Abstract
Hantzsch 1,4-dihydropyridines (Hantzsch 1,4-DHP), have been utilized as starting material in organic synthesis. In addition, several 1,4-DHP based drugs (Nifedipine, Niguldipine, Amlodepine besylate) have been recognized for the treatment of cardiovascular diseases. During the redox processes, 1,4-DHP systems are oxidatively transformed into the corresponding pyridine derivatives. Furthermore, the oxidation of Hantzsch 1,4-DHP constitutes the more accessible method to obtain pyridine derivatives with a great spectrum of important properties. Pyritic ashes, a waste material from the metallurgical industry, has shown catalytic activity in redox processes, and its use can facilitate the obtaining of derivatives from dihydropyridines under sustainable conditions.
1. Introduction
Compounds from the 1,4-dihydropyridine (1,4-DHP) series, which have been studied since 1882 beginning with the inaugural synthetic report via Hantzsch’s multicomponent reaction, hold interest not only in the realm of fundamental scientific research within heterocyclic chemistry but also, and more importantly, in their extensive practical applications. Derivatives of 1,4-DHPs are particularly notable in medicine and organic synthesis, where they are used for the laboratory-scale preparation of pyridine derivatives. In consideration of the conceptual series: structure-properties-functionality-applications, numerous comprehensive reviews [1,2,3,4,5,6] have been published on the chemistry, and pharmacological properties and synthesis of 1,4-DHPs. Additionally, there are more specialized reviews focusing on synthesis [7], and oxidation [8] of 1,4-DHPs.
The oxidative aromatization of dihydropyridines stands out as a versatile and efficient method at the laboratory scale, yielding a variety of poly-substituted pyridines. These compounds find extensive applications in pharmacology, agrochemistry, organic synthesis, and industry. Despite the wide range of oxidizing agents available for this process, from inorganic salts, solid supports, microwaves, ultrasound, enzymes, UV-Vis, organo-inorganic molecular systems to Cytochrome P-450 [9,10,11,12,13,14,15,16,17], the oxidative aromatization of dihydropyridines presents real issues. These include the steric constrain and reactivity of functional groups in the molecule, sensitivity to various reagents and reaction conditions, and the formation of secondary products. Such by-products not only complicate the separation process, increasing costs, but also pose significant environmental treatment challenges.
In this context, taking into account the potential of green chemistry [18,19] applied to oxidative aromatization processes, there is a need to explore new reaction systems. Particularly, those that employ heterogeneous catalytic conditions could address these limitations, making the processing of the reaction mixture more environmentally friendly.
Pyrite ash [20,21] is a residue from the roasting of pyrite ores to obtain sulphuric acid used in the fertilizer industry and its production is widely extended worldwide. The mismanagement of this waste may result in environmental and health damages due to its physico-chemical characteristics.
In this communication, we wish to report our preliminary results on the synthesis of pyridine derivatives (illustrative examples) under heterogeneous and mild conditions, using pyritic ash as a solid catalyst and efficient oxidant but also as something tolerant to functionalities present in 1,4-DHPs.
2. Materials and Methods
2.1. General Procedures
All commercial reagents (oxides, ammonium acetate, 2-nitrobenzaldehyde, methyl acetoacetate, ethyl acetoacetate and selected solvents (CHCl3, CH3CN, ethanol, and methanol) were purchased from Sigma-Aldrich/Merck Life Science (Darmstadt, Germany), and they were used without any further purification or synthetic modification.
2.2. Catalyst for Oxidative Aromatization
The pyritic ash, a byproduct from processing pyrite ore at the Sulfometales “Patricio Lumumba” Company in Santa Lucia, Pinar del Río, Cuba, originates from the exploitation of polymetallic pyritic ores at the “Julio Antonio Mella” deposit (GPS: 22.653848; −83.976551). A total of 2.0 kg of this pyritic ash material, labeled NRQ 0341978, was collected for various analyses and processes. The distribution of the sample was as follows: 1 kg was set aside for size classification, 0.5 kg was allocated for chemical and phase determinations, and the remaining 0.5 kg was used for developing catalytic processes in the organic synthesis of high-value-added derivatives, pertinent to the pharmaceutical and agrochemical industries. The portions of 0.5 kg each were finely crushed to achieve a particle size smaller than 0.177 mm, meeting the size requirements for chemical, rheological, and structural analyses. The reference material is stored at the Multidisciplinary Research Laboratory of the Technical University of Esmeraldas, Ecuador.
2.3. Catalyst for Synthesis of 1,4-DHP (Model Compounds)
The catalyst sample for synthesizing 1,4-DHP (1 and Nife) was prepared using the chemical co-precipitation method. The precursors FeSO4·7H2O and FeCl3 were utilized, with the Fe2+ and Fe3+ cations present in a mass ratio of 1 to 2, weighing 5.2 g and 6 g respectively, as determined by stoichiometric calculations. A magnetic stirrer (MHS-10L, 2017, Oxford Lab Products, San Diego, CA, USA) was set to operate at 550 rpm and maintained at a temperature range of 75–80 °C. Upon reaching this temperature range, the precursors were added while stirring. This resulted in an orange coloration, and the mixture was allowed to stabilize at this temperature for 10 min. Subsequently, 25 mL of NH4OH (28–30% V/V) was slowly added using a micropipette. Almost immediately, the solution turned black due to the precipitation of nanoparticles (NPs), indicating the formation of the catalyst. The mixture was then stirred for an additional 30 min to ensure homogeneity. Following this, the reaction mixture was centrifuged and the solid product was separated by filtration. Finally, the catalyst sample was dried in an oven at 80 °C, ground to a fine powder (yielding 4.2 g), and stored at room temperature until needed [22,23].
2.4. X-ray Diffraction Analysis. Phase Determination of the Catalyst Used
The X-ray diffraction analysis, used for the determination of the phases present in the pyritic ashes, was performed by the powder method, with the use of a PHILIPS PW 1710 diffractometer (2015, Eindhoven, The Netherlands), Kα radiation of Fe, and Mn filter, in the angular interval from 6 to 90°. The interpretation of the results was performed with the International Diffraction Data Center database of the year 2010.
2.5. Synthesis of 1,4-DHPs (Two Model Compounds)
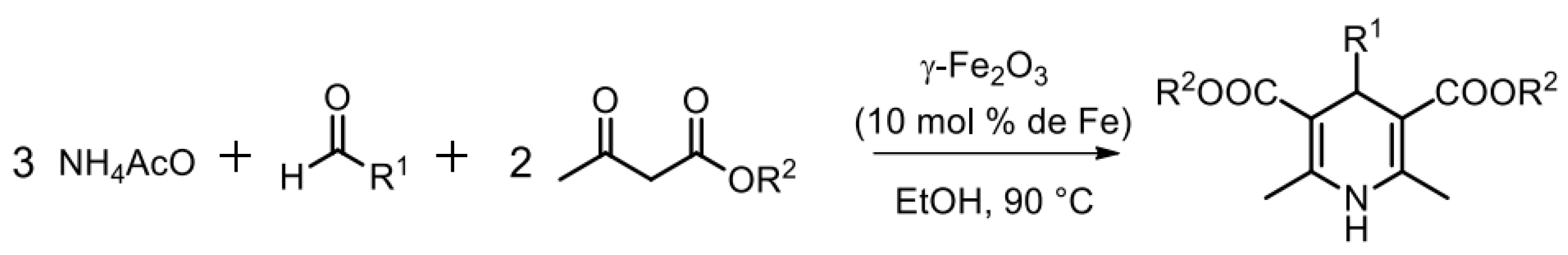
The methodology for synthesizing 1,4-dihydropyridines (1,4-DHPs) was developed through experimentation with catalysts in the multicomponent Hantzsch reaction. Maghemite (γ-Fe2O3) was selected as the catalyst due to its superparamagnetic properties, which facilitate the separation of the reaction medium and allow for its potential reuse.
The general reaction is depicted in Figure 1.
Figure 1.
Synthetic methodology of multicomponent reaction for 1,4-DHPs in catalytic heterogeneous conditions.
An amount of 15.0 mg of maghemite (10 mol% iron; 159 g mol−1) was added to a 25.0 mL glass vial with a screw cap, followed by 1.0 mmol of aldehyde, 2.0 mmol of ketoester, and 1.0 mL of absolute ethanol (P.A.). Then, 3.0 mmol of ammonium acetate (231.3 mg; 77.1 g mol−1) were added. The vial was wrapped in aluminum foil to protect it from light. Finally, the flask was sealed and placed in an oil bath at 90 °C with magnetic stirring for 1 h. After cooling to room temperature, the obtained compound was isolated by precipitation in ice-cold deionized water.
2.6. Oxidative Aromatization of Model 1,4-DHPs under Catalytic Heterogeneous Condition Using Pyritic Ash. Synthesis of Pyridinic Derivatives
The synthesis was conducted in a 25.0 mL round-bottomed flask using approximately 0.1 mmol of the 1,4-DHPs: 1 (27.2 mg; 253.3 g mol−1) and Nifedipine (48.3 mg; 346.1 g mol−1), along with 10.0 mL of acetonitrile and 0.2 mmol of I2 (52.5 mg; 253.8 g mol−1). The reaction mixture was maintained under reflux and magnetic stirring for 4 h. After cooling to room temperature, the acetonitrile was evaporated under reduced pressure. An amount of 50.0 mL of 0.1 M sodium thiosulfate was then added to the residue, and the aqueous solution was extracted with eight 50.0 mL portions of ethyl acetate. The organic phase was dried over anhydrous sodium sulfate, and the solvent was removed under reduced pressure to yield the products 1-ox and Nife-ox.
The general reaction is depicted in Figure 2.
Figure 2.
Oxidative aromatization of model 1,4-DHPs with pyritic ash.
2.7. Gas Chromatography Coupled with Mass Spectrometry (GC-MS)
A Hewlett-Packard 6890 gas chromatograph (Palo Alto, CA, USA) was used. A carrier gas was used, He, at a flow of 1 mL/min. An injection volume 2 μL at a temperature of 280 °C, was used in split mode (1:10 ratio) and with a capillary column of Ultra 2 type (J & W Scientific, Folsom, CA, USA). The ionization source was IE: 70 eV operating at 230 °C; -acquisition mode: Full Scan; -range of m/z 40–700.
2.8. NMR Studies
The 1H and 13C NMR analyses were carried out using a Bruker AC 250-Magnet (2005, Bruker Center AXS, Karlsruhe, Germany) equipment, operating at 250 MHz. The samples were prepared in 500 µL of CDCl3 containing, approximately, 5 mg of sample.
3. Results and Discussion
The eco-sustainable use of polyphasic residual materials of natural inorganic origin with potential catalytic capabilities at a laboratory scale represents a crucial aspect of technical-industrial development in Ecuador. This approach was previously established during the Prometheus program from 2014 to 2018. The approach focuses on the strategic utilization of residuals, the development of potential catalytic agents, their application in model organic reactions, and their reuse. It also aims to assess their functional capacity for application in various processes, minimizing environmental impact while maximizing atomic efficiency. Additionally, the Prometheus approach in Ecuador explored the potential for structural modifications at all scales of the industrial residuals. Pyritic ashes are a central subject of this conceptual framework [24].
Pyritic ashes have their chemical composition detailed in Table 1.
Table 1.
Chemical composition of pyritic ash used as solid catalyst 1.
The phases present in the pyritic ashes are detailed in Figure 3, where the interplanar distance of the phases is shown, with their corresponding angle of dispersion, as well as the relative intensity of each of the characteristic signals.
Figure 3.
X-ray diffractogram of pyritic ashes with catalytic activity in oxidative aromatization processes of 1,4-DHPs. Y-axis: Relative intensity; X-axis: Angle of dispersion 2 (Theta). PJ: plumbojarosite; G: goethite; A: anglesite; B: barite; H: hematite; Q: quartz; P: pyrite.
The phases identified are: Plumbojarosite (PbFe6(SO4)4(OH)12; Goethite (FeO.OH); Anglesite (PbSO4); Barite (BaSO4); Hematite (Fe2O3); Quartz (SiO2); and Pyrite (FeS2).
Several of the phases identified in the catalytic heterogeneous system for oxidative aromatization of dihydropyridines, based on natural pyritic ashes, show a recognized catalytic capacity in different industrial organic processes, such as the trans-esterification of used cooking oils, catalytic aqua-thermolysis of heavy crude oils, and reduction of nitroarene derivatives [25,26,27,28]. The presence of these phases suggests that pyritic ashes could potentially be used as catalysts in the oxidative aromatization of dihydropyridines.
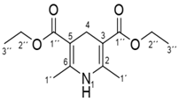
The synthesis of the starting model dihydropyridines achieved satisfactory yields, demonstrating the catalytic versatility of the nano-maghemite (vide supra). The molecular characterization is presented in Table 2.
Table 2.
Molecular characterization of model 1,4-DHPs synthetized in described conditions.
The oxidative aromatization process, conducted in the presence of pyritic ash, under reflux in acetonitrile, proceeded smoothly, yielding satisfactory results. By utilizing two model compounds, we were able to evaluate the catalytic efficiency of this polyphasic natural inorganic system in the given process. Notably, this heterogeneous system operates under mild conditions and does not generate any chemical residues. This aromatization process was very clean as indicated by the absence of side-spots during the analysis of the reaction mixture by means of planar chromatography (results not reported in this communication).
The results of aromatization of model 1,4-DHPs compounds are described in Table 3.
Table 3.
Oxidative aromatization of model 1,4-DHP with pyritic ashes.
4. Conclusions
A description is provided for a simple aromatization procedure carried out under mild heterogeneous conditions, yielding 70–90% for model 1,4-DHP structures. This process enables the obtention of substituted pyridines without the elimination or modification of substituents, nor the generation of secondary products. Notably, the procedure does not require an inert atmosphere, and the catalysts can be easily recovered. The affordability and availability of pyritic ashes as catalysts, combined with the simple treatment of the reaction mixture and the satisfactory yields, render this methodology an attractive and eco-sustainable option, and could be an interesting addition to existing synthetic protocols.
Author Contributions
J.E.T.M. Conceptualization, methodology and original draft preparation; C.B.V. investigation and validation; X.L.G.C. formal analysis and software; M.E.C. formal analysis, investigation and project administration; M.T.C.P. writing—review and editing, resources and investigation. All authors have read and agreed to the published version of the manuscript.
Funding
This study was sponsored, in part, by Ecuador’s Prometheus Project “Proyecto Prometeo SENESCyT-UCE-09085060, Government of Republic of Ecuador-Development of Catalytic Processes under Eco-sustainable Conditions” 2015–2017, Extended until 2018 with the reference title “Green Chemistry and Catalysis for High-Value Added Derivatives”, Central University of Ecuador.
Institutional Review Board Statement
Not applicable.
Informed Consent Statement
Not applicable.
Data Availability Statement
Not applicable.
Acknowledgments
The authors would like to thank the Technical University of Esmeraldas for the logistical support and infrastructure. J.E.T.M. thanks the Universidad Central del Ecuador for instrumental support.
Conflicts of Interest
The authors declare no conflict of interest.
References
- Eisner, U.; Kuthan, J. Chemistry of dihydropyridines. Chem. Rev. 1972, 72, 1–42. [Google Scholar] [CrossRef]
- Kuthan, J.; Kurfurst, A. Development in dihydropyridine chemistry. Ind. Eng. Chem. Prod. Res. Dev. 1982, 21, 191–261. [Google Scholar] [CrossRef]
- Khot, S.; Auti, P.B.; Khedkar, S.A. Diversified Synthetic Pathway of 1, 4-Dihydropyridines: A Class of Pharmacologically Important Molecules. Mini-Rev. Med. Chem. 2021, 2, 135–149. [Google Scholar] [CrossRef] [PubMed]
- Nesterova, E.Y.; Grishchenko, A.A. Main Directions in the Development of 1,4-Dihydropyridine Chemistry—A Literature Review. Bull. Dnipropetr. Univ. Ser. Chem. 2013, 19, 66–88. (In Russian) [Google Scholar]
- Mishra, A.P.; Bajpai, A.; Rai, A.K. 1,4-Dihydropyridine: A Dependable Heterocyclic Ring with the Promising and the Most Anticipable Therapeutic Effects. Mini-Rev. Med. Chem. 2019, 19, 1219–1254. [Google Scholar] [CrossRef]
- Ling, Y.; Hao, Z.-H.; Liang, D.; Zhang, C.L.; Liu, Y.-F.; Wang, Y. The Expanding Role of Pyridine and Dihydropyridine Scaffolds in Drug Design. Drug Des. Dev. Ther. 2012, 15, 4289–4338. [Google Scholar] [CrossRef] [PubMed]
- Sausinsh, A.E.A.; Dubur, G.Y. Synthesis of 1,4-dihydropyridines in cyclocondensation reactions. Chem. Heterocycl. Compd. 1992, 4, 435–467. (In Russian) [Google Scholar]
- Matern, A.I.; Charushin, V.N.; Chupakhin, O.N. Progress in the Studies of Oxidation of Dihydropyridines and Their Analogues. Russ. Chem. Rev. 2007, 76, 1–23. (In Russian) [Google Scholar] [CrossRef]
- Contreras-Cruz, D.A.; Cantú-Reyes, M.; García-Sánchez, J.M.; Peña-Ortíz, D.; Sánchez-Carmona, M.L.; Miranda, L.D. Shedding Blue Light on the Undergraduate Laboratory: An Easy-to-Assemble LED Photoreactor for Aromatization of a 1,4-Dihydropyridine. J. Chem. Educ. 2019, 96, 2015–2020. [Google Scholar] [CrossRef]
- Khaledian, D.; Rostami, A.; Zarei, S.A.; Mohammadi, B. Aerobic oxidative aromatization of Hantzsch 1,4-dihydropyridines via an anomeric-based oxidation in the presence of Laccase enzyme/4-Phenyl urazole as a cooperative catalytic oxidation system. J. Iran. Chem. Soc. 2019, 16, 1871–1878. [Google Scholar] [CrossRef]
- Ray, S.; Brown, M.; Bhaumik, A.; Dutta, A.; Mukhopadhyay, C. A new MCM-41 supported HPF6 catalyst for the library synthesis of highly substituted 1,4-dihydropyridines and oxidation to pyridines: Report of one-dimensional packing towards LMSOMs and studies on their photophysical properties. Green Chem. 2013, 15, 1910–1924. [Google Scholar] [CrossRef]
- Sepehrmansourie, H.; Zarei, M.; Zolfigol, M.A.; Babaee, S.; Rostamnia, S. Application of novel nanomagnetic metal–organic frameworks as a catalyst for the synthesis of new pyridines and 1,4-dihydropyridines via a cooperative vinylogous anomeric based oxidation. Sci. Rep. 2021, 11, 5279–5294. [Google Scholar] [CrossRef] [PubMed]
- Milovanovic, J.; Gündüz, M.G.; Zerva, A.; Petkovic, M.; Beskoski, V.; Thomaidis, N.S.; Topakas, E.; Nikodinovic-Runic, J. Synthesis and Laccase-Mediated Oxidation of New Condensed 1,4-Dihydropyridine Derivatives. Catalysts 2021, 11, 727. [Google Scholar] [CrossRef]
- Abdoli-Senejani, M.; Karami, K. Ultrasound-Assisted Heterogeneous Oxidation of 1,4-Dihydropyridines. Org. Prep. Proced. Int. 2020, 52, 274–281. [Google Scholar] [CrossRef]
- Comins, D.L.; Higuchi, K.; Young, D.W. Dihydropyridine Preparation and Application in the Synthesis of Pyridine Derivatives. In Advances in Heterocyclic Chemistry, 1st ed.; Katritzky, A.R., Ed.; Elsevier: Gainesville, FL, USA, 2013; Volume 110, pp. 175–235. [Google Scholar] [CrossRef]
- Turovska, B.; Goba, I.; Lielpetere, A.; Glezer, V. Electrochemistry of pyridine derivatives. J. Solid State Electrochem. 2023, 27, 1717–1729. [Google Scholar] [CrossRef]
- Zafar, A.M.; Jabeen, M.; Aslam, N.; Anjum, S.; Ghafoor, A.; Khan, M. Oxidation of Some Dihydropyridine Derivatives to Pyridine Via Different Methods. Front. Chem. Sci. 2021, 2, 117–131. [Google Scholar] [CrossRef]
- Grison, C.; Ki, Y.L.T. Ecocatalysis, a new vision of Green and Sustainable Chemistry. Curr. Opin. Green Sustain. Chem. 2021, 29, 100461. [Google Scholar] [CrossRef]
- Rubab, L.; Anum, A.; Al-Hussain, S.A.; Irfan, A.; Ahmad, S.; Ullah, S.; Al-Mutairi, A.A.; Zaki, M.E.A. Green Chemistry in Organic Synthesis: Recent Update on Green Catalytic Approaches in Synthesis of 1,2,4-Thiadiazoles. Catalysts 2022, 12, 1329. [Google Scholar] [CrossRef]
- Gabarrón, M.; Babur, O.; Soriano-Disla, J.M.; Faz, A.; Acosta, J.A. Composition and risk assessment of roasted pyrite ash from fertilizer production. Chemosphere 2018, 209, 209–277. [Google Scholar] [CrossRef]
- Oliveira, M.L.; Ward, C.R.; Izquierdo, M.; Sampaio, C.H.; de Brum, I.A.; Kautzmann, R.M.; Sabedot, S.; Querol, X.; Silva, L.F. Chemical composition and minerals in pyrite ash of an abandoned sulfuric acid production plant. Sci. Total Environ. 2012, 430, 34–47. [Google Scholar] [CrossRef]
- Ramos-Guivar, J.R.; Zarria-Romero, J.Y.; Castro-Merino, I.L.; Greneche, J.M.; Passamani, E. Improvement of the thermal stability of nanomaghemite by functionalization with type 5A zeolite and magnetic properties studied by in-field 57Fe Mössbauer measurements. J. Magn. Magn. Mater. 2022, 552, 169241. [Google Scholar] [CrossRef]
- Flores, D. Synthesis and Structural and Vibrational Characterization of Maghemite Nanoparticles Functionalized with Hexadecyltrimethylammonium Bromide and Zeolite Type 5A. Ph.D. Thesis, Faculty of Physical Sciences, Universidad Nacional Mayor de San Marcos, Lima, Peru, 2022. (In Spanish). [Google Scholar]
- Tacoronte Morales, J.E. Prometheus Project of the Republic of Ecuador. National Secretary of Science, Technology and Innovation, 2013–2018. SENESCyT-UCE-09085060. Development of Catalytic Processes under Eco-Sustainable Conditions. (In Spanish)
- Widayat, D.; Putra, A.; Nursafitri, I. Synthesis and catalytic evaluation of hematite (α-Fe2O3) magnetic nanoparticles from iron sand for waste cooking oil conversion to produce biodiesel through esterification-transesterification method. IOP Conf. Ser. Mater. Sci. Eng. 2020, 509, 012035. [Google Scholar] [CrossRef]
- Khalil, M.; Liu, N.; Lee, R.L. Catalytic Aqua-thermolysis of Heavy Crude Oil Using Surface-Modified Hematite Nanoparticles. Ind. Eng. Chem. Res. 2017, 56, 4572–4579. [Google Scholar] [CrossRef]
- Gholinejad, M.; Shojafar, M.; Sansano, J.M. Enhanced catalytic activity of natural hematite-supported ppm levels of Pd in nitroarenes reduction. J. Iran Chem. Soc. 2020, 17, 2033–2043. [Google Scholar] [CrossRef]
- Galadima, A.; Muraza, O. Waste materials for production of biodiesel catalysts: Technological status and prospects. J. Clean. Prod. 2020, 263, 121358. [Google Scholar] [CrossRef]
Disclaimer/Publisher’s Note: The statements, opinions and data contained in all publications are solely those of the individual author(s) and contributor(s) and not of MDPI and/or the editor(s). MDPI and/or the editor(s) disclaim responsibility for any injury to people or property resulting from any ideas, methods, instructions or products referred to in the content. |
© 2023 by the authors. Licensee MDPI, Basel, Switzerland. This article is an open access article distributed under the terms and conditions of the Creative Commons Attribution (CC BY) license (https://creativecommons.org/licenses/by/4.0/).






