Cascade Sulfa-Michael/Aldol Reaction of (Het)Arylmethylidenefuran-2(3H)-Ones with 1,4-Dithiane-2,5-Diol †
Abstract
1. Introduction
2. Materials and Methods
2.1. Physical Measurements
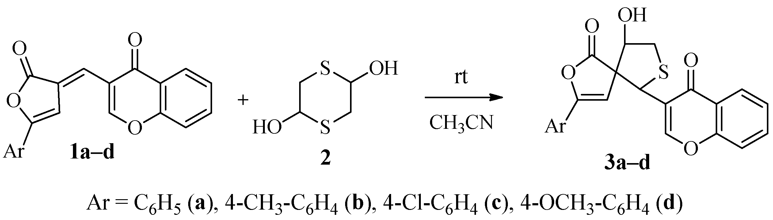
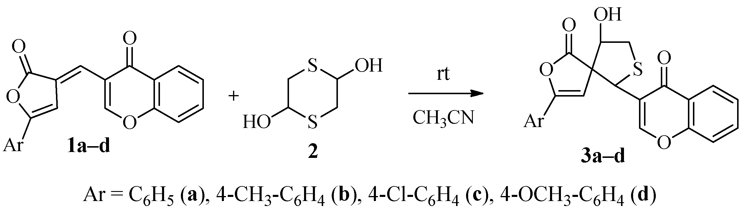
2.2. Synthesis and Characterization of Compounds 3a–d
- 3-(9- Hydroxy-1-oxo-3-phenyl-2-oxa-7-thiaspiro[4.4]non-3-en-6-yl)-4H-chromen-4-one (3a)
- 3-(9- Hydroxy-1-oxo-3-(p-tolyl)-2-oxa-7-thiaspiro[4.4]non-3-en-6-yl)-4H-chromen-4-one (3b)
- 3-(3-(4- Chlorophenyl)-9-hydroxy-1-oxo-2-oxa-7-thiaspiro[4.4]non-3-en-6-yl)-4H-chromen-4-one (3c)
- 3-(9- Hydroxy-3-(4-methoxyphenyl)-1-oxo-2-oxa-7-thiaspiro[4.4]non-3-en-6-yl)-4H-chromen-4-one (3d)
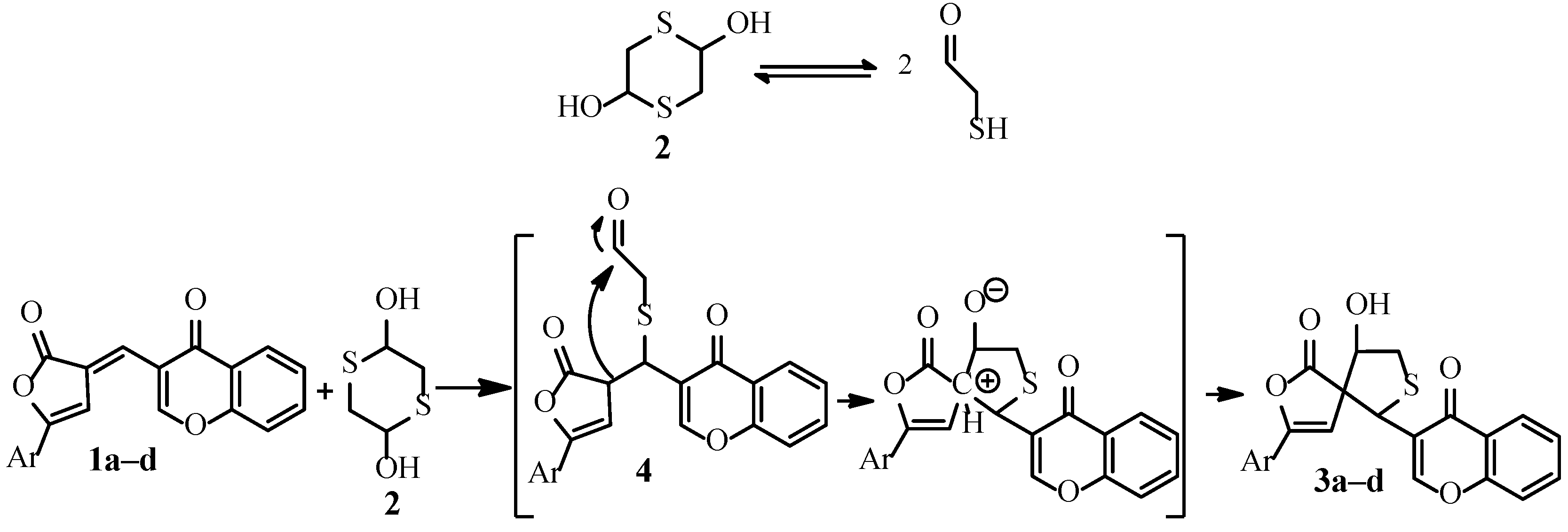
3. Results and Discussion
4. Conclusions
Author Contributions
Funding
Institutional Review Board Statement
Informed Consent Statement
Data Availability Statement
Conflicts of Interest
References
- Johnson, J.W.; Evanoff, D.P.; Savard, M.E.; Lange, G.; Ramadhar, T.R.; Assoud, A.; Taylor, N.J.; Dmitrienko, G.I. Cyclobutanone Mimics of Penicillins: Effects of Substitution on Conformation and Hemiketal Stability. J. Org. Chem. 2008, 73, 6970–6982. [Google Scholar] [CrossRef] [PubMed]
- Zempleni, J.; Wijeratne, S.S.K.; Hassan, Y.I. Biotin. BioFactors 2009, 35, 36–46. [Google Scholar] [CrossRef] [PubMed]
- Chauhan, P.; Mahajan, S.; Enders, D. Organocatalytic Carbon–Sulfur Bond-Forming Reactions. Chem. Rev. 2014, 114, 8807–8864. [Google Scholar] [CrossRef] [PubMed]
- Arzyamova, E.M.; Mazhukina, O.A.; Yegorova, A.Y. Synthesis of (E)-3-{[2-oxo-5-arylfuran-3(2H)-ylidene]methyl}-4H-1-benzopyran-4-ones, Crystal Structure, Quantum Chemical Substantiation. Acta Chim. Slov. 2024, 71, 528–539. [Google Scholar] [CrossRef] [PubMed]
- Arzyamova, E.M.; Yegorova, A.Y. Synthesis, crystal structure and evaluation of antibacterial activity of new hybrid systems containing furan-2-one and chromen-4-thione fragments. Phosphorus Sulfur Silicon Relat. Elem. 2025, 200, 164–173. [Google Scholar] [CrossRef]



Disclaimer/Publisher’s Note: The statements, opinions and data contained in all publications are solely those of the individual author(s) and contributor(s) and not of MDPI and/or the editor(s). MDPI and/or the editor(s) disclaim responsibility for any injury to people or property resulting from any ideas, methods, instructions or products referred to in the content. |
© 2025 by the authors. Licensee MDPI, Basel, Switzerland. This article is an open access article distributed under the terms and conditions of the Creative Commons Attribution (CC BY) license (https://creativecommons.org/licenses/by/4.0/).
Share and Cite
Arzyamova, E.M.; Mazhukina, O.A.; Yegorova, A.Y. Cascade Sulfa-Michael/Aldol Reaction of (Het)Arylmethylidenefuran-2(3H)-Ones with 1,4-Dithiane-2,5-Diol. Chem. Proc. 2025, 18, 80. https://doi.org/10.3390/ecsoc-29-26707
Arzyamova EM, Mazhukina OA, Yegorova AY. Cascade Sulfa-Michael/Aldol Reaction of (Het)Arylmethylidenefuran-2(3H)-Ones with 1,4-Dithiane-2,5-Diol. Chemistry Proceedings. 2025; 18(1):80. https://doi.org/10.3390/ecsoc-29-26707
Chicago/Turabian StyleArzyamova, Ekaterina M., Olga A. Mazhukina, and Alevtina Yu. Yegorova. 2025. "Cascade Sulfa-Michael/Aldol Reaction of (Het)Arylmethylidenefuran-2(3H)-Ones with 1,4-Dithiane-2,5-Diol" Chemistry Proceedings 18, no. 1: 80. https://doi.org/10.3390/ecsoc-29-26707
APA StyleArzyamova, E. M., Mazhukina, O. A., & Yegorova, A. Y. (2025). Cascade Sulfa-Michael/Aldol Reaction of (Het)Arylmethylidenefuran-2(3H)-Ones with 1,4-Dithiane-2,5-Diol. Chemistry Proceedings, 18(1), 80. https://doi.org/10.3390/ecsoc-29-26707

