Styrene–Divinylbenzene Copolymers Functionalized with Amino Acid Groups: Synthesis and Physicochemical Characterization †
Abstract
1. Introduction
2. Experimental Part
2.1. Materials and Methods
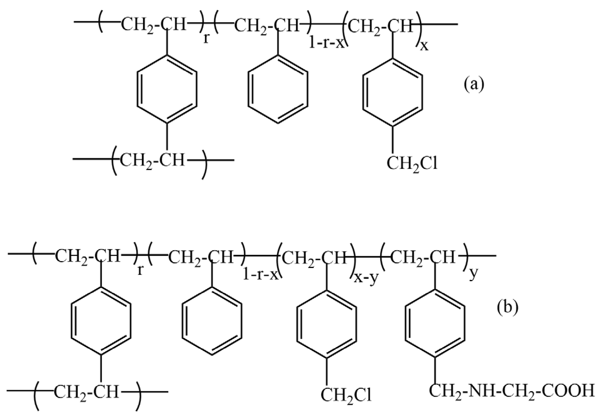
2.2. Obtaining Amino Acid Groups Grafted onto Styrene-Divinylbenzene Copolymer
3. Results and Discussion
3.1. Characterization of Amino Acid Functionalized onto Styrene-Divinylbenzene Copolymers
3.2. Thermal Stability of Amino Acid Functionalized onto Styrene-Divinylbenzene Copolymers
4. Conclusions
Author Contributions
Funding
Institutional Review Board Statement
Informed Consent Statement
Data Availability Statement
Conflicts of Interest
References
- Teixeira, V.G.; Coutinho, F.M.B. Morphological study on the reactivity of styrene-divinylbenzene copolymers in a chloromethylation reaction. J. Appl. Polym. Sci. 2010, 118, 2389–2396. [Google Scholar] [CrossRef]
- Ramos, G.S.M.; Mendes, M.S.L.; Neves, M.A.F.S.; Pedrosa, M.S.; da Silva, M.R. Experimental design to evaluate the efficiency of maghemite nanoparticles incorporation in styrene-divinylbenzene copolymers. J. Appl. Polym. Sci. 2021, 138, 50318. [Google Scholar] [CrossRef]
- Khan, W.S.; Muthupandian, S.; Farah, N.; Kumar, A.J. Domb, Biodegradable Polymers Derived From Amino Acids Macromol. Biomaterials 2011, 11, 1625–1636. [Google Scholar]
- Cocheci, L.; Visa, A.; Maranescu, B.; Lupa, L.; Pop, A.; Dragan, E.S.; Popa, A. Glycine-group-functionalized polymeric materials impregnated with Zn(II) used in the photocatalytic degradation of congo red dye. Polymers 2025, 17, 641. [Google Scholar] [CrossRef] [PubMed]
- Karabacak, M.; Kurt, M. The spectroscopic (FT-IR and FT-Raman) and theoretical studies of 5-bromo-salicylic acid. J. Mol. Struct. 2009, 919, 215–222. [Google Scholar] [CrossRef]
- Arjunan, V.; Balamourougane, P.S.; Mythili, C.V.; Mohan, S. Experimental spectroscopic (FTIR, FT-Raman, FT-NMR, UV–Visible) and DFT studies of 2-amino-5-chlorobenzoxazole. J. Mol. Struct. 2011, 1003, 92–102. [Google Scholar] [CrossRef]
- Boukaoud, A.; Chiba, Y.; Sebbar, D. A periodic DFT study of IR spectra of amino acids: An approach toward a better understanding of the N-H and O-H stretching regions. Vib. Spectrosc. 2021, 116, 103280. [Google Scholar] [CrossRef]








| Element/ Sample | Wt % | |||
|---|---|---|---|---|
| C | N | O | Cl | |
| AP1 | 88.64 | 0.45 | 8.84 | 2.07 |
| AP2 | 90.54 | 0.47 | 7.69 | 1.18 |
| Code | N (%,Wt) | x | Y a | Mmi b | Mmf c | GF aminoacid (mmol/g) d |
|---|---|---|---|---|---|---|
| AP1 | 0.45 | 0.36 | 0.035 | 107.12 | 108.46 | 0.321 |
| AP2 | 0.47 | 0.51 | 0.043 | 127.32 | 128.97 | 0.333 |
Disclaimer/Publisher’s Note: The statements, opinions and data contained in all publications are solely those of the individual author(s) and contributor(s) and not of MDPI and/or the editor(s). MDPI and/or the editor(s) disclaim responsibility for any injury to people or property resulting from any ideas, methods, instructions or products referred to in the content. |
© 2025 by the authors. Licensee MDPI, Basel, Switzerland. This article is an open access article distributed under the terms and conditions of the Creative Commons Attribution (CC BY) license (https://creativecommons.org/licenses/by/4.0/).
Share and Cite
Popa, A.; Visa, A.; Cocheci, L.; Lupa, L.; Țară-Lungă Mihali, M.; Dragan, E.S. Styrene–Divinylbenzene Copolymers Functionalized with Amino Acid Groups: Synthesis and Physicochemical Characterization. Chem. Proc. 2025, 18, 60. https://doi.org/10.3390/ecsoc-29-26721
Popa A, Visa A, Cocheci L, Lupa L, Țară-Lungă Mihali M, Dragan ES. Styrene–Divinylbenzene Copolymers Functionalized with Amino Acid Groups: Synthesis and Physicochemical Characterization. Chemistry Proceedings. 2025; 18(1):60. https://doi.org/10.3390/ecsoc-29-26721
Chicago/Turabian StylePopa, Adriana, Aurelia Visa, Laura Cocheci, Lavinia Lupa, Milica Țară-Lungă Mihali, and Ecaterina Stela Dragan. 2025. "Styrene–Divinylbenzene Copolymers Functionalized with Amino Acid Groups: Synthesis and Physicochemical Characterization" Chemistry Proceedings 18, no. 1: 60. https://doi.org/10.3390/ecsoc-29-26721
APA StylePopa, A., Visa, A., Cocheci, L., Lupa, L., Țară-Lungă Mihali, M., & Dragan, E. S. (2025). Styrene–Divinylbenzene Copolymers Functionalized with Amino Acid Groups: Synthesis and Physicochemical Characterization. Chemistry Proceedings, 18(1), 60. https://doi.org/10.3390/ecsoc-29-26721

