Efficient Multicomponent Catalyst-Free Synthesis of Substituted 2-Aminopyridines †
Abstract
:1. Introduction
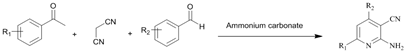
2. Results and Discussion
3. Experimental Procedure
4. Conclusions
Acknowledgments
References
- Cheikh, N.; Bachir, K.; Benabdallah, M.; Villemin, D. A new route for the synthesis of 2-aminopyridines. Sci. Stud. Res. Chem. Chem. Eng. 2011, 12, 121–126. [Google Scholar]
- Pasumansky, L.; Hernández, A.R.; Gamsey, S.; Goralski, C.T.; Singaram, B. Synthesis of aminopyridines from 2-fluoropyridine and lithium amides. Tetrahedron Lett. 2004, 45, 6417–6420. [Google Scholar] [CrossRef]
- Tu, S.; Jiang, B.; Zhang, Y.; Jia, R.; Zhang, J.; Yao, C.; Shi, F. An efficient and chemoselective synthesis of N-substituted 2-aminopyridines via a microwave-assisted multicomponent reaction. Organ. Biomol. Chem. 2007, 5, 355–359. [Google Scholar] [CrossRef] [PubMed]
- Guo, K.; Thompson, M.J.; Reddy, T.R.; Mutter, R.; Chen, B. Mechanistic studies leading to a new procedure for rapid, microwave assisted generation of pyridine-3, 5-dicarbonitrile libraries. Tetrahedron 2007, 63, 5300–5311. [Google Scholar] [CrossRef]
- Poola, B.; Choung, W.; Nantz, M.H. A mild, catalyst-free synthesis of 2-aminopyridines. Tetrahedron. 2008, 64, 10798–10801. [Google Scholar] [CrossRef] [PubMed]
- Kibou, Z.; Cheikh, N.; Villemin, D.; Choukchou-Braham, N. A rapid synthesis of highly functionalized 2-pyridones and 2-aminopyridines via a microwave-assisted multicomponent reaction. J. Mater. Environ. Sci. 2016, 7, 3061–3067. [Google Scholar]


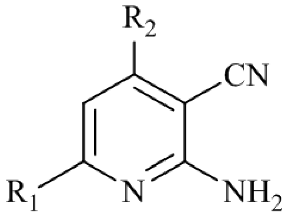
| R1 | R2 | Yield (%) |
|---|---|---|
| C6H5- | 4-Cl-C6H4- | 65 a; 80 b |
| R1 | R2 | Yield (%) |
|---|---|---|
| C6H5- | 4-Cl-C6H4 | |
| p-Cl-C6H4- | 65 a ; 80 b | |
| p-CH3C6H4- | 50 a; 90 b | |
| m-CH3OC6H4- | 45 a; 88 b | |
| 2,4-Cl-C6H3- | 58 a; 95 b |
Publisher’s Note: MDPI stays neutral with regard to jurisdictional claims in published maps and institutional affiliations. |
© 2022 by the authors. Licensee MDPI, Basel, Switzerland. This article is an open access article distributed under the terms and conditions of the Creative Commons Attribution (CC BY) license (https://creativecommons.org/licenses/by/4.0/).
Share and Cite
Benzenine, D.; Kibou, Z.; Belhadj, F.; Baba-Ahmed, I.; Vázquez-Tato, M.P.; Seijas, J.A.; Choukchou-Braham, N. Efficient Multicomponent Catalyst-Free Synthesis of Substituted 2-Aminopyridines. Chem. Proc. 2021, 3, 125. https://doi.org/10.3390/ecsoc-24-08381
Benzenine D, Kibou Z, Belhadj F, Baba-Ahmed I, Vázquez-Tato MP, Seijas JA, Choukchou-Braham N. Efficient Multicomponent Catalyst-Free Synthesis of Substituted 2-Aminopyridines. Chemistry Proceedings. 2021; 3(1):125. https://doi.org/10.3390/ecsoc-24-08381
Chicago/Turabian StyleBenzenine, Djamila, Zahira Kibou, Fatima Belhadj, Ikram Baba-Ahmed, M. Pilar Vázquez-Tato, Julio A. Seijas, and Noureddine Choukchou-Braham. 2021. "Efficient Multicomponent Catalyst-Free Synthesis of Substituted 2-Aminopyridines" Chemistry Proceedings 3, no. 1: 125. https://doi.org/10.3390/ecsoc-24-08381
APA StyleBenzenine, D., Kibou, Z., Belhadj, F., Baba-Ahmed, I., Vázquez-Tato, M. P., Seijas, J. A., & Choukchou-Braham, N. (2021). Efficient Multicomponent Catalyst-Free Synthesis of Substituted 2-Aminopyridines. Chemistry Proceedings, 3(1), 125. https://doi.org/10.3390/ecsoc-24-08381

