Abstract
One of the modern trends in medicinal chemistry is the design of multifunctional drugs with a wide spectrum of actions. The main approaches to the creation of such drugs are the construction of new biologically active substances containing two or more pharmacophore groups in their structure or the introduction of an additional pharmacophore group into the molecule of a known drug. This work describes the synthesis of hybrid structures based on furan-2(3H)-ones and chromen-4(4H)-ones under the conditions of the Knoevenagel reaction. Various reaction conditions were screened. (E)-3-((2-oxo-5-arylfuran-3(2H)-ylidene)methyl)-4H-chromen-4-ones were obtained, and its structure was confirmed by 1H and 13C NMR spectroscopy data. Based on NMR spectroscopy data, it was shown that the resulting compounds exist in the form of E-isomers.
1. Introduction
Currently, in the development of new biologically active compounds, a trend is developing around the concept of molecular hybridization, which consists of combining two or more pharmacophoric fragments in one molecule [1,2,3,4,5]. As a result, this combination makes it possible to create new hybrid compounds with high biological activity, an altered selectivity profile, and can also reduce undesirable side effects [6].
Of great importance for the design of complex hybrid heterocyclic systems with several building blocks is the choice of available substrates with great preparative capabilities. From this point of view, chromen-4-ones and furan-2-ones are promising starting compounds. An important factor influencing the development of the chemistry of the mentioned substances is their closeness in structure to natural substrates that exhibit a wide range of biological effects [7,8,9,10,11,12,13]. Thus, the chromen-4-one framework is an integral part of flavonoids [7,8,9,10], and furan-2-ones are part of the butenolides [11,12,13].
The focus of this study is on the synthesis of hybrid molecules based on furan-2(3H)-ones and 4-oxo-4H-chromene-3-carbaldehyde. Furan-2(3H)-one derivatives are found among a large number of compounds that have antinociceptive, anti-inflammatory, antiviral and antitumor effects [14,15,16,17]. It is important to note nitrofuran derivatives, which have pronounced antibacterial activity [18,19,20,21,22]. The 4H-chromen-4-one cycle is included in the structure of compounds that have anticancer, antibacterial, antiviral and other types of activity [23,24,25].
Thus, this work is devoted to searching for optimal synthesis conditions and establishing the structure of hybrid structures, namely chromenyl-2(3H)-furanones, potential antibacterial drugs.
2. Materials and Methods
2.1. Physical Measurements
1H NMR (400 MHz) and 13C NMR (100 MHz) spectra were measured for solutions in DMSO-d6 on a Varian (Agilent) 400 spectrometer (Agilent Technologies, Santa Clara, CA, USA). Elemental analysis was performed on an Elementar Vario MICRO cube CHNS analyzer (Elementar Analysensysteme GmbH, Hanau, Germany). The progress of the reaction and the purity of the synthesized compounds were monitored via TLC on ALUGRAM® SIL G UV254 plates (Macherey-Nagel, Düren, Germany), with hexane–ethyl acetate–acetone (3:1:1) as the eluent.
2.2. Synthesis and Characterization of Compounds 3a–d
2.2.1. Under Conventional Heating Conditions (Method A)
A mixture of 3 mmol of the corresponding 5-arylfuran-2(3H)-one 1a–d, 3 mmol of 4-oxo-4H-chromene-3-carboxaldehyde (2) was refluxed in 7 mL of glacial acetic acid. The precipitated crystals were filtered, washed with glacial acetic acid, recrystallized from benzene, and dried.
2.2.2. Under Microwave Irradiation (Method B)
A mixture of 1 mmol of the corresponding 5-arylfuran-2(3H)-one 1a–d, 1 mmol of 4-oxo-4H-chromene-3-carboxaldehyde (2) and 3.5 mL of glacial acetic acid were placed in a borosilicate glass vial, equipped with a magnetic stirrer. The vial was hermetically sealed with a silicone stopper and placed in a Monovave 50 (Anton Paar, Graz, Austria) reactor. The reaction was carried out at a temperature of 135 °C with stirring at 600 min−1. The precipitated crystals were filtered, washed with glacial acetic acid, recrystallized from benzene, and dried.
(E)-3-((2-oxo-5-phenylfuran-3(2H)-ylidene)methyl)-4H-chromen-4-one (3a). Yellow crystals (benzene), yield 0.66 g (70%) (method A), yield 0.25 g (80%) (method B), mp 219–220 °C; 1H NMR (400 MHz, DMSO-d6): δ 9.09 (s, 1H, C–HChromone), 8.15 (d, J = 8.0 Hz, 1H, Ar–H), 7.90–7.80 (m, 3H, Ar–H), 7.75 (d, J = 8.0 Hz, 1H, Ar–H), 7.59 (s, 1H, C–HFuranone), 7.57–7.46 (m, 4H, Ar–H), 7.38 (s, 1H, =CH–); 13C NMR (100 MHz, DMSO-d6) δ 175.06 (C=O), 168.74 (O–C=O), 159.43 (C–HChromone), 156.19, 155.92, 155.86, 135.40, 131.18, 129.57, 128.12, 126.79, 126.09, 125.69, 125.37, 125.28, 125.27 (=CH–), 123.46, 119.79, 119.15, 102.35 (C–HFuranone). Anal. Calcd. for C20H12O4: C: 75.94%; H: 3.82%; Found: C: 75.45%; H: 3.87%.
(E)-3-((2-oxo-5-(p-tolyl)furan-3(2H)-ylidene)methyl)-4H-chromen-4-one (3b). Yellow crystals (benzene), yield 0.52 g (52%) (method A), yield 0.22 g (66%) (method B), mp 243–245 °C; 1H NMR (400 MHz, DMSO-d6): δ 9.09 (s, 1H, C–HChromone), 8.15 (d, J = 8.0 Hz, 1H, Ar–H), 7.88 (t, J = 8.7 Hz, 1H, Ar–H), 7.79–7.69 (m, 3H, Ar–H), 7.69–7.51 (m, 2H, Ar–H and C–HFuranone), 7.35–7.30 (m, 3H, 2H Ar–H and =CH–), 2.36 (s, 3H, CH3); 13C NMR (100 MHz, DMSO-d6) δ 175.09 (C=O), 168.86 (O–C=O), 159.24 (C–HChromone), 156.45, 155.92, 141.32, 135.40, 130.50, 130.19, 126.78, 126.09, 125.70, 125.39, 125.33, 124.57 (=CH–), 123.44, 123.41, 119.83, 119.16, 101.50 (C–HFuranone), 21.58 (CH3). Anal. Calcd. for C21H14O4: C: 76.35%; H: 4.27%; Found: C: 76.80%; H: 4.41%.
(E)-3-((5-(4-chlorophenyl)-2-oxofuran-3(2H)-ylidene)methyl)-4H-chromen-4-one (3c). Yellow crystals (benzene), yield 0.58 g (55%) (method A), yield 0.22 g (63%) (method B), mp 284–285 °C; 1H NMR (400 MHz, DMSO-d6): δ 9.09 (s, 1H, C–HChromone), 8.15 (d, J = 8.0 Hz, 1H, Ar–H), 7.92–7.81 (m, 3H, Ar–H), 7.76 (d, J = 8.5 Hz, 1H, Ar–H), 7.65 (s, 1H, C–HFuranone), 7.63–7.54 (m, 3H, Ar–H), 7.41 (s, 1H, =CH–); 13C NMR (100 MHz, DMSO-d6) δ 175.25 (C=O), 168.75 (O–C=O), 159.04 (C–HChromone), 157.30, 156.29, 155.10, 154.97, 135.52, 129.74, 127.50, 127.42, 126.10, 126.01 (=CH–), 126.78, 125.98, 125.09, 123.36, 119.22, 119.18, 103.13 (C–HFuranone). Anal. Calcd. for C20H11ClO4: C: 68.49%; H: 3.16%; Cl: 10.11%; Found: C: 68.54%; H: 3.35%; Cl: 10.04%.
(E)-3-((5-(4-bromophenyl)-2-oxofuran-3(2H)-ylidene)methyl)-4H-chromen-4-one (3d). Yellow crystals (benzene), yield 0.97 g (82%) (method A), yield 0.36 g (90%) (method B), mp 271–272 °C; 1H NMR (400 MHz, DMSO-d6): δ 9.09 (s, 1H, C–HChromone), 8.16 (d, J = 8.0 Hz, 1H, Ar–H), 7.88 (t, 1H, Ar–H), 7.79–7.74 (m, 5H, Ar–H), 7.66 (s, 1H, C–HFuranone), 7.57 (t, J = 8.1 Hz, 1H, Ar–H), 7.42 (s, 1H, =CH–); 13C NMR (100 MHz, DMSO-d6) δ 175.24 (C=O), 168.42 (O–C=O), 157.06 (C–HChromone), 156.31, 155.94, 155.26, 154.47, 133.66, 130.12, 127.61, 127.54, 126.74, 125.98 (=CH–), 125.15, 124.54, 124.08, 123.44, 119.71, 119.18, 103.23 (C–HFuranone). Anal. Calcd. for C20H11BrO4: C: 60.78%; H: 2.81%; Br: 20.22%; Found: C: 60.57%; H: 2.92%; Br: 20.15%.
3. Results and Discussion
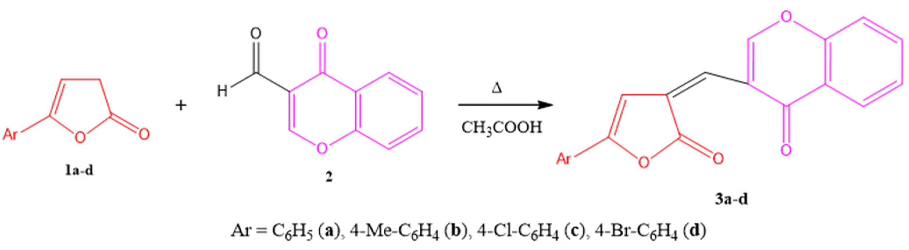
As a result of the search for optimal conditions for the synthesis of (het)arylmethylidene-3H-furan-2-ones, we obtained a number of compounds and developed new methods for the preparation of (E)-3-((2-oxo-5-arylfuran-3(2H)-ylidene)methyl)-4H-chromene-4-ones 3a–d, based on the reaction of equimolar amounts of 5-arylfuran-2(3H)-ones 1a–d, obtained according to the method in [26], with 4-oxo-4H-chromene-3-carboxaldehyde (2) in glacial acetic acid without the use of a catalyst, with thermal and microwave activation of the reaction mixture with various yields (Table 1). Considering the presence of three electrophilic centers in 4-oxo-4H-chromene-3-carboxaldehyde (2), several reaction directions can be expected. Taking into account the structure of (E)-3-((2-oxo-5-arylfuran-3(2H)-ylidene)methyl)-4H-chromen-4-ones 3a–d, it is assumed that the initial enolization of the furanone ring in acetic acid occurs with subsequent formation of a new C=C bond due to the involvement of the aldehyde group of substrate 2 in the reaction (Scheme 1).
Table 1.
Optimal conditions for the synthesis of hybrid structures 3a–d.
Scheme 1.
Synthesis of hybrid structures—(E)–3–((2–oxo–5–arylfuran–3(2H)–ylidene)methyl)–4H–chromen–4–ones.
A comparison of two methods of interaction was carried out—the classical method under normal pressure conditions and in a closed vessel system, a Monowave 50 reactor, (Anton Paar) at elevated pressure. Using a reactor of sealed vessels, one can expect an increase in the efficiency of the process due to an increase in the temperature and pressure of the reaction, which will significantly reduce its duration, unattainable under normal conditions of classical heating at atmospheric pressure and the boiling point of the solvent. The parameters of the two modes are presented in Table 1.
It was shown that the reaction of 5-arylfuran-2(3H)-ones 1a–d with 4-oxo-4H-chromene-3-carboxaldehyde (2), carried out both under classical conditions and in a sealed vessel reactor, does not affect the nature of the reaction products and leads to (E)-3-((2-oxo-5-arylfuran-3(2H)-ylidene)methyl)-4H-chromen-4-ones 3a–d. However, it should be noted that the use of a reactor in sealed vessels made it possible to increase the yield of products, as well as significantly increasing the efficiency of interaction, which is reflected in a significant reduction in reaction time compared to classical conditions.
The structure of hybrid structures 3a–d was confirmed by 1H, 13C NMR spectroscopy data. The key signals of 3-((2-oxo-5-phenylfuran-3(2H)-ylidene)methyl)-4H-chromen-4-one 3a, registered in DMSO-d6, are the proton singlet of the furanone ring at 7.58 ppm, a proton singlet of the chromone fragment at 9.09 ppm, and a singlet of the vinyl proton of the exocyclic bond at 7.38 ppm. The 13C NMR spectrum of compound 3a showed signals from the lactone carbon atom at 168.75 ppm and the carbonyl carbon atom of the chromen-4-one fragment at 175.08 ppm. Based on NMR spectroscopy, it was shown that the resulting compounds 3a–d exist in the form of E-isomers. The proof of this is the absence of the duplication of signals in the 1H NMR spectra recorded in DMSO-d6, as well as the presence of a cross-peak at 9.09/7.59 ppm in the NOESY2D spectrum of compound 3a. (Figure 1) both in general and with selective excitation within the NOESY1D method, which indicates the spatial proximity of the proton of the chromen-4-one fragment and the vinyl proton of the furan-2-one fragment.
Figure 1.
NOESY2D spectrum (E)-3-((2-oxo-5-phenylfuran-3(2H)-ylidene)methyl)-4H-chromen-4-one (3a).
An additional confirmation is the absence in the NOESY2D spectrum of a correlation between the vinyl proton of the exocyclic bond and the vinyl proton of the furan-2-one fragment.
4. Conclusions
In this work, we have expanded the range and developed new methods for obtaining hybrid structures—(E)-3-((2-oxo-5-arylfuran-3(2H)-ylidene)methyl)-4H-chromen-4-ones. By screening various reaction conditions, it was shown that the use of the Monowave 50 reactor made it possible to increase the yield of products, as well as significantly improving the efficiency of the interaction of the starting substrates. The structure of the target compounds was confirmed by 1H and 13C NMR spectroscopy data. According to NMR spectroscopy data, it was found that the target compounds exist in the form of E-isomers.
Author Contributions
Conceptualization, E.M.A. and D.O.T.; methodology, E.M.A.; software, E.M.A.; validation, E.M.A. and D.O.T.; formal analysis, E.M.A.; investigation, E.M.A.; resources, D.O.T.; data curation, E.M.A.; writing—original draft preparation, E.M.A. and D.O.T.; writing—review and editing, E.M.A.; visualization, E.M.A. and D.O.T.; supervision, A.Y.Y.; project administration, A.Y.Y.; funding acquisition, A.Y.Y. All authors have read and agreed to the published version of the manuscript.
Funding
This work received financial support from the Foundation for Assistance to Small Innovative Enterprises (FASIE) (grant no. 18695GU/2023 to E.M. Arzyamova).
Institutional Review Board Statement
Not applicable.
Informed Consent Statement
Not applicable.
Data Availability Statement
Not applicable.
Conflicts of Interest
The authors declare no conflict of interest.
References
- Manolov, S.; Ivanov, I.; Bojilov, D.; Nedialkov, P. Synthesis, In Silico, and In Vitro Biological Evaluation of New Furan Hybrid Molecules. Processes 2022, 10, 1997. [Google Scholar] [CrossRef]
- Husain, A.; Khan, S.A.; Iram, F.; Iqbal, M.A.; Asif, M. Insights into the chemistry and therapeutic potential of furanones: A versatile pharmacophore. Eur. J. Med. Chem. 2019, 171, 66–92. [Google Scholar] [CrossRef]
- Kiruthiga, N.; Alagumuthu, M.; Selvinthanuja, C.; Srinivasan, K.; Sivakumar, T. Molecular Modelling, Synthesis and Evaluation of Flavone and Flavanone Scaffolds as Anti-inflammatory Agents. Antiinflamm. Antiallergy Agents Med. Chem. 2021, 20, 20–38. [Google Scholar] [CrossRef]
- Mohsin, N.U.A.; Irfan, M.; Hassan, S.U.; Saleem, U. Current Strategies in Development of New Chromone Derivatives with Diversified Pharmacological Activities: A Review. Pharm. Chem. J. 2020, 54, 241–257. [Google Scholar] [CrossRef] [PubMed]
- Sanduja, M.; Gupta, J.; Singh, H.; Pagare, P.P.; Rana, A. Uracil-coumarin based hybrid molecules as potent anti-cancer and anti-bacterial agents. J. Saudi Chem. Soc. 2020, 24, 251–266. [Google Scholar] [CrossRef]
- Deuther-Conrad, W.; Diez-Iriepa, D.; Iriepa, I.; López-Muñoz, F.; Martínez-Grau, M.A.; Gütschow, M.; Marco-Contelles, J. Studies on the Affinity of 6-[(n-(Cyclo)aminoalkyl)oxy]-4H-chromen-4-ones for Sigma 1/2 Receptors. RSC Med. Chem. 2021, 12, 1000–1004. [Google Scholar] [CrossRef]
- Wang, L.; Song, J.; Liu, A.; Xiao, B.; Li, S.; Wen, Z.; Lu, Y.; Du, G. Research Progress of the Antiviral Bioactivities of Natural Flavonoids. Nat. Prod. Bioprospect. 2020, 10, 271–283. [Google Scholar] [CrossRef] [PubMed]
- Brodowska, K.M. Natural flavonoids: Classification, potential role, and application of flavonoid analogues. Eur. J. Biol. Res. 2017, 7, 108–123. [Google Scholar] [CrossRef]
- Song, M.; Liu, Y.; Li, T.; Liu, X.; Hao, Z.; Ding, S.; Panichayupakaranant, P.; Zhu, K.; Shen, J. Plant Natural Flavonoids against Multidrug Resistant Pathogens. Adv. Sci. 2021, 8, 2100749. [Google Scholar] [CrossRef]
- Santana, F.P.R.; Thevenard, F.; Gomes, K.S.; Taguchi, L.; Câmara, N.O.S.; Stilhano, R.S.; Ureshino, R.P.; Prado, C.M.; Lago, J.H.G. New perspectives on natural flavonoids on COVID-19-induced lung injuries. Phytother. Res. 2021, 35, 4988–5006. [Google Scholar] [CrossRef]
- Cheng, M.-J.; Wu, M.-D.; Kuo, Y.-C.; Chen, J.-J.; Kuo, Y.-H. Monafuranone, A New Furan-2-One Derivative from Monascus sp. Fermented Rice. Chem. Nat. Compd. 2022, 58, 822–824. [Google Scholar] [CrossRef]
- Burch, P.; Binaghi, M.; Scherer, M.; Wentzel, C.; Bossert, D.; Eberhardt, L.; Neuburger, M.; Scheiffele, P.; Gademann, K. Total Synthesis of Gelsemiol. J. Chem. Eur. 2013, 19, 2589–2591. [Google Scholar] [CrossRef] [PubMed]
- Liua, S.; Liub, X.; Guoa, L.; Che, Y.; Liu, L. 2H-Pyran-2-one and 2H-Furan-2-one Derivatives from the Plant Endophytic Fungus Pestalotiopsis fici. Chem. Biodivers. 2013, 10, 2007–2013. [Google Scholar] [CrossRef] [PubMed]
- Lipina, D.V.; Denisova, E.I.; Devyatkin, I.O.; Okoneshnikova, E.A.; Shipilovskikh, D.A.; Makhmudov, R.R.; Igidov, N.M.; Shipilovskikh, S.A. Synthesis and Antinociceptive Activity of Substituted 5-(Het)Aryl-3-(4-methylbenzoyl)hydrazono-3H-furan-2-ones. Russ. J. Gen. Chem. 2021, 91, 2469–2474. [Google Scholar] [CrossRef]
- Igidov, S.N.; Lipin, D.V.; Turyshev, A.Y.; Chashchina, S.V.; Shipilovskikh, D.A.; Zvereva, O.V.; Mitusova, K.A.; Silaichev, P.S.; Igidov, N.M. Synthesis, intramolecular cyclization and anti-inflammatory activity of substituted 2-(2-(Furan-2-carbonyl)hydrazono)-4-oxobutanoic acids. Chim. Techno Acta. 2023, 10, 1–8. [Google Scholar] [CrossRef]
- Flefel, E.M.; Tantawy, W.A.; Abdel-Mageid, R.E.; Amr, A.E.-G.E.; Nadeem, R. Synthesis and antiviral activities of some 3-(naphthalen-1-ylmethylene)-5-phenylfuran-2(3H)-one candidates. Res. Chem. Intermed. 2014, 40, 1365–1381. [Google Scholar] [CrossRef]
- Rappai, J.P.; Raman, V.; Unnikrishnan, P.A.; Prathapan, S.; Thomas, S.K.; Paulose, C.S. Preliminary investigations on the synthesis and antitumor activity of 3(2H)-furanones. Bioorg. Med. Chem. Lett. 2009, 19, 764–765. [Google Scholar] [CrossRef]
- Alam, M.M.; Sarkar, D.P.; Husain, A.; Marella, A.; Shaquiquzzaman, M.; Akhter, M.; Shaharyar, M.; Alam, O.; Azam, F. Synthesis of quinoline-attached furan-2(3H)-ones having anti-inflammatory and antibacterial properties with reduced gastro-intestinal toxicity and lipid peroxidation. J. Serb. Chem. Soc. 2011, 76, 1617–1626. [Google Scholar] [CrossRef]
- Bhando, T.; Bhattacharyya, T.; Gaurav, A.; Akhter, J.; Saini, M.; Gupta, V.K.; Srivastava, S.K.; Sen, H.; Navani, N.K.; Gupta, V.; et al. Antibacterial properties and in vivo efficacy of a novel nitrofuran, IITR06144, against MDR pathogens. J. Antimicrob. Chemother. 2020, 75, 418–428. [Google Scholar] [CrossRef]
- Mohamed, M.S.; Elamin, K.M.; Alenazy, R.; Eltayib, E.M.; Idriss, M.T.; Alhudaib, N.A.A.; Elsaman, T.; Mohamed, M.A. Synthesis, Antimicrobial, and Anticancer Activities of Novel Nitrofuran Derivatives. J. Chem. 2023, 2023, 1481595. [Google Scholar] [CrossRef]
- Emami, S.; Shahrokhirad, N.; Foroumadi, A.; Faramarzi, M.A.; Samadi, N.; Soltani-Ghofrani, N. 7-Piperazinylquinolones with methylene-bridged nitrofuran scaffold as new antibacterial agents. Med. Chem. Res. 2013, 22, 5940–5947. [Google Scholar] [CrossRef]
- Kamal, A.; Hussaini, S.M.A.; Faazil, S.; Poornachandra, Y.; Reddy, G.N.; Kumar, C.G.; Rajput, V.S.; Rani, C.; Sharma, R.; Khan, I.A.; et al. Anti-tubercular agents. Part 8: Synthesis, antibacterial and antitubercular activity of 5-nitrofuran based 1,2,3-triazoles. J. Bioorg. Med. Chem. Lett. 2013, 23, 6842–6846. [Google Scholar] [CrossRef] [PubMed]
- Jiang, S.; Su, S.; Chen, M.; Peng, F.; Zhou, Q.; Liu, T.; Liu, L.; Xue, W. Antibacterial Activities of Novel Dithiocarbamate-Containing 4H-Chromen-4-one Derivatives. J. Agric. Food Chem. 2020, 68, 5641–5647. [Google Scholar] [CrossRef] [PubMed]
- Kurt-Kızıldoğan, A.; Akarsu, N.; Otur, Ç.; Kivrak, A.; Aslan-Ertas, N.; Arslan, S.; Mutlu, D.; Konus, M.; Yılmaz, C.; Cetin, D.; et al. A Novel 4H-Chromen-4-One Derivative from Marine Streptomyces ovatisporus S4702T as Potential Antibacterial and Anti-Cancer Agent. Anticancer Agents Med. Chem. 2022, 22, 362–370. [Google Scholar] [CrossRef] [PubMed]
- Peng, F.; Liu, T.; Wang, Q.; Liu, F.; Cao, X.; Yang, J.; Liu, L.; Xie, C.; Xue, W. Antibacterial and Antiviral Activities of 1,3,4-Oxadiazole Thioether 4H-Chromen-4-one Derivatives. J. Agric. Food Chem. 2021, 69, 11085–11094. [Google Scholar] [CrossRef]
- Sedavkina, V.A.; Morozova, N.A.; Egorova, A.Y.; Ostroumov, I.G. Synthesis of 5-alkyl-3H-thiolen-2-ones and 5-alkyl-3H-furan-2-ones and condensation reactions at the heterocyclic methylene group. Chem. Heterocycl. Compd. 1987, 23, 377–380. [Google Scholar] [CrossRef]
Disclaimer/Publisher’s Note: The statements, opinions and data contained in all publications are solely those of the individual author(s) and contributor(s) and not of MDPI and/or the editor(s). MDPI and/or the editor(s) disclaim responsibility for any injury to people or property resulting from any ideas, methods, instructions or products referred to in the content. |
© 2023 by the authors. Licensee MDPI, Basel, Switzerland. This article is an open access article distributed under the terms and conditions of the Creative Commons Attribution (CC BY) license (https://creativecommons.org/licenses/by/4.0/).

