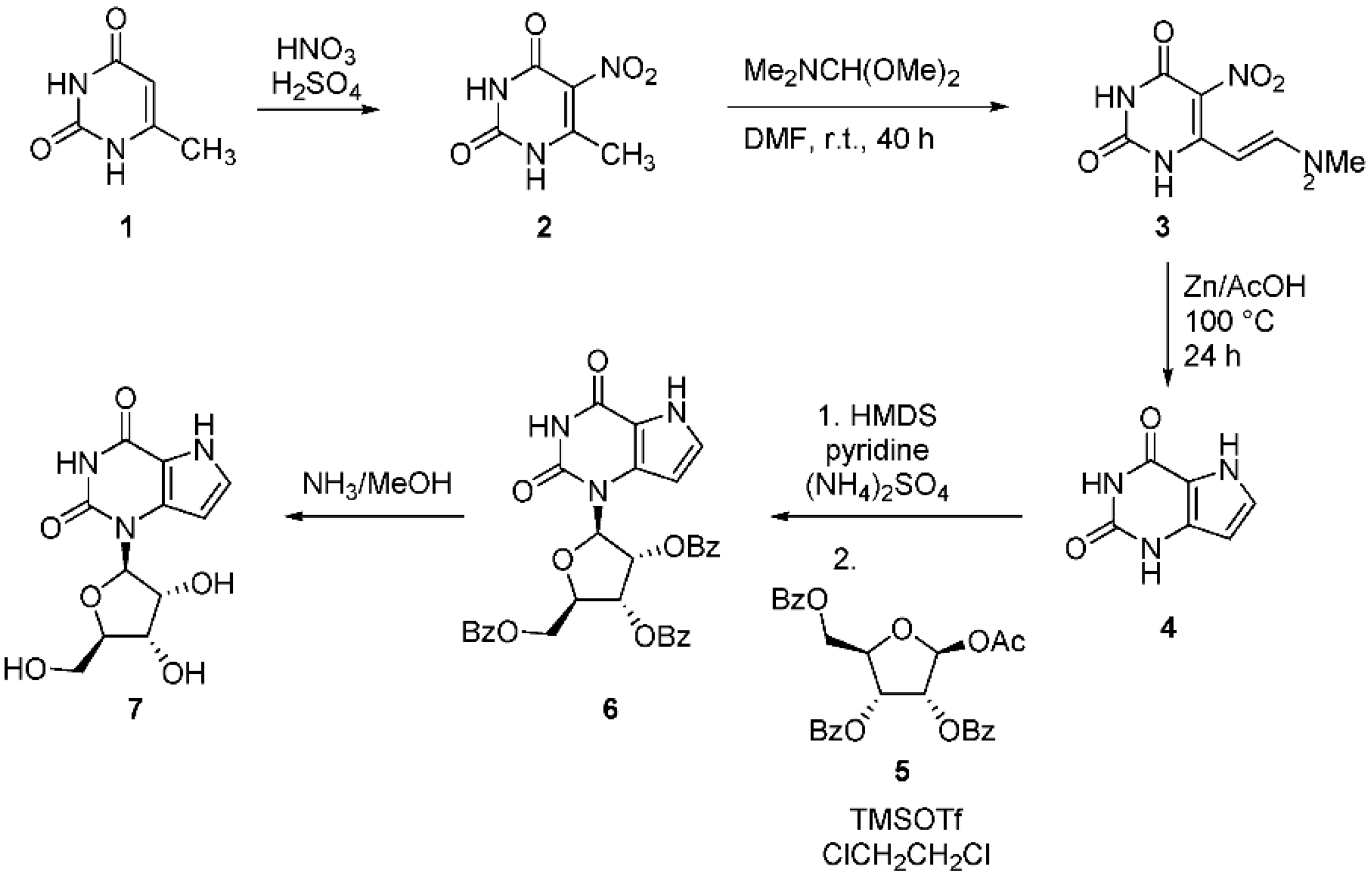
The synthesis of 9-deazaxanthines (pyrrolo[3,2-d]pyrimidines) started from 6-methyluracil (1) (Figure 3). Conventional nitration provided the 5-nitro derivative (2) [10]. The reaction of 2 with N,N-dimethylformamide dimethyl acetal gave the 6-dimethylaminomethylene derivative 3. Reduction of the nitro group and simultaneous ring closure provided the pyrrolo[3,2-d]-pyrimidine 4 in good yield. The purification of 4 has been hampered by the presence of zinc salts and its poor solubility. The best method was the recrystallisation of crude product from a large volume of ethanol. In the following step the glycosylation has been performed using the Vorbrüggen conditions employing 1-O-acetyl-2,3,5-tri-O-benzoyl-β-D-ribofuranose (5) to furnish the glycoside 6 [11]. The subsequent debenzoylation took place smoothly with methanolic ammonia to afford nucleoside 7.
Figure 3.
The synthesis 9-deazaxanthines.
2.2. 8-Aza-9-Deazaxanthines
The 8-aza-9-deazaxanthines (pyrazolo[4,3-d]pyrimidines) have been obtained from the common nitro intermediate 2 (Figure 4). Catalytic reduction of the nitro group followed by nitrosation gave the triazino intermediate (9) through the 5-amino derivative (8). Stannous chloride in hydrochloric acid gave rise to the formation of the pyrazolo[4,3-d]pyrimidine derivative 10 [12,13]. Glycosylation as above [11] provided the nucleoside 11 which was in turn deprotected to furnish compound 12.
Figure 4.
The synthesis 8-aza-9-deazaxanthines.
2.3. Imidazolidinone Carboxylic Acid Nucleoside Derivatives
5-Halouridine derivatives show unusual chemical properties [14]. In particular, 5-fluoro-2′,3′-O-isopropylideneuridine (14) undergoes ring contraction in basic medium to give an imidazolidinone carboxylic acid. We have anticipated that the amide and hydroxamic acid derivatives would be able to form higher–order structures (triads and/or tetrads). Thus, 5-fluorouridine (13) was isopropylidenated and compound 14 was treated with aqueous sodium hydroxide (Figure 5). The sodium salt of carboxylate 15 was in situ methylated to circumvent the tedious isolation of the free carboxylic acid. The methyl ester 16 was then subjected to ammonolysis and allowed to react with free hydroxylamine, respectively, to provide the amide 17 and the hydroxamic acid derivative 18.
Figure 5.
The ring contraction of 5-fluoro-2′,3′-O-isopropylideneuridine.
3. Computational Studies of Imidazolidinones
The complex forming capacity of imidazolidinone derivatives was investigated theoretically by high level quantum chemical methods. Density functional calculations with BLYP-D3/TZ2P level of theory was applied and two derivatives, namely the amide and the hydroxamic acid forms were calculated in higher—order structures. The optimized geometrics (top and side views) with important bond distances and average single hydrogen bond energies are presented in Figure 6.
Figure 6.
Top and side view of optimized complexes with hydrogen bond distances (in Å) and average single hydrogen bond energies (in kcal/mol). On the left and right sides amide derivative (17) complexes are presented, while in the middle the complex of the hydroxamic acid form (18) is shown.
Comparing trimer structures, it is clear from the optimized geometries that the amide derivative is less flexible than the hydroxamic acid, thus it has less planar geometry, as well as larger bond distances were found. Consequently, the average hydrogen bond energy was also smaller in these cases. Thus, the rigidity causes weaker interaction, so the molecule with hydroxamic acid group looks more promising. Comparing the trimer complex with the tetrad, the trimer complexes were closer to a planar structure.
4. Results and Discussion
We have synthesized analogues of xanthine nucleosides by replacing noncritical nitrogen and carbon atoms with the purpose of obtaining derivatives that would participate in the formation of quadruplex structures. To this end, 9-deaza and 8-aza-9-deaza heterocycles (pyrrolo[3,2-d]pyrimidines and pyrazolo[4,3-d]pyrimidines, respectively) have been synthesized starting from 6-methyluracil. Additionally, the ring contraction of a 5-fluorouridine derivative allowed to obtain imidazolidinone carboxylic acid amide and hydroxamic acid. These latter derivatives have been subjected to density functional calculations and it turned out that they are potential candidates to form preferentially trimeric self-assemblies. The experimental study of the above derivatives in context of formation of higher–order structures is in progress.
Author Contributions
Conceptualization, G.P., Z.K. (Zoltán Kupihár), L.K.; data curation, Z.V., G.P.; formal analysis, Z.V., G.P., Z.K. (Zoltán Kupihár), L.K.; funding acquisition, L.K.; investigation, Z.V., G.P., Z.K. (Zoltán Kupihár), Z.K. (Zoltán Kele); methodology, Z.V., G.P., Z.K. (Zoltán Kupihár), Z.K. (Zoltán Kele), L.K.; project administration, Z.K. (Zoltán Kupihár), L.K.; resources, G.P., Z.K. (Zoltán Kupihár), Z.K. (Zoltán Kele), L.K.; software. G.P.; supervision, L.K.; validation. G.P., Z.K. (Zoltán Kupihár), L.K.; visualization, G.P., L.K.; writing—original draft, G.P., L.K.; writing—review and editing, Z.V., G.P., Z.K. (Zoltán Kupihár), Z.K. (Zoltán Kele), L.K. All authors have read and agreed to the published version of the manuscript.
Funding
This research was funded by National Research, Development and Innovation Office of Hungary, grant number K128801.
Institutional Review Board Statement
Not applicable.
Informed Consent Statement
Not applicable.
Data Availability Statement
Not applicable.
Conflicts of Interest
The authors declare no conflict of interest.
References
- Neidle, S.; Balasubramanian, S. Quadruplex Nucleic Acids; The Royal Society of Chemistry: Cambridge, UK, 2006. [Google Scholar]
- McKenzie, L.K.; El-Khoury, R.; Thorpe, J.D.; Damha, M.J.; Hollenstein, M. Recent progress in non-native nucleic acid modifications. Chem. Soc. Rev. 2021, 50, 5126–5164. [Google Scholar] [CrossRef] [PubMed]
- Mergny, J.-L.; De Cian, A.; Ghelab, A.; Saccà, B.; Lacroix, L. Kinetics of tetramolecular quadruplexes. Nucleic Acids Res. 2005, 33, 81–94. [Google Scholar] [CrossRef] [PubMed]
- Largy, E.; Mergny, J.-L.; Gabelica, V. The Alkali Metal Ions: Their Role for Life; Sigel, A., Sigel, H., Sigel, O.R.K., Eds.; Springer International Publishing: Cham, Switzerland, 2016; pp. 203–258. [Google Scholar] [CrossRef]
- Zaccaria, F.; Paragi, G.; Fonseca Guerra, C. The role of alkali metal cations in the stabilization of guanine quadruplexes: Why K+ is the best. Phys. Chem. Chem. Phys. 2016, 18, 20895–20904. [Google Scholar] [CrossRef] [PubMed]
- Paragi, G.; Kupihár, Z.; Endre, G.; Fonseca Guerra, C.; Kovács, L. The evaluation of 5-amino- and 5-hydroxyuracil derivatives as potential quadruplex-forming agents. Org. Biomol. Chem. 2017, 15, 2174–2184. [Google Scholar] [CrossRef] [PubMed]
- Szolomájer, J.; Paragi, G.; Batta, G.; Fonseca Guerra, C.; Bickelhaupt, F.M.; Kele, Z.; Pádár, P.; Kupihár, Z.; Kovács, L. 3-Substituted xanthines as promising candidates for quadruplex formation: Computational, synthetic and analytical studies. New J. Chem. 2011, 35, 476–482. [Google Scholar] [CrossRef]
- Ciesielski, A.; Haar, S.; Bényei, A.; Paragi, G.; Fonseca Guerra, C.; Bickelhaupt, F.M.; Masiero, S.; Szolomájer, J.; Samorì, P.; Spada, G.P.; et al. Self-Assembly of N3-Substituted Xanthines in the Solid State and at the Solid–Liquid Interface. Langmuir 2013, 29, 7283–7290. [Google Scholar] [CrossRef] [PubMed]
- Ciesielski, A.; Haar, S.; Paragi, G.; Kupihár, Z.; Kele, Z.; Masiero, S.; Fonseca Guerra, C.; Bickelhaupt, F.M.; Spada, G.P.; Kovács, L.; et al. Supramolecular H-bonded porous networks at surfaces: Exploiting primary and secondary interactions in a bi-component melamine–xanthine system. Phys. Chem. Chem. Phys. 2013, 15, 12442–12446. [Google Scholar] [CrossRef] [PubMed][Green Version]
- Cawrse, B.M.; Lapidus, R.S.; Cooper, B.; Choi, E.Y.; Seley-Radtke, K.L. Anticancer properties of halogenated pyrrolo[3,2-d]pyrimidines with decreased toxicity via N5 substitution. ChemMedChem 2018, 13, 178–185. [Google Scholar] [CrossRef] [PubMed]
- Rao, T.S.; Revankar, G.R.; Vinayak, R.S.; Robins, R.K. Synthesis of 5,7-disubstituted-4-β-D-ribofuranosylpyrazolo[4,3-d]-pyrimidines and 2,4-disubstituted-1-β-D-ribofuranosylpyrrolo[3,2-d]-pyrimidines as congeners of uridine and cytidine. J. Heterocycl. Chem. 1992, 29, 343–354. [Google Scholar] [CrossRef]
- Papesch, V.; Dodson, R.M. Pyrimido[5,4-d][l,2,3]triazines. J. Org. Chem. 1963, 28, 1329–1331. [Google Scholar] [CrossRef]
- Papesch, V.; Dodson, R.M. Isomeric pyrazoIo[4,3-d]pyrimidinediones. J. Org. Chem. 1965, 30, 199–203. [Google Scholar] [CrossRef]
- Fox, J.J. Pyrimidine nucleoside transformations via anhydronucleosides. Pure Appl. Chem. 1969, 18, 223–256. [Google Scholar] [CrossRef] [PubMed]
Publisher’s Note: MDPI stays neutral with regard to jurisdictional claims in published maps and institutional affiliations. |
© 2021 by the authors. Licensee MDPI, Basel, Switzerland. This article is an open access article distributed under the terms and conditions of the Creative Commons Attribution (CC BY) license (https://creativecommons.org/licenses/by/4.0/).





