Synthesis and Spectral Characteristics of N-(1-(((2E,4E)-6-(2-Bromophenyl)-3-cyclohexyl-2-(cyclohexylimino)-2,3-dihydro-4H-1,3,5-oxadiazin-4-ylidene)amino)-2,2,2-trichloroethyl)acetamide †
Abstract
1. Introduction
2. Materials and Methods
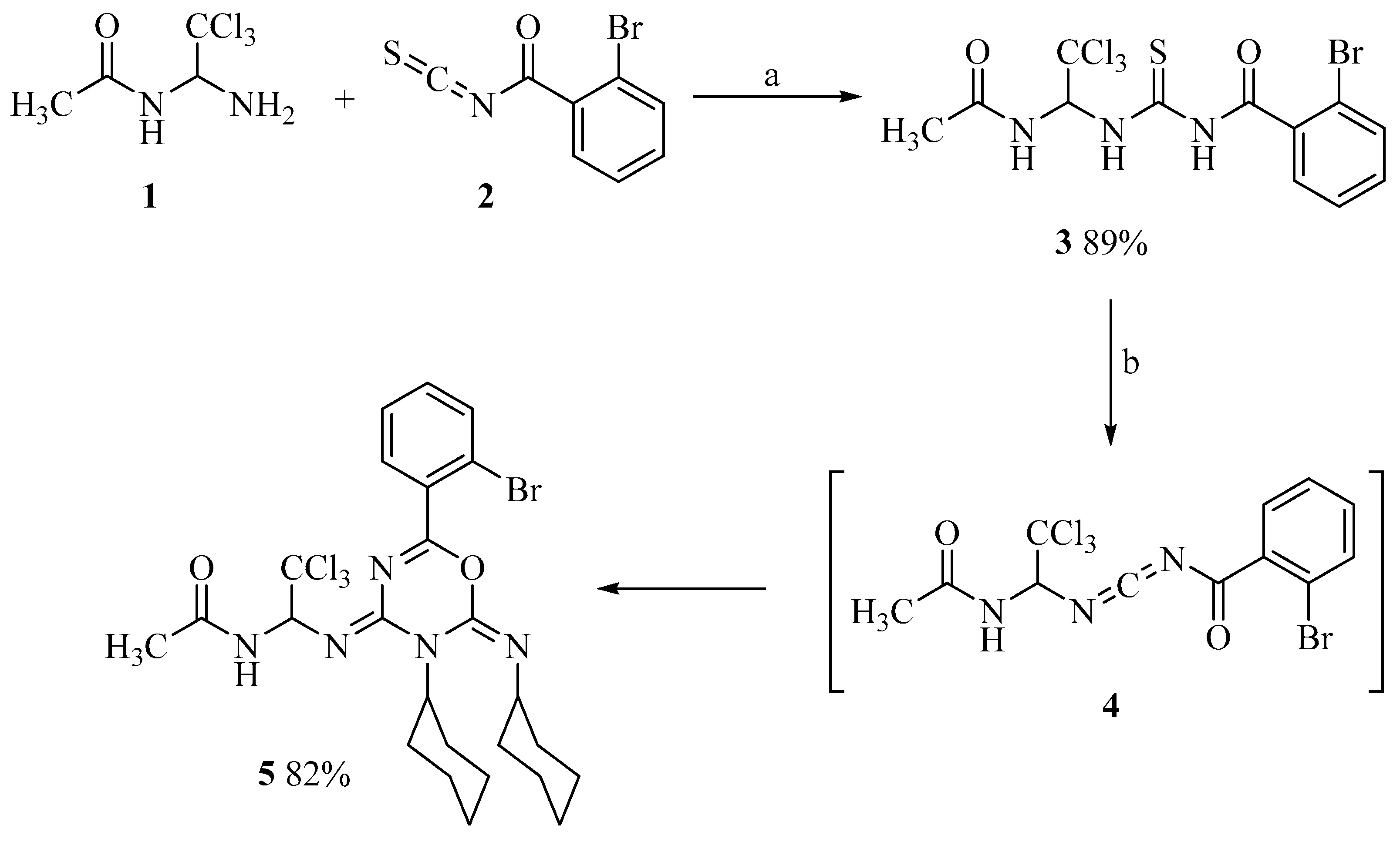
3. Results and Discussion
4. Conclusions
Author Contributions
Funding
Institutional Review Board Statement
Informed Consent Statement
Data Availability Statement
Conflicts of Interest
References
- Zadorozhnii, P.V.; Kiselev, V.V.; Kharchenko, A.V. 1,3,5-Oxadiazines and 1,3,5-Thiadiazines. In Comprehensive Heterocyclic Chemistry, 4th ed.; Black, D.S.C., Cossy, J., Stevens, C.V., Eds.; Elsevier: Amsterdam, The Netherlands, 2022; Volume 9, pp. 456–506. [Google Scholar]
- Smalley, R.K. 1,3,5-Oxadiazines and 1,3,5-Thiadiazines. In Comprehensive Heterocyclic Chemistry, 2nd ed.; Katritzky, A.R., Rees, C.W., Scriven, E.F.V., Eds.; Pergamon: Oxford, UK, 1996; Volume 6, pp. 783–823. [Google Scholar]
- Shobana, N.; Farid, P. 1,3,5-Oxadiazines and 1,3,5-Thiadiazines. In Comprehensive Heterocyclic Chemistry, 3rd ed.; Katritzky, A.R., Scriven, E.F.V., Ramsden, C.A., Taylor, R.J.K., Eds.; Elsevier: Amsterdam, The Netherlands, 2008; Volume 9, pp. 457–521. [Google Scholar]
- Ke, S.; Cao, X.; Liang, Y.; Wang, K.; Yang, Z. Synthesis and Biological Properties of Dihydro-Oxadiazine-Based Heterocyclic Derivatives. Mini Rev. Med. Chem. 2011, 11, 642–657. [Google Scholar] [CrossRef]
- Pasha, M.A.; Mondal, S.; Panigrahi, N. Review of Synthetic Strategies in the Development of Oxadiazine Scaffolds. Mediterr. J. Chem. 2019, 8, 338–364. [Google Scholar] [CrossRef]
- Zadorozhnii, P.V.; Pokotylo, I.O.; Kiselev, V.V.; Kharchenko, A.V.; Okhtina, O.V. In silico analysis of 6-(4-chlorophenyl)-N-aryl-4-(trichloromethyl)-4H-1, 3, 5-oxadiazin-2-amines as potential antagonists of VEGFR-1. Indo Am. J. Pharm. Sci. 2019, 6, 4196–4200. [Google Scholar]
- El-Ziaty, A.K.; Shiba, S.A. Antibacterial Activities of New (E)-2-Cyano-3-(3,4-dimethoxyphenyl)-2-propenoylamide Derivatives. Synth. Commun. 2007, 37, 4043–4057. [Google Scholar] [CrossRef]
- Patel, H.S.; Patel, K.B. Synthesis and Biological Activity of 3-[4H-(1,2,4)-Triazolyl]-2,6-diaryl-1,3,5-oxadiazine-4-thione. Phosphorus Sulfur Silicon Relat. Elem. 2009, 184, 2443–2452. [Google Scholar]
- Rambabu, N.; Viral, B.M.; Kirti, J.G. Synthesis and characterization of N-(4-(4-chlorophenyl)-6-(3,4-dimethylphenyl)pyrimidin-2-yl)-4-(2,6-diphenyl-4-thioxo-2H-1,3,5-oxadiazin-3(4H)-yl)benzenesulfonamide. Der Pharma Chem. 2012, 4, 511–516. [Google Scholar]
- Rambabu, N.; Ramachandran, D.; Viral, B.M.; Kirti, J.G. Synthesis, characterization and biological evaluation of 2,6-diphenyl-3-(4-(3-phenyl-[1,2,4]triazolo[3,4-b][1,3,4]thiadiazol-6-yl)phenyl)-2H-1,3,5-oxadiazine-4(3H)-thione. Der Pharma Chem. 2012, 4, 639–643. [Google Scholar]
- Patel, K.H.; Mehta, A.G. Synthesis and antifungal activity of [(4-(2-naphthalenyl) thiazol-2-yl)-2- (substituted phenyl)-6-phenyl- 4-thioxo- 1,3,5-oxadiazine] derivatives. Der Chem. Sin. 2012, 3, 1410–1414. [Google Scholar]
- Modi, V.P.; Jani, D.H.; Patel, H.S. Synthesis and Antimicrobial Evaluation of Spiro Compounds Containing 1,2,4-Triazole and Isatin. Orbital Electron. J. Chem. 2011, 3, 68–79. [Google Scholar]
- Ding, J.; Li, H.; Zhang, Z.; Lin, J.; Liu, F.; Mu, W. Thiamethoxam, Clothianidin, and Imidacloprid Seed Treatments Effectively Control Thrips on Corn Under Field Conditions. J. Insect Sci. 2018, 18, 19. [Google Scholar] [CrossRef]
- Juan Valente, M.-G.; María del Refugio, C.-C.; Daniel Arturo, R.-L.; Joaquín, M.-G.; Fabiola, L.-R.; Otto Raúl, L.-O. Impact of Thiamethoxam in Papaya Cultivation (Carica papaya Linnaeus) in Rotation with Watermelon (Citrullus lanatus) Crops. Agriculture 2019, 9, 129. [Google Scholar] [CrossRef]
- Maienfisch, P. Synthesis and Properties of Thiamethoxam and Related Compounds. Z. Naturforsch. 2006, 61b, 353–359. [Google Scholar] [CrossRef]
- Yang, S.; Kang, T.; Rui, C.; Yang, X.; Sun, Y.; Cui, Z.; Ling, Y. Design, Synthesis, and Insecticidal Activity of 1,5-Diphenyl-1-pentanone Analogues. Chin. J. Chem. 2011, 29, 2394–2400. [Google Scholar] [CrossRef]
- Assy, M.G.; Haiekl, A.; Moustafa, H.Y. Behavior of terephthaloyl isothiocyanate towards carbon and nitrogen reagents. Phosphorus Sulfur Silicon Relat. Elem. 1995, 106, 179–185. [Google Scholar] [CrossRef]
- Shiba, S.A. Decomposition of 2-Propenoyl Azide Derivatives. Synthesis and Larvicidal Activity of Novel Products. Arch. Pharm. Pharm. Med. Chem. 1998, 331, 91–96. [Google Scholar] [CrossRef]
- Shiba, S.A. Synthesis and insecticidal activity of novel acrylonitrile derivatives. Phosphorus Sulfur Silicon Relat. Elem. 1996, 114, 29–37. [Google Scholar] [CrossRef]
- Chee, G.L.; Brewer, A.D.; Bell, A.R.; Aksinenko, A.Y.; Sokolov, V.B. Substituted oxadiazines useful as pesticides. U.S. Patent 6514911 B1, 4 February 2003. [Google Scholar]
- Gao, Y.; Arritt, S.W.; Twamley, B.; Shreeve, J.M. Guanidinium-Based Ionic Liquids. Inorg. Chem. 2005, 44, 1704–1712. [Google Scholar] [CrossRef] [PubMed]
- Decostanzi, M.; Auvergne, R.; Darroman, E.; Boutevin, B.; Caillol, S. Reactivity and kinetics of HDI-iminooxadiazinedione: Application to polyurethane synthesis. Eur. Polym. J. 2017, 96, 443–451. [Google Scholar] [CrossRef]
- Gao, H.; Shreeve, J.M. The Many Faces of FOX-7: A Precursor to High-Performance Energetic Materials. Angew. Chem. Int. Ed. 2015, 54, 6335–6338. [Google Scholar] [CrossRef]
- Ding, H.; Roberts, A.G.; Harran, P.G. Synthetic (±)-Axinellamines Deficient in Halogen. Angew. Chem. Int. Ed. 2012, 51, 4340–4343. [Google Scholar] [CrossRef] [PubMed]
- Wu, F.; Wu, L.H.; Xiao, X.; Zhang, Y.Q.; Xue, S.F.; Tao, Z.; Day, A.I. Locating the Cyclopentano Cousins of the Cucurbit[n]uril Family. J. Org. Chem. 2012, 77, 606–611. [Google Scholar] [CrossRef]
- Limei, Z.; Jiannan, Z.; Yunqian, Z.; Qianjiang, Z.; Saifeng, X.; Zhu, T.; Jianxin, Z.; Xin, Z.; Zhanbin, W.; Lasheng, L.; et al. Opposing substitution in cucurbit[6]urils forms ellipsoid cavities: The symmetrical dicyclohexanocucurbit[6]uril is no exception highlighted by inclusion and exclusion complexes. Supramol. Chem. 2008, 20, 709–716. [Google Scholar] [CrossRef]
- Zhao, Y.; Mandadapu, V.; Iranmanesh, H.; Beves, J.E.; Day, A.I. The Inheritance Angle: A Determinant for the Number of Members in the Substituted Cucurbit[n]uril Family. Org. Lett. 2017, 19, 4034–4037. [Google Scholar] [CrossRef]
- Ma, D.; Zavalij, P.Y.; Isaacs, L. Acyclic Cucurbit[n]uril Congeners Are High Affinity Hosts. J. Org. Chem. 2010, 75, 4786–4795. [Google Scholar] [CrossRef]
- Sokolov, J.; Lizal, T.; Sindelar, V. Dimeric molecular clips based on glycoluril. New J. Chem. 2017, 41, 6105–6111. [Google Scholar] [CrossRef]
- Kikot, L.S.; Kulygina, C.Y.; Lyapunov, A.Y.; Shishkina, S.V.; Zubatyuk, R.I.; Bogashchenko, T.Y.; Kirichenko, T.I. Synthesis and complexation of molecular clips based on diphenylglycoluril and dibenzocrown ethers with alkali metal cations and paraquat. Tetrahedron 2018, 74, 5725–5732. [Google Scholar] [CrossRef]
- Hardouin-Lerouge, M.; Cotelle, Y.; Legoupy, S.; Hudhomme, P. Synthesis of glycoluril-tetrathiafulvalene molecular clips for electron-deficient neutral guests through a straightforward Diels–Alder strategy. New J. Chem. 2014, 38, 5341–5348. [Google Scholar] [CrossRef]
- Gilberg, L.; Zhang, B.; Zavalij, P.Y.; Sindelar, V.; Isaacs, L. Acyclic cucurbit[n]uril-type molecular containers: Influence of glycoluril oligomer length on their function as solubilizing agents. Org. Biomol. Chem. 2015, 13, 4041–4050. [Google Scholar] [CrossRef] [PubMed]
- Zhang, B.; Isaacs, L. Acyclic Cucurbit[n]uril-type Molecular Containers: Influence of Aromatic Walls on their Function as Solubilizing Excipients for Insoluble Drugs. J. Med. Chem. 2014, 57, 9554–9563. [Google Scholar] [CrossRef]
- Wu, J.B.; Cheng, Y.D.; Kuo, S.C.; Wu, T.S.; Iitaka, Y.; Ebizuka, Y.; Sankawa, U. Fissoldhimine, a novel skeleton alkaloid from Fissistigma Oldhamii. Chem. Pharm. Bull. 1994, 42, 2202–2204. [Google Scholar] [CrossRef]
- Bergmann, T.; Schories, D.; Steffan, B. Alboinon, an oxadiazinone alkaloid from the ascidian Dendrodoa grossularia. Tetrahedron 1997, 53, 2055–2060. [Google Scholar] [CrossRef]
- Onys’ko, P.P.; Sinitsa, A.A.; Pirozhenko, V.V.; Chernega, A.N. Synthesis of phosphorylated 1,3,5-oxadiazines via N-acyltrifluoroacetimidoilphosphonates. Heteroat. Chem. 2002, 13, 22–26. [Google Scholar] [CrossRef]
- Pokotylo, I.O.; Zadorozhnii, P.V.; Kiselev, V.V.; Kharchenko, A.V. Synthesis, Spectral Characteristics and Molecular Structure of 2H-1,3,5-Oxadiazine-2,4(3H)-Diimine Derivatives. J. Heterocycl. Chem. 2023, 60, 1799–1808. [Google Scholar] [CrossRef]
- Zadorozhnii, P.V.; Pokotylo, I.O.; Kiselev, V.V.; Kharchenko, A.V. Synthesis of (Z)-N,3-Dicyclohexyl-6-Substituted-4-(Trichloromethyl)-3,4-Dihydro-2H-1,3,5-Oxadiazin-2-Imines via [4+2] Hetero Diels-Alder Reaction: Their Spectral Characteristics and Molecular Structure. Chem. Data Coll. 2023, 48, 101093. [Google Scholar] [CrossRef]
- Cyrener, J.; Burger, K. Überraschende Reaktionen von 4,4-Bis(trifluormethyl)-1-oxa-3-azabuta-1,3-dienen: Tandem-Reaktion mit Acrylnitril. Monatshefte Chem. 1995, 126, 1383–1390. [Google Scholar] [CrossRef]
- Behalo, M.S.; Gad El-karim, I.A.; Issac, Y.A.; Farag, M.A. Synthesis of novel pyridazine derivatives as potential antimicrobial agents. J. Sulfur Chem. 2014, 35, 661–673. [Google Scholar] [CrossRef]
- Ni, H.; Zhang, Y.; Zhang, F.; Zhao, J.; Wu, L.; Chu, X. Synthesis, structural characterization and theoretical approach of 3-(2,6-dichlorobenzyl)-5-methyl-N-nitro-1,3,5-oxadiazinan-4-imine. Spectrochim. Acta Part A 2015, 138, 648–659. [Google Scholar] [CrossRef]
- Qu, W.Y.; She, D.M.; Zhao, J.; Lin, D.J.; Huang, Q.L.; Li, F.M. Mannich-Type Reaction for Synthesis of 3-Methyl-4-nitroimino-tetrahydro-1,3,5-oxadiazine. Synth. Commun. 2012, 42, 1950–1958. [Google Scholar] [CrossRef]
- He, J.L.; Cheng, W.H. Synthesis, Characterization and Crystal Structure of N-(3-((2-Chlorothiazol-5-yl)methyl)-5-methyl-1,3,5-oxadiazinan-4-ylidene)nitramide. Asian J. Chem. 2015, 27, 2383–2385. [Google Scholar] [CrossRef]
- Kang, T.N.; Zhang, L.; Ling, Y.; Yang, X.L. 3-[(E)-3,7-Di methyl octa-2,6-dien yl]-5-methyl-N-nitro-1,3,5-oxadiazinan-4-imine. Acta Cryst. E 2008, 64, o1154. [Google Scholar] [CrossRef]
- Vijayan, A.; Baiju, T.V.; Jijy, E.; Prakash, P.; Shimi, M.; Joseph, N.; Pihko, P.M.; Varughesed, S.; Radhakrishnan, K.V. An easy access to fused chromanones via rhodium catalyzed oxidative coupling of salicylaldehydes with heterobicyclic olefins. Tetrahedron 2016, 72, 4007–4015. [Google Scholar] [CrossRef]
- Vijayan, A.; Jumaila, C.U.; Radhakrishnan, K.V. Rhodium(III)-Catalyzed C−H Activation of O-Acetyl Ketoximes/N-Methoxybenzamides toward the Synthesis of Isoquinoline/Isoquinolone-Fused Bicycles. Asian J. Org. Chem. 2017, 6, 1561–1565. [Google Scholar] [CrossRef]
- Younis, S.K.; Ahmed, B.A. Synthesis of Some New 1,3,5-Oxadiazine Derivatives. Rafidain J. Sci. 2008, 19, 10–17. [Google Scholar]
- Zadorozhnii, P.V.; Kiselev, V.V.; Pokotylo, I.O.; Kharchenko, A.V. A new method for the synthesis of 4H-1,3,5-oxadiazine derivatives. Heterocycl. Commun. 2017, 23, 369–374. [Google Scholar] [CrossRef]
- Zadorozhnii, P.V.; Pokotylo, I.O.; Kiselev, V.V.; Kharchenko, A.V.; Okhtina, O.V. Synthesis and Spectral Characteristics of Some New 4H-1,3,5-Oxadiazine Derivatives. Res. J. Pharm. Biol. Chem. Sci. 2019, 10, 1508–1515. [Google Scholar]
- Zadorozhnii, P.V.; Kiselev, V.V.; Pokotylo, I.O.; Okhtina, O.V.; Kharchenko, A.V. Synthesis and mass spectrometric fragmentation pattern of 6-(4-chlorophenyl)-N-aryl-4-(trichloromethyl)-4H-1,3,5-oxadiazin-2-amines. Heterocycl. Commun. 2018, 24, 273–278. [Google Scholar] [CrossRef]
- Gao, Y.; Hu, Z.; Dong, J.; Liu, J.; Xu, X. Chemoselective Double Annulation of Two Different Isocyanides: Rapid Access to Trifluoromethylated Indole-Fused Heterocycles. Org. Lett. 2017, 19, 5292–5295. [Google Scholar] [CrossRef] [PubMed]
- Pokotylo, I.O.; Zadorozhnii, P.V.; Kiselev, V.V.; Kharchenko, A.V. A New Approach to the Synthesis of 4H-1,3,5-Oxadiazine Derivatives. Biointerface Res. Appl. Chem. 2023, 13, 379. [Google Scholar]

Disclaimer/Publisher’s Note: The statements, opinions and data contained in all publications are solely those of the individual author(s) and contributor(s) and not of MDPI and/or the editor(s). MDPI and/or the editor(s) disclaim responsibility for any injury to people or property resulting from any ideas, methods, instructions or products referred to in the content. |
© 2025 by the authors. Licensee MDPI, Basel, Switzerland. This article is an open access article distributed under the terms and conditions of the Creative Commons Attribution (CC BY) license (https://creativecommons.org/licenses/by/4.0/).
Share and Cite
Pavlova, V.V.; Zadorozhnii, P.V.; Kotliar, D.S.; Okhtina, O.V.; Kiselev, V.V.; Kharchenko, A.V. Synthesis and Spectral Characteristics of N-(1-(((2E,4E)-6-(2-Bromophenyl)-3-cyclohexyl-2-(cyclohexylimino)-2,3-dihydro-4H-1,3,5-oxadiazin-4-ylidene)amino)-2,2,2-trichloroethyl)acetamide. Chem. Proc. 2025, 18, 77. https://doi.org/10.3390/ecsoc-29-26847
Pavlova VV, Zadorozhnii PV, Kotliar DS, Okhtina OV, Kiselev VV, Kharchenko AV. Synthesis and Spectral Characteristics of N-(1-(((2E,4E)-6-(2-Bromophenyl)-3-cyclohexyl-2-(cyclohexylimino)-2,3-dihydro-4H-1,3,5-oxadiazin-4-ylidene)amino)-2,2,2-trichloroethyl)acetamide. Chemistry Proceedings. 2025; 18(1):77. https://doi.org/10.3390/ecsoc-29-26847
Chicago/Turabian StylePavlova, Valeriia V., Pavlo V. Zadorozhnii, Denys S. Kotliar, Oxana V. Okhtina, Vadym V. Kiselev, and Aleksandr V. Kharchenko. 2025. "Synthesis and Spectral Characteristics of N-(1-(((2E,4E)-6-(2-Bromophenyl)-3-cyclohexyl-2-(cyclohexylimino)-2,3-dihydro-4H-1,3,5-oxadiazin-4-ylidene)amino)-2,2,2-trichloroethyl)acetamide" Chemistry Proceedings 18, no. 1: 77. https://doi.org/10.3390/ecsoc-29-26847
APA StylePavlova, V. V., Zadorozhnii, P. V., Kotliar, D. S., Okhtina, O. V., Kiselev, V. V., & Kharchenko, A. V. (2025). Synthesis and Spectral Characteristics of N-(1-(((2E,4E)-6-(2-Bromophenyl)-3-cyclohexyl-2-(cyclohexylimino)-2,3-dihydro-4H-1,3,5-oxadiazin-4-ylidene)amino)-2,2,2-trichloroethyl)acetamide. Chemistry Proceedings, 18(1), 77. https://doi.org/10.3390/ecsoc-29-26847

