Depolymerization of Heparin Benzyl Ester in a Flow System †
Abstract
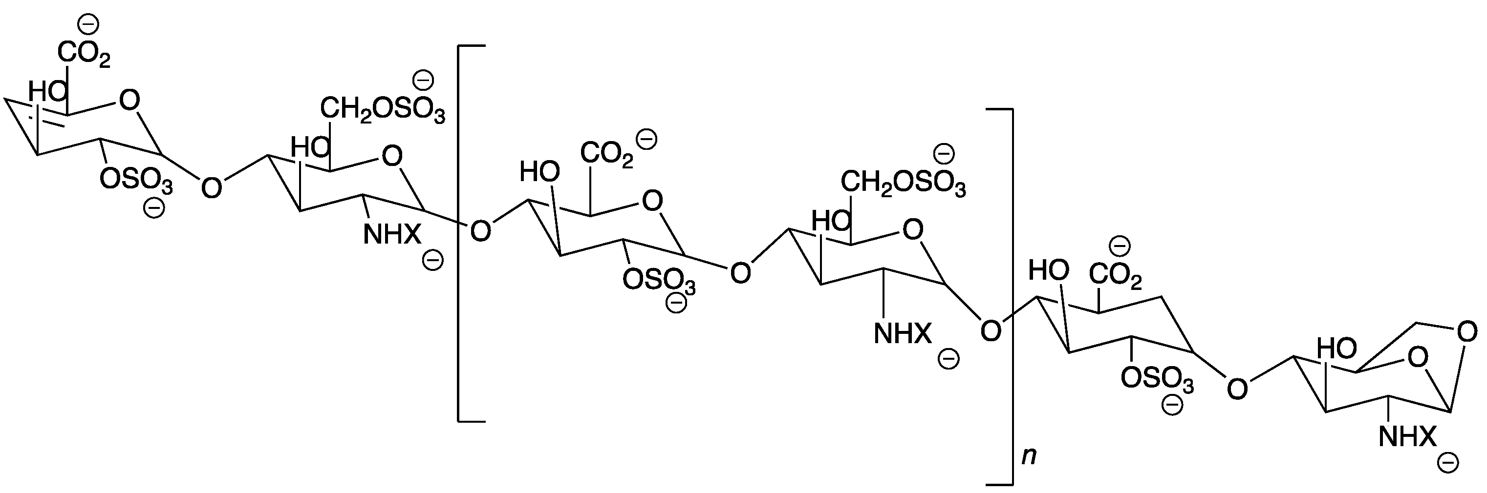
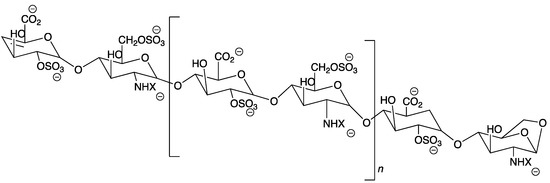
1. Introduction
2. Methods and Materials
Procedure for Flow Reactions
3. Results
4. Discussion
5. Conclusions
6. Patents
Supplementary Materials
Author Contributions
Funding
Institutional Review Board Statement
Informed Consent Statement
Data Availability Statement
Conflicts of Interest
References
- Rabenstein, D.L. Heparin and heparan sulfate: Structure and function. Nat. Prod. Rep. 2002, 19, 312–331. [Google Scholar] [CrossRef] [PubMed]
- Chen, J.; Yu, Y.; Fareed, J.; Hoppensteadt, D.; Jeske, W.; Kouta, A.; Jin, C.; Jin, Y.; Yao, Y.; Xia, K.; et al. Comparison of Low-Molecular-Weight Heparins Prepared From Ovine Heparins With Enoxaparin. Clin. Appl. Thromb. 2019, 25, 1076029619840701. [Google Scholar] [CrossRef] [PubMed]
- Ingle, R.G.; Agarwal, A.S. A world of low molecular weight heparins (LMWHs) enoxaparin as a promising moiety—A review. Carbohydr. Polym. 2014, 106, 148–153. [Google Scholar] [CrossRef] [PubMed]
- Debrie, R. Mixtures of Particular LMW Heparinic Polysaccharides for the Prophylaxis/Treatment of Acute Thrombotic Events. U.S. Patent No. 5389618A, 14 February 1995. [Google Scholar]
- Porta, R.; Benaglia, M.; Puglisi, A. Flow Chemistry: Recent Developments in the Synthesis of Pharmaceutical Products. Org. Process Res. Dev. 2016, 20, 2–25. [Google Scholar] [CrossRef]
- Guerrini, M.; Rudd, T.R.; Mauri, L.; Macchi, E.; Fareed, J.; Yates, E.A.; Naggi, A.; Torri, G. Differentiation of Generic Enoxaparins Marketed in the United States by Employing NMR and Multivariate Analysis. Anal. Chem. 2015, 87, 8275–8283. [Google Scholar] [CrossRef] [PubMed]
- Shriver, Z.; Beccati, D.; Capila, I.; Lansing, J. Evaluating Miixtures of Low Molecular Weight Heparins by NMR. U.S. Patent No. 7968082B1, 28 January 2011. [Google Scholar]
- Patel, R.P.; Narkowicz, C.; Jacobson, G.A. Investigation of the Effect of Heating on the Chemistry and Antifactor Xa Activity of Enoxaparin. J. Pharm. Sci. 2009, 98, 1700–1711. [Google Scholar] [CrossRef] [PubMed]




| Entry | Heparin Ester Solution | NaOH Solution | Flow of Ester (mL/min) | Flow of Base (mL/min) | T (°C) | Reaction Time (min) |
|---|---|---|---|---|---|---|
| 1 | 2 g/20 mL | 2 g/20 mL | 0.25 | 0.25 | 70 | 24.1 |
| 2 | 2 g/20 mL | 2 g/20 mL | 0.12 | 0.12 | 50 | 50.2 |
| 3 | 2 g/20 mL | 2 g/20 mL | 0.12 | 0.12 | 65 | 50.2 |
| 4 | 2 g/20 mL | 2 g/20 mL | 0.12 | 0.12 | 75 | 50.2 |
| 5 | 2 g/20 mL | 2 g/20 mL | 0.12 | 0.12 | 65 | 50.2 |
| 6 | 2 g/20 mL | 2 g/20 mL | 0.24 | 0.24 | 65 | 25.1 |
| 7 | 2 g/20 mL | 2 g/20 mL | 0.12 | 0.14 | 55 | 50.2 |
| 8 | 2 g/20 mL | 2 g/20 mL | 0.24 | 0.24 | 75 | 25.1 |
| 9 | 4 g/40 mL | 4 g/40 mL | 0.24 | 0.24 | 65 | 25.1 |
| 10 | 4 g/40 mL | 4 g/40 mL | 0.24 | 0.24 | 55 | 25.1 |
| 11 | 0.65 g/6.5 mL | 0.65 g/6.5 mL | 0.48 | 0.48 | 55 | 12.6 |
| 12 | 1.0 g/20 mL | 1.0 g/20 mL | 0.24 | 0.24 | 55 | 25.1 |
| 13 | 1.5 g/15 mL | 1.5 g/15 mL | 0.48 | 0.48 | 55 | 12.6 |
Disclaimer/Publisher’s Note: The statements, opinions and data contained in all publications are solely those of the individual author(s) and contributor(s) and not of MDPI and/or the editor(s). MDPI and/or the editor(s) disclaim responsibility for any injury to people or property resulting from any ideas, methods, instructions or products referred to in the content. |
© 2022 by the authors. Licensee MDPI, Basel, Switzerland. This article is an open access article distributed under the terms and conditions of the Creative Commons Attribution (CC BY) license (https://creativecommons.org/licenses/by/4.0/).
Share and Cite
Taylor, R.T.; Brunner, R.G. Depolymerization of Heparin Benzyl Ester in a Flow System. Chem. Proc. 2022, 12, 64. https://doi.org/10.3390/ecsoc-26-13718
Taylor RT, Brunner RG. Depolymerization of Heparin Benzyl Ester in a Flow System. Chemistry Proceedings. 2022; 12(1):64. https://doi.org/10.3390/ecsoc-26-13718
Chicago/Turabian StyleTaylor, Richard T., and Rebecca G. Brunner. 2022. "Depolymerization of Heparin Benzyl Ester in a Flow System" Chemistry Proceedings 12, no. 1: 64. https://doi.org/10.3390/ecsoc-26-13718
APA StyleTaylor, R. T., & Brunner, R. G. (2022). Depolymerization of Heparin Benzyl Ester in a Flow System. Chemistry Proceedings, 12(1), 64. https://doi.org/10.3390/ecsoc-26-13718

