Design, Synthesis, and Biological Assessment of Novel Vanillin-Isoxazole Derivatives as Positive Allosteric Modulators of α7 Nicotinic Acetylcholine Receptor †
Abstract
:1. Introduction
2. Experimental Procedures
2.1. General Methods—Chemistry
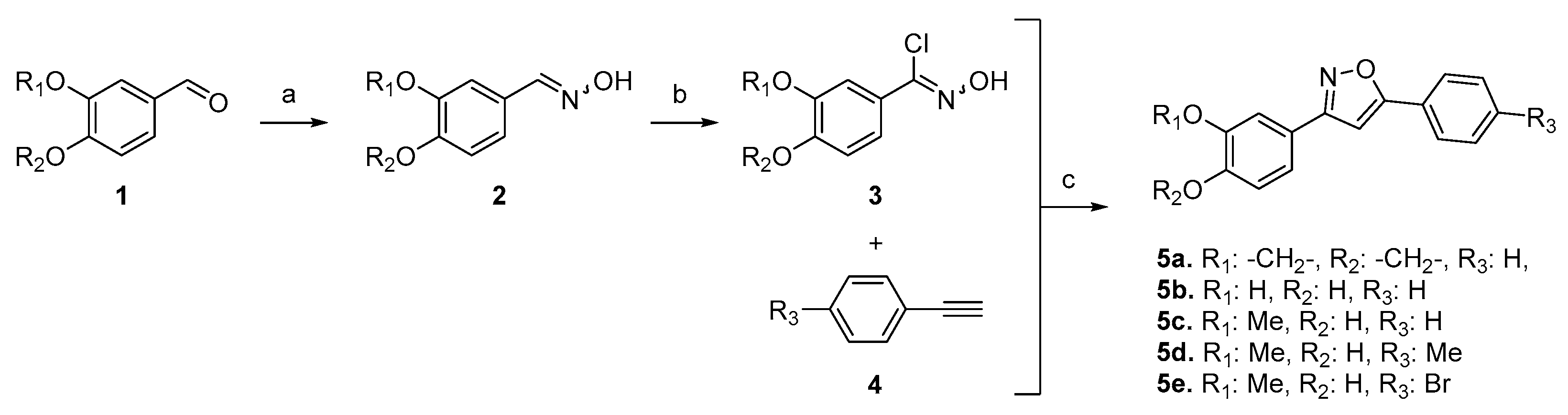
2.2. General Procedure for the Synthesis of Isoxazoles [6]
2.3. Expression of Human α7 wild Type Receptor
2.4. Single-Channel Recordings
2.5. Statistical Analysis
3. Results and Discussion
4. Conclusions
Author Contributions
Funding
Institutional Review Board Statement
Informed Consent Statement
Data Availability Statement
Acknowledgments
Conflicts of Interest
References
- Nielsen, B.E.; Bermudez, I.; Bouzat, C. Flavonoids as Positive Allosteric Modulators of α7 Nicotinic Receptors. Neuropharmacology 2019, 160, 107794. [Google Scholar] [CrossRef] [PubMed]
- Ximenis, M.; Mulet, J.; Sala, S.; Sala, F.; Criado, M.; González-Muñiz, R.; Pérez de Vega, M.J. Natural Polyhydroxy Flavonoids, Curcuminoids, and Synthetic Curcumin Analogs as α7 nAChRs Positive Allosteric Modulators. Int. J. Mol. Sci. 2021, 22, 973. [Google Scholar] [CrossRef] [PubMed]
- Hurst, R.S.; Hajós, M.; Raggenbass, M.; Wall, T.M.; Higdon, N.R.; Lawson, J.A.; Rutherford-Root, K.L.; Berkenpas, M.B.; Hoffmann, W.E.; Piotrowski, D.W.; et al. A Novel Positive Allosteric Modulator of the α7 Neuronal Nicotinic Acetylcholine Receptor: In Vitro and In Vivo Characterization. J. Neurosci. 2005, 25, 4396–4405. [Google Scholar] [CrossRef] [PubMed]
- Hansen, T.V.; Wu, P.; Fokin, V.V. One-Pot Copper(I)-Catalyzed Synthesis of 3,5-Disubstituted Isoxazoles. J. Org. Chem. 2005, 70, 7761–7764. [Google Scholar] [CrossRef] [PubMed]
- Nielsen, B.E.; Stabile, S.; Vitale, C.; Bouzat, C. Design, Synthesis, and Functional Evaluation of a Novel Series of Phosphonate-Functionalized 1,2,3-Triazoles as Positive Allosteric Modulators of α7 Nicotinic Acetylcholine Receptors. ACS Chem. Neurosci. 2020, 11, 2688–2704. [Google Scholar] [CrossRef] [PubMed]
- Stabile, S.; Bjerg, E.E.; Radivoy, G.E. Copper Nanoparticles on Montmorillonite K-10: A Versatile Catalyst for the One-Pot Synthesis of 3,5-Disubstituted Isoxazoles Using Various Methodologies. Synthesis 2023, 55, A. [Google Scholar] [CrossRef]
- Chrestia, J.F.; Bruzzone, A.; del Esandi, M.C.; Bouzat, C. Tyrosine Phosphorylation Differentially Fine-Tunes Ionotropic and Metabotropic Responses of Human α7 Nicotinic Acetylcholine Receptor. Cell. Mol. Life Sci. 2021, 78, 5381–5395. [Google Scholar] [CrossRef] [PubMed]



| Condition | Mean Open Duration (ms) | Mean Burst Duration (ms) | n | N |
|---|---|---|---|---|
| 100 µM ACh | 0.24 ± 0.03 | 0.37 ± 0.06 | 8 | 7 |
| 100 µM ACh+ 50 µM 5a | 0.28 ± 0.04 (ns) | 1.69 ± 0.14 (***) | 4 | 2 |
| 100 µM ACh+ 50 µM 5b | 0.25 ± 0.04 (ns) | 0.81 ± 0.08 (***) | 5 | 3 |
| 100 µM ACh+ 50 µM 5c | 0.31 ± 0.06 (*) | 3.93 ± 0.68 (***) | 5 | 2 |
| 100 µM ACh+ 50 µM 5d | 0.36 ± 0.09 (**) | 1.16 ± 0.23 (***) | 6 | 3 |
| 100 µM ACh+ 50 µM 5e | 0.87 ± 0.18 (***) | 3.88 ± 0.59 (***) | 4 | 2 |
Disclaimer/Publisher’s Note: The statements, opinions and data contained in all publications are solely those of the individual author(s) and contributor(s) and not of MDPI and/or the editor(s). MDPI and/or the editor(s) disclaim responsibility for any injury to people or property resulting from any ideas, methods, instructions or products referred to in the content. |
© 2023 by the authors. Licensee MDPI, Basel, Switzerland. This article is an open access article distributed under the terms and conditions of the Creative Commons Attribution (CC BY) license (https://creativecommons.org/licenses/by/4.0/).
Share and Cite
Stabile, S.; Chrestia, J.F.; Radivoy, G.; Bouzat, C. Design, Synthesis, and Biological Assessment of Novel Vanillin-Isoxazole Derivatives as Positive Allosteric Modulators of α7 Nicotinic Acetylcholine Receptor. Chem. Proc. 2023, 14, 65. https://doi.org/10.3390/ecsoc-27-16097
Stabile S, Chrestia JF, Radivoy G, Bouzat C. Design, Synthesis, and Biological Assessment of Novel Vanillin-Isoxazole Derivatives as Positive Allosteric Modulators of α7 Nicotinic Acetylcholine Receptor. Chemistry Proceedings. 2023; 14(1):65. https://doi.org/10.3390/ecsoc-27-16097
Chicago/Turabian StyleStabile, Santiago, Juan Facundo Chrestia, Gabriel Radivoy, and Cecilia Bouzat. 2023. "Design, Synthesis, and Biological Assessment of Novel Vanillin-Isoxazole Derivatives as Positive Allosteric Modulators of α7 Nicotinic Acetylcholine Receptor" Chemistry Proceedings 14, no. 1: 65. https://doi.org/10.3390/ecsoc-27-16097
APA StyleStabile, S., Chrestia, J. F., Radivoy, G., & Bouzat, C. (2023). Design, Synthesis, and Biological Assessment of Novel Vanillin-Isoxazole Derivatives as Positive Allosteric Modulators of α7 Nicotinic Acetylcholine Receptor. Chemistry Proceedings, 14(1), 65. https://doi.org/10.3390/ecsoc-27-16097

