Abstract
One-pot and stepwise reactions of salicylic aldehydes (salicylic, 5-bromsalicylic) and different equivalents of malononitrile and their mutual transformations were investigated. Various derivatives of 2-imino-2H-chromene-3-carbonitrile were isolated. This work reports the synthesis of novel 2-(4-amino-9-R-1-cyano-5-imino-3,5-dihydro-2H-chromeno[3,4-c]pyridin-2-ylidene)malononitriles. The influence of reaction parameters, such as ultrasound activation conditions, solvent type, and the presence or absence of a catalyst, was studied in this work. The structures of the synthesized compounds were established using spectroscopic data (IR, NMR).
1. Introduction
Heterocyclic-fused derivatives of imino(amino)chromenes of natural and synthetic origin exhibit a wide variety of biological properties including antimicrobial, antiviral, anticancer, antioxidant, and anti-inflammatory activities [1,2,3]. Also, imino(amino)chromene derivatives have great interest in the fundamental research of organic chemistry.
It is known that reactions of salicylic aldehyde and malononitrile can lead to derivatives of 2-imino-2H-chromene-3-carbonitrile 1—such as 2-(2-amino-3-cyano-4H-chromen-4-yl)malononitrile 2 and 2-(4,5-diamino-1-cyano-2H-chromeno[3,4-c]pyridin-2-ylidene)malononitrile 3 [4,5,6,7,8,9].
2. Results and Discussion
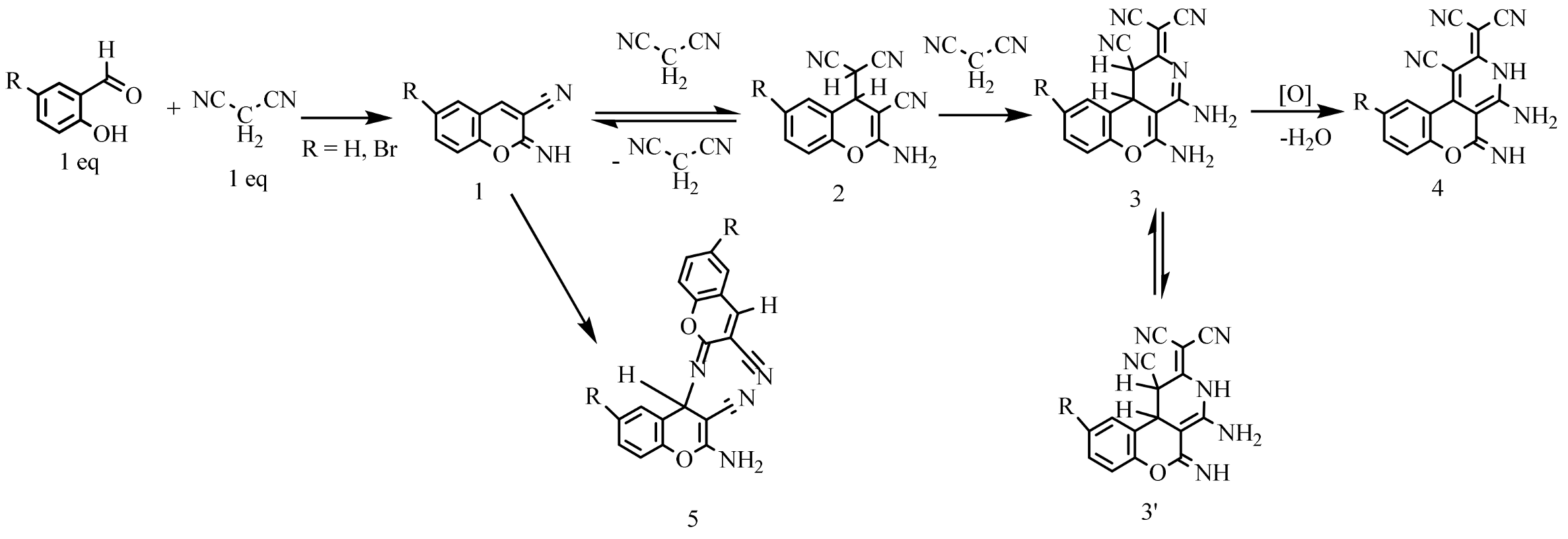
In this work, we investigated the mutual transformations of imino(amino)cyanochromenes 1 and 2, as well as the accompanying reactions leading to previously unknown compounds. It has been shown that reactions of salicylic aldehyde and malononitrile with a 1:1 ratio in various solvents (IPA, EtOH, THF, dioxane, PEG-400) under thermal and ultrasound activation conditions, or with stirring at room temperature, can lead to the formation of 1, 2, 3 and 4 (Scheme 1). These reactions can occur with the presence of basic catalysts or under catalyst-free conditions.
Scheme 1.
Reactions between salicylaldehyde and malononitrile for the synthesis of imino(amino)cyanochromenes derivatives.
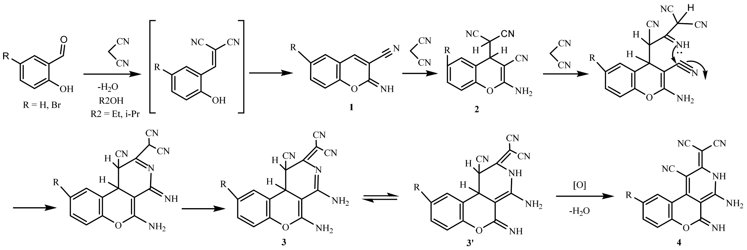
The formation of 2-(4,5-diamino-1-cyano-2H-chromeno[3,4-c]pyridin-2-ylidene)malononitriles 3 proceeds according to the following scheme. Some molecules of 2-(2-amino-3-cyano-4H-chromen-4-yl)malononitrile 2 undergo a retro Michael reaction. The eliminated molecule of malononitrile attacks the nitrile carbon of another molecule of aminochromene 2. Subsequently, intramolecular cyclization occurs, followed by an isomerization to form the tautomeric mixture 3 and 3′ at a ratio of 1:3 (Scheme 2).
Scheme 2.
Proposed mechanism for the reaction between salicylaldehyde and malononitrile for the synthesis of 2-amino-4H-chromene.
The structure of the tautomeric mixture of ylidene aminochromenes 2-(4,5-diamino-1-cyano-2H-chromeno[3,4-c]pyridin-2-ylidene)malononitrile 3 and 2-(4-amino-1-cyano-5-imino-1,3,5,10b-tetrahydro-2H-chromeno[3,4-c]pyridin-2-ylidene)malononitrile 3′ was confirmed by IR and NMR spectroscopy data.
The 1H NMR spectra of the tautomers 3b and 3b’ (R = Br) showed characteristic signals of doublets at 4.8–4.9 ppm for the vicinal protons H1-H10b (3b and 3b′) and singlets at 7.1, 6.72 (3), 6.53, and 6.34 ppm (3′) for the amino groups and at 3.65 ppm (3′) for the imino group. The two-dimensional 1H/13C HSQC spectrum of 3b and 3b′ displayed correlations between the vicinal protons H1 and H10b and the sp3-hybridized carbon atoms C1 and C10b, respectively: 4.9/34.89 (H1/C1), 4.88/30.82 (H10b/C10b). The two-dimensional 1H/13C HMBC spectrum contains cross peaks showing the main correlations for the two tautomers 3b and 3b′ (R = Br) 4.89/30.85 (H1/C10b), 4.88/34.89 (H10b/C1), 4.89/113.23 (H1/-CN), 4.89/83.54 (H1/C4a), (3b): 7.10/71.09 (-NH2/=C(CN)2), 7.10/83.57 (-NH2/C4a), 6.72/71.09 (-NH2/=C(CN)2), and (3b’) 3.65/85.5 (=NH/C4a).
The novel 2-(4-amino-9-R-1-cyano-5-imino-3,5-dihydro-2H-chromeno[3,4-c]pyridin-2-ylidene)malononitriles (4a,b R = H, Br) were obtained by increasing the reaction time with 2-(2-amino-6-R-3-cyano-4H-chromen-4-yl)malononitriles 2. 2-(4,5-diamino-1-cyano-2H-chromeno[3,4-c]pyridin-2-ylidene)malononitriles 3 can be oxidized to the novel 2-(4-amino-9-R-1-cyano-5-imino-3,5-dihydro-2H-chromeno[3,4-c]pyridin-2-ylidene)malononitriles (4a,b R = H, Br) by atmospheric oxygen. The 1H NMR spectra of the (2H-chromeno[3,4-c]pyridin-2-ylidene)malononitrile 4b(R = Br) showed characteristic signals at 3.66, 6.20, and 6.50 ppm for the amino and the imino groups. Also, there are no signals of the vicinal protons in the 1H NMR spectra of the compound 4b (R = Br) (Figure 1). The main correlations in the 1H/13C HMBC spectrum are 3.66/85.56 57 (=NH/C1), 6.32/70.70 (=NH/C4a), 6.50/70.70 (-NH2/C4a), and 6.50/85.56 (-NH2/C1).
Figure 1.
NMR HSQC 1H/13C spectrum and main correlations in the NMR HSQC 1H/13C and HMBC 1H/13C spectrum of 4b.
Previously, compounds 2 and 3 were obtained using a 1:2 or 1:3 ratio of salicylic aldehydes and malononitrile, without taking into account the retro-Michael reaction, the possibility of the elimination of the malononitrile molecule from already formed molecules of aminochromene 2 [6,7,8].
Our study also showed that the reactions of equimolar amounts of salicylic aldehydes and malononitrile under ultrasound activation conditions without a catalyst led to the formation of 2-amino-6-R-4-((6-R-3-cyano-2H-chromen-2-ylidene)amino)-4H-chromene-3-carbonitriles 5a,b (R = H, Br), which are the dimers of 2-iminochromene 1 (Scheme 3). The subject dimers have been synthesized previously [4] via stirring in methanol and water, in the presence of triethylamine at room temperature for 6–20 h. We observed the formation of these dimers under catalyst-free conditions in higher yields within a shorter reaction time. A dimeric compound 5b (R = Br) was synthesized for the first time.
Scheme 3.
The synthesis of 2-iminochromene 1 dimers: 2-amino-6-R-4-((6-R-3-cyano-2H-chromen-2-ylidene)amino)-4H-chromene-3-carbonitriles 5a,b.
The structures of the compounds 5a,b were established using spectroscopic data (IR, NMR). The 1H NMR spectra of the dimer 2-amino-6-bromo-4-((6-R-3-cyano-2H-chromen-2-ylidene)amino)-4H-chromene-3-carbonitrile 5b (R = Br) showed characteristic signals of singlet at 5.81 ppm for the methyn proton H4, singlet at 7.22 ppm for the amino group, and the singlets at 7.53, 7.83, and 8.29 for the aromatic protons H5,H5′,H4′, respectively (Figure 2). The main correlations in the 1H/13C HSQC spectrum of 5b are 5.81/48.62 (H4/C4), 7.53/132.10 (H5/C5), 7.83/131.80 (H5′/C5′), and 8.29/145.45 (H4′/C4′). The 1H/13C HMBC spectrum displayed the following main correlations between the methyn proton with the carbon atoms of both chromene scaffolds: 5.81/54.90 (H4/C3), 5.81/120.47 (H4/-CN), and 5.81/146.4 (H4/C2′).
Figure 2.
1H NMR spectrum of compound 5b.
The authors of references [4,5,6,7,8,9,10,11,12,13] described how the domino reactions of salicylic aldehydes with one, two, and three molecules of malononitrile led to the formation of 2-iminochromene 1 derivatives depending on the reaction conditions and reaction time. We have shown the formation of dimers during one-pot reactions of salicylic aldehydes with molecule of malononitrile.
Thus, salicylic aldehydes and malononitrile undergo a wide range of transformations, among which the most important are the retro-Michael reaction, oxidation processes, and dimerization processes.
3. Experimental
3.1. General Information, Instrumentation, and Chemicals
The IR spectra were recorded on an FSM 1201Fourier spectrometer in KBr pellets. The 1H, 13C, 1H/13C HSQC, 1H/1H COSY, and 1H/13C HMBC spectra were recorded on a Varian 400 MHz spectrometer at 400 MHz (1H), the 13C spectra were recorded at 100 MHz. NMR spectra were recorded in CDCl3, (CD3)2CO, and DMSO-d6, internal standard TMS. Elemental analysis was performed on a Vario MICRO Cube automatic CHNS analyzer. The melting points were determined in an open capillary. The reaction progress was monitored by TLC on Fluka Silicagel/TLC-cards, eluent hexane–ethyl acetate–chloroform (2:2:1), and visualized by exposure to UV light and iodine vapor. Ultrasonic synthesis was performed in a Sapphire TTC ultrasonic bath (2.8 L, heated).
3.2. Synthesis and Characterization of the Compounds
- 2-(4,5-diamino-1-cyano-2H-chromeno[3,4-c]pyridin-2-ylidene)malononitrile 3a and 2-(4-amino-1-cyano-5-imino-1,3,5,10b-tetrahydro-2H-chromeno[3,4-c]pyridin-2-ylidene)malononitrile 3a′
- (A) Equimolar amounts of malononitrile (0.13 g, 0.002 mol) and salicylic aldehyde (0.002 mol) were refluxed in dioxane for 6 h. The beige crystals that precipitated were filtered off, washed with hexane, and dried in desiccators. (B) 2a (0.3 g) was stirred in IPA at 60 °C for 1 h. The beige crystals that precipitated were filtered off, washed with hexane, and dried in desiccators. (C) 2a (0.3 g) was stirred in dioxane in an ultrasonic bath at room temperature for 1 h. The crystals that precipitated were filtered off, washed with hexane, and dried in desiccators.
- M.p. = 287–288 °C. Found, %; C, 62.37; H, 3.11; N, 27.46. C16H10N6O. Calculated, %: C, 63.57; H, 3.33; N, 27.80; O, 5.29. beige crystals. 1H NMR (CDCl3), δ, ppm: (3a): 4.83 (H1, d, 1H. J = 3.6 Hz), 4.91 (H10b, d, 1H. J = 3.6 Hz), 6.69 (-NH2, s, 2H), 7.08 (-NH2, s, 2H), 7.20 (H7, d, 1H. J = 8 Hz), 7.23–7.28 (H8-H10, m, 3H). (3a’): 4.58 (H1, d, 1H. J = 3.6 Hz), 5.05 (H10b, d, 1H. J = 3.6 Hz), 7.12 (H7, d, 1H. J = 8 Hz), 7.41 (H8-H9, t, 2H. J = 8 Hz), 7.46 (H10, d, 1H. J = 8 Hz), 7.51 (-NH2, s, 2H), 8.37 (=NH, s, 1H), 8.85 (=NH, s, 1H). Yield: 70% (A), 86% (B), 87% (C).
- 2-(4,5-diamino-9-bromo-1-cyano-2H-chromeno[3,4-c]pyridin-2-ylidene)malononitrile 3b and 2-(4-amino-9-bromo-1-cyano-5-imino-1,3,5,10b-tetrahydro-2H-chromeno[3,4-c]pyridin-2-ylidene)malononitrile 3b′
- (A) Equimolar amounts of malononitrile (0.13 g, 0.002 mol) and salicylic aldehyde (0.002 mol) were refluxed in IPA in the presence of Et3N (3 drops) for 6 h. The brown crystals that precipitated were filtered off, washed with hexane, and dried in desiccators. (B) 2b (0.35 g) in IPA was refluxed for 4 h. After cooling, the crystalline solid was filtered off, washed with hexane, and dried in desiccators. (C) 2b (0.3 g) was stirred in dioxane in ultrasonic bath at room temperature for 2 h. Brown crystals that precipitated were filtered off, washed with hexane, and dried in desiccators.
- M.p. = 280–282 °C. Brown crystals. Calculated, %: C, 50.41; H, 2.38; Br, 20.96; N, 22.05; O, 4.20. C16H9BrN6O. Found, %: C, 50.47; H, 2.87; N, 22.52. 1H NMR (DMSO-d6), δ, ppm: 4.8–4.9 (H1-H10b, dd, 2H. J = 4 Hz) (3b): 7.1 (=NH, s, 1H), 6.72 (-NH2, s, 2H), 7.64–7.61 (H8, d, 1H. J = 8 Hz), 7.5 (H10, s, 1H), 7.21–7.19 (H7, d, 1H. J = 8 Hz); (3b’): 3.65 (=NH, s, 1H), 6.34 (=NH, s, 1H), 6.53 (=NH, s, 1H), 6.97–6.95 (H7, d, 1H. J = 8 Hz), 7.38–7.35 (H8, d, 1H. J = 8 Hz), 7.29 (H10, s, 1H). Yield: 76% (A), 78% (B), 85% (C).
- 2-(4-amino-1-cyano-5-imino-3,5-dihydro-2H-chromeno[3,4-c]pyridin-2-ylidene)malononitrile 4a
- (A) Equimolar amounts of malononitrile (0.13 g, 0.002 mol) and salicylic aldehyde (0.002 mol) were stirred in H2O-PEG-400 solution at 40 °C for 4 h The orange-brown crystals that precipitated were filtered off, washed with hexane, and dried in air. (B) 2a (0.35 g) in IPA was refluxed for 4 h. After cooling, the crystalline solid was filtered off and dried in air.
- M.p. = 250–252 °C. Orange-brown crystals. Calculated, %: C, 64.00; H, 2.69; N, 27.99; O, 5.33. C16H8N6O. Found, %: C, 63.76.00; H, 2.99; N, 28.05. 1H NMR (DMSO-d6), δ, ppm: 3.65 (=NH, s, 1H), 6.31 (=NH, s, 2H), 6.50 (-NH2, s, 2H), 6.98 (H10, d, 1H. J = 8 Hz), 7.06 (H9, t, 1H. J = 8 Hz), 7.54 (H7, d, 1H. J = 8 Hz), 7.79 (H8, t, 1H. J = 8 Hz). 1H/13C HSQC (DMSO-d6), δ, ppm: 6.98/116.74 (H10/C10), 7.06/124.23 (H9/C9), 7.54/125.79 (H7/C7), 7.79/134.80 (H8/C8). 1H/13C HMBC (DMSO-d6), δ, ppm: 3.65/86.05 (=NH/C1), 3.65/119.48 (=NH/C10a), 3.65/151.08 (=NH/C4), 3.66/168.96 (=NH/C5), 6.52/70.54 (-NH2/C4a), 6.52/86.05, (-NH2/C1),6.31/70.54 (=NH/C4a). Yield: 84% (A), 75% (B).
- 2-(4-amino-9-bromo-1-cyano-5-imino-3,5-dihydro-2H-chromeno[3,4-c]pyridin-2-ylidene)malononitrile 4b
- (A) Equimolar amounts of malononitrile (0.13 g, 0.002 mol) and 5-bromsalicylic aldehyde (0.002 mol) were refluxed in IPA for 6 h. After cooling, the crystalline solid was filtered off and dried in air. (B) 2b (0.35 g) in IPA was refluxed for 5 h. The crystalline solid was filtered off and dried in air. (C) 2b (0.35 g) was stirred in THF at 40 °C for 5 h. The crystalline solid was filtered off and dried in air.
- M.p. = 270–272 °C. Brown crystals. Calculated, %: C, 50.68; H, 1.86; Br, 21.07; N, 22.16; O, 4.22. C16H7BrN6O. Found, C, %: 50,47; H, 2.05; N, 22.49. 1H NMR (DMSO-d6), δ, ppm: 3.66 (=NH, s, 1H), 6.20 (=NH, s, 2H), 6.50 (-NH2, s, 2H), 7.54 (H7, d, 1H. J = 8 Hz), 7.94 (H8, d, 1H. J = 8 Hz), 9.05 (H10, s, 1H. J = 8 Hz). 1H/13C HSQC (DMSO-d6), δ, ppm: 7.53/121.27 (H7/C7), 7.94/137.17 (H8/C8), 9.05/127.63 (H10/C10). 1H/13C HMBC (DMSO-d6), δ, ppm: 3.66/85.56 57 (=NH/C1). 3.66/122.76 (=NH/C10a), 3.66/131.83 (=NH/C10b), 3.66/150.42 (=NH/C4), 3.66/158.87 (=NH/C5), 6.32/70.70 (=NH/C4a), 6.50/70.70 (-NH2/C4a), 6.50/85.56 (-NH2/C1). Yield: 70% (A), 75% (B), 86% (C).
- 2-amino-6-R-4-((6-R-3-cyano-2H-chromen-2-ylidene)amino)-4H-chromene-3-carbonitriles 5b
- (A) Equimolar amounts of malononitrile (0.13 g, 0.002 mol) and 5-bromsalicylic aldehyde (0.002 mol) were heated in ethanol in an ultrasonic bath at 55 °C for 1 h. The beige crystals that precipitated were filtered off, washed with hexane, and dried in a desiccator. (B) Equimolar amounts of malononitrile (0.13 g, 0.002 mol) and 5-bromsalicylic aldehyde (0.002 mol) were heated in aqueous–ethanolic medium (1:1) in the presence of potassium carbonate (3 mol %) in an ultrasonic bath at 55 °C for 1 h. The beige crystals were filtered off, washed with hexane, and dried in a desiccator.
- M.p. = 200–201 °C. Beige crystals. Calculated, %: C, 48.22; H, 2.02; Br, 32.08; N, 11.25; O, 6.42. C20H10Br2N4O2. Found, %: C, 47.98; H, 2.07; N, 11.85. 1H NMR (DMSO-d6), δ, ppm: 5.81 (H4, s, 1H), 7.06 (H8, d, 1H. J = 8 Hz), 7.22 (-NH2, s, 2H), 7.31 (H8′, d, 1H. J = 8 Hz), 7.49 (H7, d, 1H. J = 8 Hz), 7.53 (H5, s, 1H), 7.78–7.81 (H7′, d, 1H. J = 8 Hz), 7.83 (H5′, s, 1H), 8.29 (H4′, s, 1H). 1H/13C HSQC (DMSO-d6), δ, ppm: 5.81/48.62 (H4/C4), 7.07/118.80 (H8/C8), 7.32/118.68 (H8′/C8′), 7.49/132.22 (H7/C7), 7.53/132.10 (H5/C5), 7.80/136.76 (H7′/C7′),7.83/131.80 (H5′/C5′), 8.29/145.45 (H4′/C4′). 1H/13C HMBC (DMSO-d6), δ, ppm: 5.81/54.90 (H4/C3), 5.81/120.47 (H4/-CN), 5.81/124.94 (H4/C4a), 5.81/132.06 (H4/C5), 5.81/146.44 (H4/C2′), 5.81/148.48 (H4/C8a), 5.81/162.07 (H4/C2), 7.22/54.89 (-NH2/C3), 7.53/48.65 (H5/C4), 7.83/145.53 (H5′/C4′), 7.83/152.63 (H5′/C8a’), 8.29/115.16 (H4′/-CN’), 8.29/131.75 (H4′/C5′), 8.29/146.43 (H4′/C2′), 8.29/152.62 (H4′/C8a’). Yield: 80% (A), 83% (B).
4. Conclusions
In addition to the condensation reaction, retro-Michael reactions, oxidation processes, and dimerization processes occur in the reaction of malononitrile and salicylic aldehydes, which leads to new compounds 4a,b, and 5b.
Author Contributions
All authors contributed equally to this work. All authors have read and agreed to the published version of the manuscript.
Funding
This research received no external funding.
Institutional Review Board Statement
Not applicable.
Informed Consent Statement
Not applicable.
Data Availability Statement
Data are contained within the article.
Conflicts of Interest
The authors declare no conflict of interest.
References
- Salehian, F.; Nadri, H.; Jalili-Baleh, L.; Youseftabar-Miri, L.; Bukhari SN, A.; Foroumadi, A.; Küçükkilinç, T.T.; Sharifzadeh, M.; Khoobi, M. A review: Biologically active 3, 4-heterocycle-fused coumarins. Eur. J. Med. Chem. 2021, 212, 113034. [Google Scholar] [CrossRef] [PubMed]
- Costa, M.; Dias, T.A.; Brito, A.; Proença, F. Biological importance of structurally diversified chromenes. Eur. J. Med. Chem. 2016, 123, 487–507. [Google Scholar] [CrossRef] [PubMed]
- Patra, P. A concise review on pyridocoumarin/azacoumarin derivatives: Synthesis and biological activity. ChemistrySelect 2019, 4, 2024–2043. [Google Scholar] [CrossRef]
- Costa, M.; Areias, F.; Abrunhosa, L.; Venâncio, A.; Proença, F. The condensation of salicylaldehydes and malononitrile revisited: Synthesis of new dimeric chromene derivatives. J. Org. Chem. 2008, 73, 1954–1962. [Google Scholar] [CrossRef] [PubMed]
- O’Callaghan, C.N.; McMurry TB, H.; O’Brien, J.E.; Draper, S.M. Reactions of2-Oxo-2H-1-benzopyran-3-carbonitrile. J. Chem. Res. Synop. 1997, 312–313. [Google Scholar] [CrossRef]
- Yang, F.; Wang, Z.; Wang, H.; Wang, C.; Wang, L. An efficient condensation of substituted salicylaldehyde and malononitrile catalyzed by lipase under microwave irradiation. RSC Adv. 2015, 5, 57122–57126. [Google Scholar] [CrossRef]
- Smuszkiewicz, A.; Lopez-Sanz, J.; Sobczak, I.; Martin-Aranda, R.M.; Ziolek, M.; Perez-Mayoral, E. Tantalum vs. Niobium MCF nanocatalysts in the green synthesis of chromene derivatives. Catal. Today 2019, 325, 47–52. [Google Scholar] [CrossRef]
- De Abrantes, P.G.; de Abrantes, P.G.; dos Santos Silva, D.A.; Magalhães, R.R.; da Silva PB, N.; Militão GC, G.; de Menezes, R.P.B.; Scotti, L.; Scotti, M.T.; Vale, J.A. Synthesis of 2-amino-4H-chromenes catalyst-free via sequential Knoevenagel-Michael reaction and evaluation of biological activity in tumor cells. Med. Chem. Res. 2023, 32, 2234–2244. [Google Scholar] [CrossRef]
- Yadav, S.; Srivastava, M.; Rai, P.; Singh, J.; Tiwari, K.P.; Singh, J. Visible light induced, catalyst free, convenient synthesis of chromene nucleus and its derivatives using water–ethanol mixture as a solvent. New J. Chem. 2015, 39, 4556–4561. [Google Scholar] [CrossRef]
- O’Callaghan, C.N.; McMurry TB, H.; O’Brien, J.E. Synthetic reactions of 2-(2-amino-3-cyano-4 H-[1] benzopyran-4-yl) propane-1, 3-dinitrile with reactive methylene compounds. J. Chem. Soc. Perkin Trans. 1 1995, 417–420. [Google Scholar] [CrossRef]
- Elinson, M.N.; Gorbunov, S.V.; Vereshchagin, A.N.; Nasybullin, R.F.; Goloveshkin, A.S.; Bushmarinov, I.S.; Egorov, M.P. Chemical and electrocatalytic cascade cyclization of salicylaldehyde with three molecules of malononitrile:‘One-pot’simple and efficient way to the chromeno [2,3-b] pyridine scaffold. Tetrahedron 2014, 70, 8559–8563. [Google Scholar] [CrossRef]
- Costa, M.; Areias, F.; Castro, M.; Brea, J.; Loza, M.I.; Proença, F. Synthesis of novel chromene scaffolds for adenosine receptors. Org. Biomol. Chem. 2011, 9, 4242–4249. [Google Scholar] [CrossRef]
- Elinson, M.N.; Dorofeev, A.S.; Miloserdov, F.M.; Ilovaisky, A.I.; Feducovich, S.K.; Belyakov, P.A.; Nikishin, G.I. Catalysis of Salicylaldehydes and Two Different C—H Acids with Electricity: First Example of an Efficient Multicomponent Approach to the Design of Functionalized Medicinally Privileged 2-Amino-4H-Chromene Scaffold. Adv. Synth. Catal. 2008, 350, 591–601. [Google Scholar] [CrossRef]
Disclaimer/Publisher’s Note: The statements, opinions and data contained in all publications are solely those of the individual author(s) and contributor(s) and not of MDPI and/or the editor(s). MDPI and/or the editor(s) disclaim responsibility for any injury to people or property resulting from any ideas, methods, instructions or products referred to in the content. |
© 2023 by the authors. Licensee MDPI, Basel, Switzerland. This article is an open access article distributed under the terms and conditions of the Creative Commons Attribution (CC BY) license (https://creativecommons.org/licenses/by/4.0/).




