Clay Catalysis: Solventless Condensation of Benzofuran-3(2H)-One with α,β-Dicarbonyl Compounds under Microwave Irradiation: Synthesis of New Acyl-Aurones †
Abstract
:1. Introduction
2. Results and Discussion
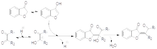
3. Mechanisms
4. Stereochemistry
5. Experimental
5.1. General Information
5.2. Starting Reactants
5.3. Typical Experiment
Author Contributions
Funding
Institutional Review Board Statement
Informed Consent Statement
Data Availability Statement
Acknowledgments
Conflicts of Interest
References
- Ikans, R. Natural Compounds: An Laboratory Guide; Academic Press: San Diego, CA, USA, 1991. [Google Scholar]
- Mazziotti, I.; Petrarolo, G.; La Motta, C. Aurones: A Golden Resource for Active Compounds. Molecules 2022, 27, 2. [Google Scholar] [CrossRef] [PubMed]
- Sui, G.; Li, T.; Zhang, B.; Wang, R.; Hao, H.; Zhou, W. Recent advances on synthesis and biological activities of aurones. Bioorg. Med. Chem. 2021, 29, 115895. [Google Scholar] [CrossRef] [PubMed]
- Varma, R.S.; Varma, M. Alumina-mediated condensation. A simple synthesis of aurones. Tetrahedron Lett. 1992, 33, 5937–5940. [Google Scholar] [CrossRef]
- Villemin, D.; Martin, B.; Bar, N. Application of microwave in organic synthesis: Dry synthesis of 2-arylmethylene-3(2)-naphthofuranones. Molecules 1998, 3, 88–93. [Google Scholar] [CrossRef]
- Boussafi, K.; Villemin, D.; Bar, N.; Belghobsi, M. Green Synthesis of Aurones and Related Compounds under Solvent-free Conditions. J. Chem. Res. 2016, 40, 557–569. [Google Scholar] [CrossRef]
- Junek, H.; Hamböck, H.; Hornischer, B. Synthesen mit Nitrilen, 12. Mitt.: Die Malonitrilylidenverbindungen des Phenanthren-und Acenaphthenchinons. Monatshefte Chem. 1967, 98, 315–323. [Google Scholar] [CrossRef]
- Lin, C.F.; Lu, W.D.; Wang, I.W.; Wu, M.J. Synthesis of 2-(Diarylmethylene)-3-benzofuranones Promoted via Palladium-Catalyzed Reactions of Aryl iodides with 3-Aryl-1-(2-tert-butyldimethyl-silyloxy) phenyl-2-propyn-1-ones. Synlett 2003, 13, 2057–2061. [Google Scholar] [CrossRef]
- Selman, S.; Eastham, J.F. Benzilic acid and related rearrangements. Q. Rev. Chem. Soc. 1960, 14, 221–235. [Google Scholar] [CrossRef]
- Ben Alloum, A.; Labiad, B.; Villemin, D. Application of microwave heating techniques for dry organic reactions. J. Chem. Soc. Chem. Commun. 1989, 7, 386–387. [Google Scholar] [CrossRef]
- Didi, M.A.; Makhoukhi, B.; Azzouz, A.; Villemin, D. Colza oil bleaching through optimized acid activation of bentonite. A comparative study. Appl. Clay Sci. 2009, 42, 336–344. [Google Scholar] [CrossRef]
- Spartan Wavefunction. Available online: https://www.wavefun.com/ (accessed on 12 July 2023).


![]() | |||
| Coumaranone 1a–b | α,β-dicarbonyl 2 | Conditions | Product, Yield % |
|---|---|---|---|
| 1a | 2a | 200 °C, 15 min | 3a, 80 |
| 1a | 2b | 200 °C, 10 min | 3a, 75 |
| 1a | 2c | 200 °C, 10 min | 3a, 72 |
| 1a | 2d | 200 °C, 10 min | 3d, 70 |
| 1a | 2e | 200 °C, 15 min | 3e, 70 |
| 1b | 2a | 180 °C, 10 min | 3f, 67 |
| 1b | 2b | 180 °C, 10 min | 3g, 65 |
| 1b | 2c | 180 °C, 10 min | 3h, 63 |
| 1b | 2d | 180 °C, 10 min | 3i, 60 |
| 1b | 2f | 180 °C, 10 min | 3j, 70 |
| 1c | 2a | 180 °C, 10 min | 3k, 65 |
| 1c | 2b | 180 °C, 10 min | 3l, 80 |
Disclaimer/Publisher’s Note: The statements, opinions and data contained in all publications are solely those of the individual author(s) and contributor(s) and not of MDPI and/or the editor(s). MDPI and/or the editor(s) disclaim responsibility for any injury to people or property resulting from any ideas, methods, instructions or products referred to in the content. |
© 2023 by the authors. Licensee MDPI, Basel, Switzerland. This article is an open access article distributed under the terms and conditions of the Creative Commons Attribution (CC BY) license (https://creativecommons.org/licenses/by/4.0/).
Share and Cite
Boussafi, K.; Villemin, D.; Bar, N. Clay Catalysis: Solventless Condensation of Benzofuran-3(2H)-One with α,β-Dicarbonyl Compounds under Microwave Irradiation: Synthesis of New Acyl-Aurones. Chem. Proc. 2023, 14, 32. https://doi.org/10.3390/ecsoc-27-16154
Boussafi K, Villemin D, Bar N. Clay Catalysis: Solventless Condensation of Benzofuran-3(2H)-One with α,β-Dicarbonyl Compounds under Microwave Irradiation: Synthesis of New Acyl-Aurones. Chemistry Proceedings. 2023; 14(1):32. https://doi.org/10.3390/ecsoc-27-16154
Chicago/Turabian StyleBoussafi, Karima, Didier Villemin, and Nathalie Bar. 2023. "Clay Catalysis: Solventless Condensation of Benzofuran-3(2H)-One with α,β-Dicarbonyl Compounds under Microwave Irradiation: Synthesis of New Acyl-Aurones" Chemistry Proceedings 14, no. 1: 32. https://doi.org/10.3390/ecsoc-27-16154
APA StyleBoussafi, K., Villemin, D., & Bar, N. (2023). Clay Catalysis: Solventless Condensation of Benzofuran-3(2H)-One with α,β-Dicarbonyl Compounds under Microwave Irradiation: Synthesis of New Acyl-Aurones. Chemistry Proceedings, 14(1), 32. https://doi.org/10.3390/ecsoc-27-16154


