Abstract
In the present day, there is an increasing demand for foods capable of fulfilling the nutritional needs of consumers, leading to a search for food products with a nutrient content able to promote a healthier lifestyle. In this study, an agronomic biofortification itinerary of Triticum aestivum L. (cv. Paiva) was conducted in an experimental field, located in Beja, Portugal, comprising foliar fertilization with ZnSO4 and Tecnifol Zinc in three different concentrations for each fertilizer along the plant cycle. The mineral quantification (S, K, Ca, and Zn) of whole bread wheat flour and refined bread wheat flour was measured using an X-ray fluorescence analyzer (XRF analyzer), whereas the micro-energy dispersive X-ray fluorescence system (μ-EDXRF) was used to quantify the minerals within the different regions of the wheat grain (embryo, endosperm, and vascular bundle). All the minerals presented lower values in the refined flour relative to the whole bread wheat flour, in which K had higher values followed by S and finally Ca with the lower values in both types of flour. The different minerals were spread around the various regions of the grain; however, they were more concentrated in the embryo and vascular bundle. The values are similar for both fertilizers, with a slight difference regarding Zn values, namely increasing with ZnSO4. To sum up, as the different minerals tend to accumulate in the embryo and vascular bundle, the whole bread wheat flour presents the richest option, promoting a healthier diet for consumers.
1. Introduction
The global population, in 2030, is expected to grow to between 8.5–8.6 billion; in 2050 it will reach from 9.4 to 10.1 and, at last, the population is expected to reach between 9.4 and 12.7 billion people in 2100, accentuating the cleavage between developing and developed countries [1,2]. Between 2019 and 2050, such a demographic increase will find more than half of this exponential growth of the world population in sub-Saharan African countries. Conversely, other regions such as East and Southeast Asia, Central and South Asia, Latin America and the Caribbean, and Europe and North America are projected to peak before the end of the existing century, but these values will start declining [1]. This entails an increase in food production, especially staple crops like bread wheat. Despite the predominance of such a staple crop in 2019/2020, it reached a production of about 760 million tons, in 2020/2021 increased to 776.5, and in 2021/2022 is being estimated, approximately, to reach 769.6 million tons [3]. Currently, there is an increasing demand for foods likely to meet the nutritional needs of consumers, fostering the search for food products with a nutrient content that may contribute to a healthier lifestyle. Human health will experience myriad benefits from the consumption of whole wheat as it contains phytochemicals (flavonoids, carotenoids, polyphenols, phenolic acids, and others), dietary fibers, and vitamins and minerals. These beneficial factors help reduce obesity, cancer, cardiovascular disease, and type II diabetes. What distinguishes whole wheat flour from refined wheat flour is the fact that the former keeps the outer layer of the kernel where the above-mentioned components are more concentrated [4,5]. Sulfur (S) is important for human beings as it is part of the amino acids methionine and cysteine, as also coenzymes and cofactors [6]. The microelement potassium (K) is linked with the nervous system, playing an important role in the maintenance of intracellular osmolality [7]. Calcium (Ca) is essential to mineral homeostasis, operates in the cardiac, nervous, and musculoskeletal systems, and acts as a cofactor [8]. Zinc (Zn) plays a key role at regulatory, functional, and structural levels in the human body and interacts with various proteins and enzymes [9]. This study aims to compare the chemical composition (S, K, Ca, and Zn) of whole and refined bread wheat flour and the accumulation of minerals when applying the fertilizers ZnSO4 and Tecnifol Zinc.
2. Materials and Methods
2.1. Experimental Field
An experimental field at 38°01′52.38″ N; 7°52′53.72″ W, in Beja (Portugal) was chosen to cultivate the Triticum aestivum L. Paiva variety. Although the last days of December 2018 saw the sowing of the bread wheat field, the harvest season fell by the end of June 2019. The sowing process was implemented according to a randomized block design comprising four repetitions. This field has been divided into 48 plots (24 plots for each one of both fertilizers), each one with an area of 9.6 m2 (8 m × 1.2 m), comprising 2 m between repetitions and 0.4 m between plots. An NPK fertilization and 50 kg Zn·ha−1 were applied in the field beforehand. The Zn biofortification encompassed the use of ZnSO4 and Tecnifol Zinc foliar spraying at booting, heading, and milk stages (this final stage only for Tecnifol Zinc) in late April and May 2019, with three different concentrations applied (0—control (T0), 8.1 (T1), and 18.2 (T2) kg·ha−1 for ZnSO4; and 0—control (T0), 1.3 (T1), and 2.6 (T2) kg·ha−1) and 46% of urea. Considering the plant life cycle, the total rainfall accumulation was about 5.43 mm, with a daily maximum of 1.85 mm; the average maximum and minimum temperatures were 22 °C and 11 °C, respectively, (with a maximum temperature of 39 °C and a minimum of 0 °C).
2.2. Mineral Quantification of Whole and Refined Flours by XRF and Wheat Grains by µ-EDXRF
To obtain the whole wheat flour we milled the grains using the Disintegrator MPD-102 Biobase Biodustry Co., Ltd. (Shandong, China) mill. Additionally, in order to obtain refined flour, the grains were milled by a Chopin CD1 mill (Group Tripette & Renaud, Asnières-sur-Seine, France).
To determine the mineral content of whole and refined wheat flours, under a helium atmosphere an X-Ray Fluorescence analyzer (XRF analyzer) (model XL3t 950 He GOLDD +) was used [10].
To determine zinc location in grain tissues collected at harvest, we used the micro-energy dispersive X-ray fluorescence system (μ-EDXRF) (M4 Tornado™, Bruker, Germany) according to [11]. We should mention that the grains were cut in half longitudinally along the crease tissue, Zn being the target of the study and not selenium.
2.3. Statistical Analyses
The statistical analyses of the data were carried out using software R (version 3.6.3). Statistical analyses included one-way and two-way ANOVA (p ≤ 0.05) to assess significant differences. Based on the results, a Tukey’s test for mean comparison was performed, considering a 95% confidence level.
3. Results
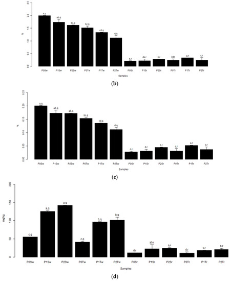
In a nutshell, when considering the different samples (whether from different minerals, types of flours, and treatments for both fertilizers) we may say that significant differences were observed (Figure 1). The macrominerals present values in which K has the higher values, followed by S, and at last, Ca. For all the minerals the refined wheat flour showed lower values than whole wheat flour, irrespective of the fertilizer applied. It is verified that the P0Sw sample is about nine-fold larger than the P0Sr sample for K. Relative to the whole wheat flour, for both fertilizers, in the macrominerals the values diminish from the left to the right in the figures, revealing that the fertilizer Tecnifol Zinc presents lower values than ZnSO4. In other words, the greater the amount of fertilizer applied, the bigger the decrease concerning the macro element, for both fertilizers. Considering Zn, when applying both fertilizers it is observed that as the concentration of applied fertilizer increases, the value of Zn in whole flour (as well as in refined flour) also increases. Relative to the refined flour, just for ZnSO4 fertilizer, the values of the macrominerals increase when applying higher concentrations of the fertilizer. What is more, for the same type of flour, when applying Tecnifol Zinc, the value of the macrominerals shows that the values rise between the control and the intermediate concentration of fertilizer and then drop from the intermediate concentration to the highest concentration (nevertheless, the values of the upper concentration are higher than the control).

Figure 1.
Average (n = 12—whole wheat flour; n = 9—refined wheat flour) mineral contents of S (a), K (b), Ca (c), in %, and Zn (d), in mg/kg, of whole wheat flour (-w) and of refined wheat flour (-r) of Triticum aestivum L. (cv. Paiva) when applying the fertilizers ZnSO4 (P0S—control, P1S—8.1, and P2S—18.2 kg·ha−1) and Tecnifol Zinc (P0T—control, P1T—1.3, and P2T—2.6 kg·ha−1). Letters a, b, c, d, e indicate significant differences in mineral contents in each type of flour among treatments within the same type of flour, and letters q, r indicate significant differences in mineral contents for both types of flour among different treatments (p < 0.05).
On the whole, when compared to the other zones of the grain, there is a greater amount of the minerals S (apart from sample O), K (apart from sample F), and Zn (apart from samples F and I) in the embryo (Table 1). However, Ca is predominant in the vascular bundle, excluding samples A and P. Regarding the predominance of each of the minerals in each of the zones, it appears that for the embryo and for the vascular bundle there is a lower prevalence of Zn, followed by Ca, S, and finally, K. When comparing the same concentration of the two different fertilizers, from the same zone of the grain it appears that ZnSO4 presented higher values than Tecnifol Zinc for the four minerals for T0—embryo, T1—endosperm, T1—vascular bundle, and T2—vascular bundle and presented lower values than Tecnifol Zinc for the four minerals of T1—embryo. Moreover, ZnSO4 revealed lower values of Tecnifol Zinc for T2—embryo (except S), T0—vascular bundle (not including S), and T0—endosperm (only for S, K, and Zn). Finally, Tecnifol Zinc showed lower values than ZnSO4 for T2—endosperm for the minerals K, Ca, and Zn. Regarding the comparison between the different concentrations of fertilizers (but for the same fertilizer), for the same mineral in the same grain zone, a relation was found: T0 < T1 < T2 (for ZnSO4, for the minerals S (endosperm), K (endosperm and vascular bundle), Ca (vascular bundle), and Zn (endosperm and vascular bundle); for Tecnifol Zinc, for the minerals K (embryo) and Zn); T0 < T2 < T1 (for ZnSO4, only the mineral Ca (endosperm); for Tecnifol Zinc, for the mineral S (embryo); T1 < T0 < T2 (for ZnSO4, for the minerals S (embryo and vascular bundle) and Zn (embryo); for Tecnifol Zinc, for the minerals S (endosperm), K (endosperm), Ca (embryo and endosperm) and Zn); T1 < T2 < T0 (only the embryo, regarding the mineral K, when applying ZnSO4); T2 < T0 < T1 (for Tecnifol Zinc, for the mineral S (vascular bundle)); T2 < T1 < T0 (for ZnSO4, for the mineral Ca (embryo); for Tecnifol Zinc, for the mineral Ca (vascular bundle)).
Table 1.
Values of S, K, Ca, and Zn contents; equipment error of Triticum aestivum L. (cv. Paiva) grains when applying the fertilizers ZnSO4 (T0—control, T1—8.1, and T2—18.2 kg·ha−1) and Tecnifol Zinc (T0—control, T1—1.3, and T2—2.6 kg·ha−1). The grain quantification was divided into three zones of the grain (embryo; endosperm; vascular bundle).
4. Discussion
The discrepancy between the amount of the same mineral for whole and refined wheat flours, regardless of the fertilizer applied, in which the whole flour presented higher values, is related to the different industrial processing of the flours. In this way, refined flour is obtained by removing the outermost zones of the grain, where the minerals are more concentrated, being in line with the data obtained by the quantification of the grains [12]. As a result, refined wheat flours are less suitable for a healthier diet. According to some studies focused on bread wheat biofortified with ZnSO4, S, K, Ca, and Zn are preferably located in the embryo (S) and the vascular bundle (K, Ca, Zn) [13]. However, when comparing 11 different bread wheat varieties, in 7 of them Zn was more accumulated in the embryo, followed by the vascular bundle [14]. This finding agrees with the data obtained for S and Zn, which are preferably located in the embryo, and for Ca (predominant in the vascular bundle). Our data on the predominance of K, S, Ca, and Zn in the different flour and grains (despite the zone) is supported by the studies of [13]. In general, when comparing both fertilizers, Tecnifol Zinc was the least effective. Foliar spraying of both fertilizers enhanced the Zn content in the flours according to [15]. The decreasing trend of S and Ca minerals with the increasing Zn concentration agrees with the literature [16].
5. Conclusions
Considering flours, macrominerals present values in which K has the highest values, followed by S, and finally Ca. Regardless of the fertilizer applied, the refined wheat flour showed lower values than whole wheat flour, for all the minerals. Relative to the whole wheat flour, for both fertilizers, in macrominerals the values diminished as the fertilizer concentrations increased. The values of whole wheat flour proved that ZnSO4 was the fertilizer presenting higher values when compared with Tecnifol Zinc. Zinc showed that as the concentration of the applied fertilizer increases, the value of this mineral in the flours also increases when applying both fertilizers. In general, the minerals S, K, and Zn are predominant in the embryo, nevertheless, Ca is predominant in the vascular bundle. Regarding the predominance of each mineral in each zone, and, in descending order, it appears that for the three zones there is a lower prevalence of Zn, Ca, S, and finally K (only for embryo and vascular bundle). When comparing the same concentration of the two different fertilizers, focusing on the same section of the grain, it appears that ZnSO4 presented higher values than Tecnifol Zinc for the four minerals, by and large. To sum up, as the different minerals tend to accumulate in the embryo and vascular bundle of the grain, and whole bread wheat flour includes these zones, this flour constitutes a healthier choice for consumers.
Author Contributions
Conceptualization, I.C.L., M.P., M.M.S. and F.C.L.; methodology, M.P., A.S.B., M.G. and F.C.L.; software, I.C.L. and R.G.L.; formal analysis, I.C.L., D.D., A.C.M., A.R.F.C., C.C.P., A.S.A., M.F.P., F.H.R., M.S., P.L., J.M., I.P.P., P.S.C. and J.C.R.; investigation, I.C.L., D.D., A.C.M., A.R.F.C., C.C.P., R.G.L. and F.C.L.; resources, M.P., J.D., A.S.B. and M.G.; writing—original draft preparation, I.C.L.; writing—review and editing, I.C.L. and F.C.L.; supervision, M.P., M.M.S. and F.C.L.; project administration, F.C.L. All authors have read and agreed to the published version of the manuscript.
Funding
This research was funded by PDR2020, grant number 101-030835 and by the research center Grant Nº. UID/FIS/04559/2020 to LIBPhys-UNL, from FCT/MCTES/PIDDAC.
Institutional Review Board Statement
Not applicable.
Informed Consent Statement
Not applicable.
Data Availability Statement
Not applicable.
Acknowledgments
The authors thanks to Instituto Politécnico de Beja and Associação de Agricultores do Baixo Alentejo for technical assistance and for facilities regarding the Triticum aestivum L. field. Moreover, the authors thanks to the research center (GeoBioTec) UIDB/04035/2020.
Conflicts of Interest
The authors declare no conflict of interest. The funders had no role in the design of the study; in the collection, analyses, or interpretation of data; in the writing of the manuscript, or in the decision to publish the results.
Abbreviations
The following abbreviations are used in this manuscript:
| P- | corresponds to Triticum aestivum L. (cv.Paiva) |
| T0, P0S and P0T | corresponds to the control samples for the fertilizers ZnSO4 and Tecnifol Zinc, respectively |
| T1, P1S and P1T | corresponds to the foliar spray of the fertilizer with the intermediate concentration of ZnSO4 (8.1 kg·ha−1) and of Tecnifol Zinc (1.3 kg·ha−1), respectively |
| T2, P2S and P2T | corresponds to the foliar spray of the fertilizer with the upper concentration of ZnSO4 (18.2 kg·ha−1) and of Tecnifol Zinc (2.6 kg·ha−1), respectively |
| -w | corresponds to the whole wheat flour samples |
| -r | corresponds to the refined wheat flour samples |
References
- United Nations, Department of Economic and Social Affairs, Population Division. World Population Prospects 2019: Data Booklet; United Nations, Department of Economic and Social Affairs: New York, NY, USA, 2019; pp. 1–28. Available online: https://population.un.org/wpp/Publications/Files/WPP2019_DataBooklet.pdf (accessed on 10 January 2022).
- Gaffney, J.; Challender, M.; Califf, K.; Harden, K. Building bridges between agribusiness innovation and smallholder farmers: A review. Glob. Food Sec. 2019, 20, 60–65. [Google Scholar] [CrossRef]
- Food and Agriculture Organization of the United Nations (FAO)—FAO Cereal Supply and Demand Brief. Available online: http://www.fao.org/worldfoodsituation/csdb/en/ (accessed on 10 January 2022).
- Zhang, Y.; Pei, F.; Fang, Y.; Li, P.; Zhao, Y.; Shen, F.; Zou, Y.; Hu, Q. Comparison of concentration and health risks of 9 Fusarium mycotoxins in commercial whole wheat flour and refined wheat flour by multi-IAC-HPLC. Food Chem. 2019, 275, 763–769. [Google Scholar] [CrossRef] [PubMed]
- Tian, W.; Chen, G.; Tilley, M.; Li, Y. Changes in phenolic profiles and antioxidant activities during the whole wheat bread-making process. Food Chem. 2021, 345, 128851. [Google Scholar] [CrossRef] [PubMed]
- Koprivova, A.; Kopriva, S. Role of plant sulfur metabolism in human nutrition and food security. In Plant Nutrition and Food Security in the Era of Climate Change, 1st ed.; Kumar, V., Srivastava, A.K., Suprasanna, P., Eds.; Academic Press: Cambridge, MA, USA, 2022; pp. 73–95. [Google Scholar] [CrossRef]
- Zoroddu, M.A.; Aaseth, J.; Crisponi, G.; Medici, S.; Peana, M.; Nurchi, V.M. The essential metals for humans: A brief overview. J. Inorg. Biochem. 2019, 195, 120–129. [Google Scholar] [CrossRef] [PubMed]
- Buturi, C.V.; Mauro, R.P.; Fogliano, V.; Leonardi, C.; Giuffrida, F. Mineral Biofortification of Vegetables as a Tool to Improve Human Diet. Foods 2021, 10, 223. [Google Scholar] [CrossRef] [PubMed]
- Cakmak, I.; Kutman, U.B. Agronomic biofortification of cereals with zinc: A review. Eur. J. Soil Sci. 2018, 69, 172–180. [Google Scholar] [CrossRef]
- Pessoa, C.C.; Lidon, F.C.; Coelho, A.R.F.; Caleiro, J.C.; Marques, A.C.; Luís, I.C.; Kullberg, J.C.; Legoinha, P.; Brito, M.G.; Ramalho, J.C.; et al. Calcium biofortification of Rocha pears, tissues accumulation and physicochemical implications in fresh and heat-treated fruits. Sci. Hortic. 2021, 277, 1–11. [Google Scholar] [CrossRef]
- Marques, A.C.; Lidon, F.C.; Coelho, A.R.F.; Pessoa, C.C.; Luís, I.C.; Campos, P.S.; Simões, M.; Almeida, A.S.; Pessoa, M.F.; Galhano, C.; et al. Effect of Rice Grain (Oriza sativa L.) Enrichment with selenium on foliar leaf gas exchanges and accumulation of nutrients. Plants 2021, 10, 288. [Google Scholar] [CrossRef] [PubMed]
- Liu, J.; Yu, L.L.; Wu, Y. Bioactive components and health beneficial properties of whole wheat foods. J. Agric. Food Chem. 2020, 68, 12904–12915. [Google Scholar] [CrossRef]
- Ramos, I.; Pataco, I.M.; Mourinho, M.P.; Lidon, F.; Reboredo, F.; Pessoa, M.F.; Carvalho, M.L.; Santos, J.P.; Guerra, M. Elemental mapping of biofortified wheat grains using micro X-ray fluorescence. Spectrochim. Acta Part B At Spectrosc. 2016, 120, 30–36. [Google Scholar] [CrossRef]
- Cardoso, P.; Mateus, T.C.; Velu, G.; Singh, R.P.; Santos, J.P.; Carvalho, M.L.; Lourenço, V.M.; Lidon, F.; Reboredo, F.; Guerra, M. Localization and distribution of Zn and Fe in grains of biofortified bread wheat lines through micro- and triaxial-X-ray fluorescence spectrometry. Spectrochim. Acta Part B At Spectrosc. 2018, 141, 70–79. [Google Scholar] [CrossRef]
- Zhao, A.; Wang, B.; Tian, X.; Yang, X. Combined soil and foliar ZnSO4 application improves wheat grain Zn concentration and Zn fractions in a calcareous soil. Eur. J. Soil Sci. 2020, 71, 681–694. [Google Scholar] [CrossRef]
- Prasad, R.; Shivay, Y.S.; Kumar, D. Interactions of Zinc with Other Nutrients in Soils and Plants—A Review. Indian J. Fertil. 2016, 12, 16–26. [Google Scholar]
Publisher’s Note: MDPI stays neutral with regard to jurisdictional claims in published maps and institutional affiliations. |
© 2022 by the authors. Licensee MDPI, Basel, Switzerland. This article is an open access article distributed under the terms and conditions of the Creative Commons Attribution (CC BY) license (https://creativecommons.org/licenses/by/4.0/).

