A Concept of a Para-Hydrogen-Based Cold Neutron Source for Simultaneous High Flux and High Brightness
Abstract
1. Introduction
2. Analytic Model: Infinitely Thin Para-Hydrogen Moderator
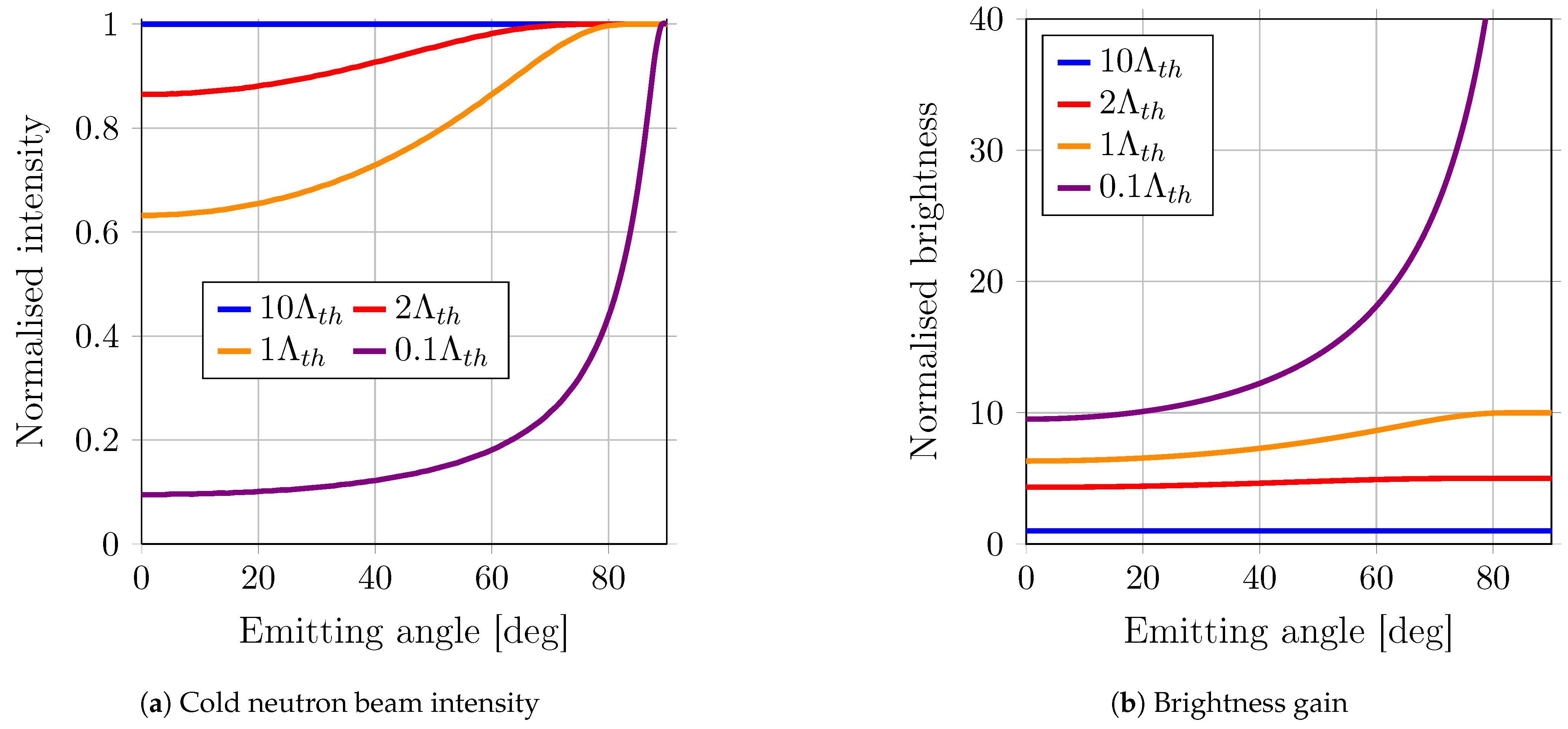
2.1. Brightness Calculations for In-Plane Illumination
2.2. Brightness Gain Calculations for Rectangular Moderator
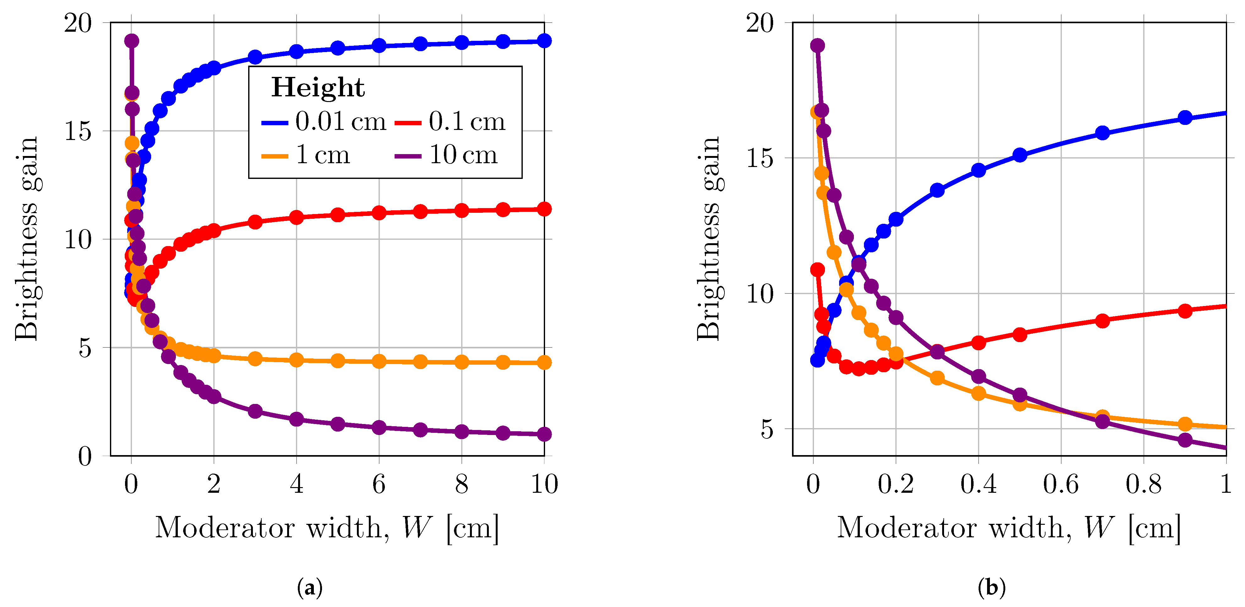
- Side illumination—dependence on the moderator width W (Figure 7a).As mentioned above, approximately 95% of thermal neutrons interact with the moderator material within the thick layer (see Figure 4a), resulting in the effective emission of cold neutrons only from this region. Therefore, as the bottom width W of the moderator exceeds , the intensity of cold neutrons does not show a significant increase. In other words, for , the brightness of the cold source, which is inversely proportional to the moderator area (see Equation (6)), decreases as towards zero.On the other hand, as the width W decreases from to zero, the hyperbolic rise of for the cold neutron brightness is dampened by the exponential decrease in the cold neutron intensity within the thick layer (Equation (2)). As a result, the brightness of cold neutrons increases rather sharply for narrower moderators, but it does not diverge for ; instead, it approaches a limiting value.
- Bottom illumination—dependence on the moderator width W (Figure 7c).Unlike the previous case, where the change in moderator width W did not affect the size of the thermal neutron source (vertical wall in Figure 7), in this case, it does have an impact. For large values of W, more than , the cold neutron intensity is proportional to W, as the vast majority of thermal neutrons emitted from each point on the bottom wall are converted into cold neutrons in a single collision. Therefore, the cold neutron brightness, as defined by Equation (7), is independent of W and inversely proportional to the moderator height H. However, as the width W gradually decreases from to zero, a portion of thermal neutrons emitted at angles (i.e., not vertically) do not undergo collisions with the moderator material. This leads to a decrease in the cold neutron intensity (see Equation (4) and Figure 4a)
- Side illumination—dependence on the moderator height H (Figure 7b)The dependence of cold neutron brightness on the moderator height for the side illumination (Figure 7b) exhibits exactly the same behavior as the dependence on the moderator width for the bottom illumination (Figure 7c). Such kind of symmetry is not surprising: in the first case, the illuminated vertical side wall plays a similar role to the illuminated horizontal wall in the case of bottom illumination.
- Bottom illumination—dependence on the moderator height H (Figure 7d).This dependence is exactly the same as the dependence on the moderator width for the side illumination (Figure 7a). Now, the illuminated horizontal bottom wall plays the same role as the illuminated vertical wall for the side illumination.
2.3. MCNP Verification
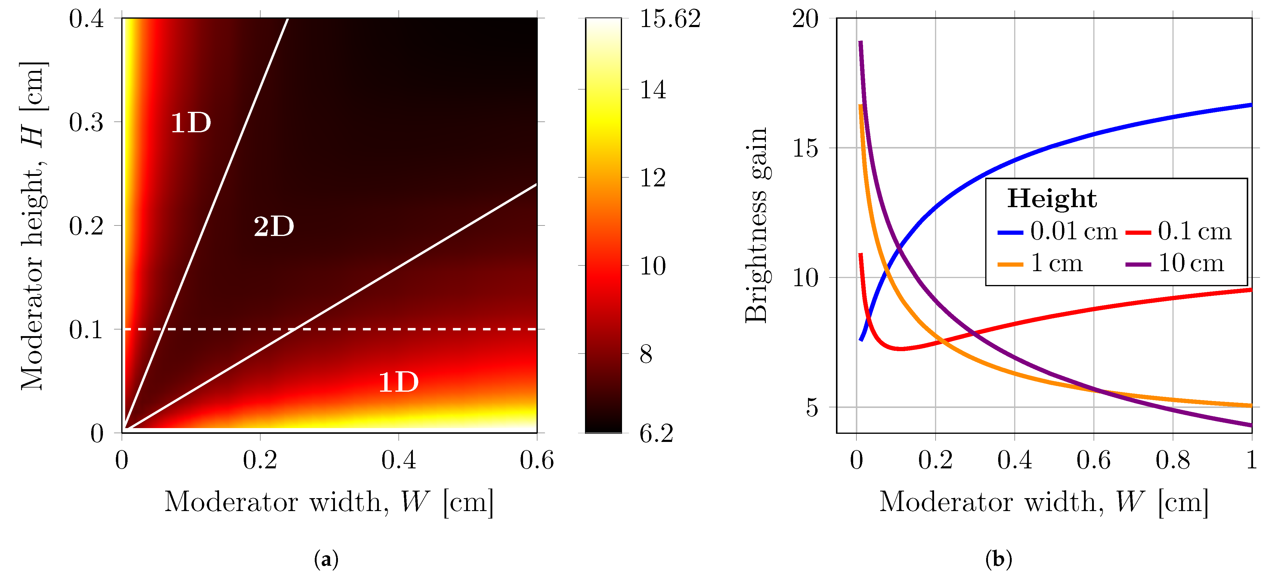
3. What Is the Low Dimensionality of Moderators?
4. Real Para-Hydrogen Moderator
4.1. Transition from Infinitely Thin to Finite-Length Moderator
4.2. Transition to Out-of-Plane Illumination
4.3. Transition from Monochromatic to Maxwellian Spectrum Illumination
4.4. Transition from Step-like Cross-Section to Real Cross-Section of Para-Hydrogen
4.5. Cold Neutron Spectrum Emitted from Low-Dimensional Para-Hydrogen Moderators
5. Cold Neutron Source Utilizing Assembly of Low-Dimensional Moderators
5.1. Neutron Source Concept
5.2. Brightness and Intensity of Moderator Assembly
Procedure for Brightness Gain Calculations
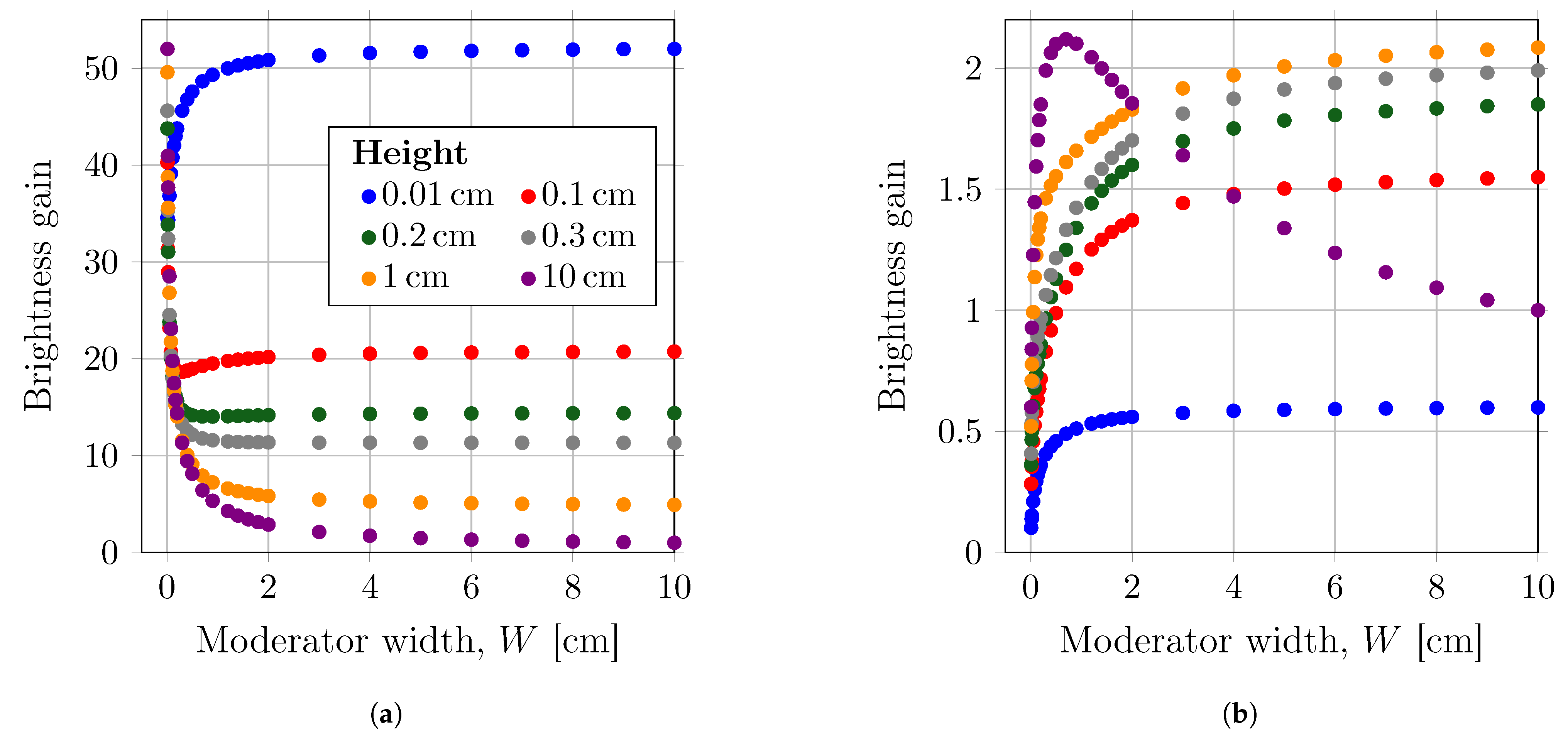
- Moderator compression.Figure 21 shows MCNP-calculated brightness gains depending on the moderator width. All results are normalized for 10 × 10 cm2 moderator. Results corresponding to moderator height 10 cm were fitted and that function was used for further calculations.It is important to note, that due to identical outer dimensions of the entire moderator assembly, it can be placed in the same beam tube as a wide individual moderator and does not require the modification of the position of surrounding reflectors. Indeed, the dependence of brightness gain on moderator sizes for individual moderators in assemblies is the same as for a voluminous moderator (see Figure 21).
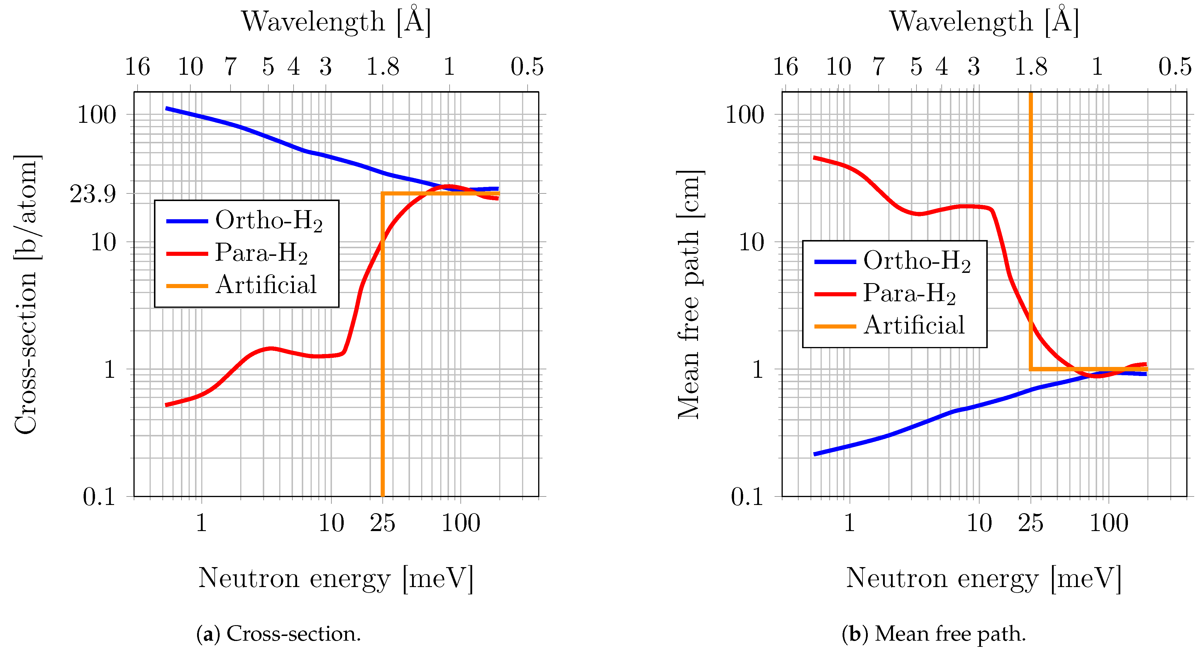
- Moderator length.Para-hydrogen exhibits a very low scattering cross-section for cold neutrons. MFP for neutrons with meV, where maximum of cold neutron spectrum is situated, can be estimated as cm on average (Figure 1). Indeed, the moderator brightness gain due to increased length can be estimated aswhere is the thermal neutron brightness in the position l.
- Thermal neutron flux distribution.As mentioned earlier, the thermal neutron flux may vary along the moderator assembly. This variation imposes a limitation for the proposed moderator geometries, as the reduced thermal neutron illumination at the periphery of the staircase moderator assembly limits its feasible overall length and the number of individual moderators that can be used in the assembly (Figure 29).This limitation can be partially overcome by using multiple parallel staircase and chessboard assemblies, as shown in Figure 30c and Figure 30d, respectively. In these figures, the overall assembly width is kept constant, while the step width in a multiple-parallel-staircase configuration is reduced. This leads to an increase in brightness from each step, although within the limit defined by the wall thickness, as discussed below. To incorporate the corresponding factor into calculations, the thermal flux distribution along the beam tube must first be defined. In the following sections, we consider two types of distributions: one for heavy-water reactor sources, with a typical full width at half maximum (FWHM) of 120 cm. and for spallation/compact neutron sources, with a typical FWHM of 25 cm.
- Wall losses.One of the factors decreasing the potentially achievable assembly brightness is the finite wall thickness of each individual moderator, which causes a reduction in the effective emitting area of the assembled cold neutron source. The losses can be minimized when the horizontal walls of neighboring moderators overlap with each other, as depicted in Figure 31a. Losses due to walls are proportional to the percentage of useful bright surface covered by walls:where is the remaining useful relative brightness, a is the wall thickness, N is the number of steps, and is the overall moderator width.By multiplying this factor with the brightness gain dependence on the single moderator width W (as shown in Figure 19), we can determine the reduced brightness gain for different wall thicknesses, which is presented in Figure 31b for the moderator height cm. While the brightness gain for a single moderator increases monotonically as its size decreases, considering the changes in wall thickness alters this dependence. For a given wall thickness, there exists a maximum achievable brightness gain, and this value increases as the walls become thinner. The step width should not be less than 0.25–0.5 cm (depending on wall thickness), limiting the allowable total number of steps in the assembly, e.g., to 12 for cm and 40 for cm (for a wall thickness of 1 mm).Since the intensity gain of such assembly is calculated as the product of brightness and assembly width , the finite wall thickness results in a non-monotonic behavior of the intensity gain. It is illustrated in Figure 31c, where intensity gains for different are shown. One can see, that the intensity gain for a 10 cm wide assembly consisting of six single 1.6 cm wide moderators is approximately 2.5 relative to the 10 cm wide voluminous moderator, and for a 6 cm wide assembly consisting of four single 1.5 cm wide moderators, the intensity gain is about 2 relative to the 6 cm wide voluminous moderator.Consequently, using thinner walls proves to be advantageous. However, as para-hydrogen in the moderator should be under high pressure, up to 20 bar [8], the thickness of the moderator walls should be sufficient for the safe operation of such moderators. Certainly, minimizing the wall thickness poses a significant challenge, and engineering efforts are needed to address it. One potential approach is to manufacture the single moderator from a single aluminum piece with internal ribs as shown in Figure 32. These ribs serve the dual purpose of facilitating the proper flow of liquid hydrogen and acting as connectors between the large area surfaces of the moderator (approximately 10 × 15 cm2. This design enables the desired flow characteristics while potentially reducing the wall thickness to around 1 mm, thereby minimizing the impact on brightness gain.
5.3. Results
5.3.1. Moderator Assemblies at Reactor Source
5.3.2. Moderator Assemblies at Spallation or Compact Sources
6. Conclusions and Summary
Author Contributions
Funding
Data Availability Statement
Conflicts of Interest
Appendix A. Total Cold Neutron Intensity from Rectangular Moderator

Appendix B. Shadowing Effect


| = 3 cm | = 10 cm | ||||
|---|---|---|---|---|---|
| Layout | Figure | 3–4 Å | 4–20 Å | 3–4 Å | 4–20 Å |
| 3-step staircase | Figure A2a | 1.452(3) | 1.842(3) | 1.242(2) | 1.652(2) |
| 3-step chessboard | Figure A2b | 1.462(3) | 1.865(3) | 1.247(2) | 1.646(2) |
| 8-step chessboard | Figure A2c | 1.349(3) | 1.837(3) | 1.212(2) | 1.690(2) |
| Single step | Figure A2d | 1.578(3) | 1.984(3) | 1.302(2) | 1.701(2) |
References
- Kiyanagi, Y.; Ooi, M.; Ogawa, H.; Furusaka, M. Development of hydrogen cold moderator systems for a spallation neutron source. J. Neutron Res. 2003, 11, 3–11. [Google Scholar] [CrossRef]
- Ageron, P.; Beaucourt, P.D.; Harig, H.; Lacaze, A.; Livolant, M. Experimental and theoretical study of cold neutron sources of liquid hydrogen and liquid deuterium. Cryogenics 1969, 9, 42–50. [Google Scholar] [CrossRef]
- Shin, Y.; Lavelle, C.; Snow, W.M.; Baxter, D.V.; Tong, X.; Yan, H.; Leuschner, M. Measurements of the neutron brightness from a phase II solid methane moderator at the LENS neutron source. Nucl. Instruments Methods Phys. Res. Sect. A Accel. Spectrometers Detect. Assoc. Equip. 2010, 620, 375–381. [Google Scholar] [CrossRef]
- Würz, H. Untersuchungen zur Neutronenthermalisierung an Flüssigem Ortho- und Para-Wasserstoff, 1973, KFK 1697. Available online: https://d-nb.info/1187253243/34 (accessed on 2 January 2025).
- Watanabe, N. Neutronics of pulsed spallation neutron sources. Rep. Prog. Phys. 2003, 66, 339. [Google Scholar] [CrossRef]
- Batkov, K.; Takibayev, A.; Zanini, L.; Mezei, F. Unperturbed moderator brightness in pulsed neutron sources. Nucl. Instruments Methods Phys. Res. Sect. A Accel. Spectrometers Detect. Assoc. Equip. 2013, 729, 500–505. [Google Scholar] [CrossRef]
- Mezei, F.; Zanini, L.; Takibayev, A.; Batkov, K.; Klinkby, E.; Pitcher, E.; Schönfeldt, T. Low dimensional neutron moderators for enhanced source brightness. J. Neutron Res. 2014, 17, 101–105. [Google Scholar] [CrossRef]
- Zanini, L.; Andersen, K.; Batkov, K.; Mezei, F.; Takibayev, A.; Klinkby, E.; Schönfeldt, T. Design of the cold and thermal neutron moderators for the European Spallation Source. Nucl. Instruments Methods Phys. Res. Sect. A Accel. Spectrometers Detect. Assoc. Equip. 2019, 925, 33–52. [Google Scholar] [CrossRef]
- Batkov, K.; Takibayev, A.; Zanini, L.; Mezei, F. Cold moderators for long pulse neutron sources: Unperturbed brightness. In Proceedings of the International Topical Meeting on Nuclear Applications of Accelerators (AccApp–XI), Bruges, Belgium, 5–8 August 2013. [Google Scholar]
- Gallmeier, F.X.; Remec, I. A liquid hydrogen tube moderator arrangement for SNS second target station. Rev. Sci. Instruments 2022, 93, 083301. [Google Scholar] [CrossRef] [PubMed]
- Rücker, U.; Cronert, T.; Voigt, J.; Dabruck, J.; Doege, P.-E.; Ulrich, J.; Nabbi, R.; Beßler, Y.; Butzek, M.; Büscher, M.; et al. The Jülich high-brilliance neutron source project. Eur. Phys. J. Plus 2016, 131, 19. [Google Scholar] [CrossRef]
- Moskvin, E.; Grigoryeva, N.; Kovalenko, N.; Grigoryev, S. Conceptual design of a time-of-flight powder diffractometer for a compact neutron source. J. Surf. Investig. X-Ray Synchrotron Neutron Tech. 2023, 17, 804–809. [Google Scholar] [CrossRef]
- Konik, P.; Ioffe, A. A new method to find out the optimal neutron moderator size based on neutron scattering instrument parameters. Nucl. Instruments Methods Phys. Res. Sect. A Accel. Spectrometers Detect. Assoc. Equip. 2023, 1056, 168643. [Google Scholar] [CrossRef]
- Andersen, K.H.; Bertelsen, M.; Zanini, L.; Klinkby, E.B.; Schönfeldt, T.; Bentley, P.M.; Saroun, J. Optimization of moderators and beam extraction at the ESS. J. Appl. Crystallogr. 2018, 51, 264–281. [Google Scholar] [CrossRef] [PubMed]
- Goorley, J.T.; James, M.; Booth, T.; Brown, F.; Bull, J.; Cox, L.J.; Durkee, J.; Elson, J.; Fensin, M.; Forster, R.A.; et al. Initial MCNP6 Release Overview. Nucl. Technol. 2012, 180, 298–315. [Google Scholar] [CrossRef]
- Mattauch, S.; Ioffe, A.; Lott, D.; Bottyán, L.; Daillant, J.; Markó, M.; Menelle, A.; Sajti, S.; Veres, T. HERITAGE: The concept of a giant flux neutron reflectometer for the exploration of 3-d structure of free-liquid and solid interfaces in thin films. Nucl. Instruments Methods Phys. Res. Sect. A Accel. Spectrometers Detect. Assoc. Equip. 2017, 841, 34–46. [Google Scholar] [CrossRef]
- Ikeda, Y. J-PARC status update. Nucl. Instruments Methods Phys. Res. Sect. A Accel. Spectrometers Detect. Assoc. Equip. 2009, 600, 1–4. [Google Scholar] [CrossRef]
- Conlin, J.L.; Parsons, D.K.; Brown, F.B.; MacFarlane, R.E.; Little, R.C.; White, M.C. Continuous S(α,β) Capability in MCNP. In Proceedings of the ANS Annual Meeting, Chicago, IL, USA, 24–28 June 2012. [Google Scholar]
- Chadwick, M.; Obložinskỳ, P.; Herman, M.; Greene, N.; McKnight, R.; Smith, D.; Young, P.; MacFarlane, R.; Hale, G.; Frankle, S.; et al. ENDF/B-VII.0: Next generation evaluated nuclear data library for nuclear science and technology. Nucl. Data Sheets 2006, 107, 2931–3059. [Google Scholar] [CrossRef]








































Disclaimer/Publisher’s Note: The statements, opinions and data contained in all publications are solely those of the individual author(s) and contributor(s) and not of MDPI and/or the editor(s). MDPI and/or the editor(s) disclaim responsibility for any injury to people or property resulting from any ideas, methods, instructions or products referred to in the content. |
© 2025 by the authors. Licensee MDPI, Basel, Switzerland. This article is an open access article distributed under the terms and conditions of the Creative Commons Attribution (CC BY) license (https://creativecommons.org/licenses/by/4.0/).
Share and Cite
Ioffe, A.; Konik, P.; Batkov, K. A Concept of a Para-Hydrogen-Based Cold Neutron Source for Simultaneous High Flux and High Brightness. J. Nucl. Eng. 2025, 6, 3. https://doi.org/10.3390/jne6010003
Ioffe A, Konik P, Batkov K. A Concept of a Para-Hydrogen-Based Cold Neutron Source for Simultaneous High Flux and High Brightness. Journal of Nuclear Engineering. 2025; 6(1):3. https://doi.org/10.3390/jne6010003
Chicago/Turabian StyleIoffe, Alexander, Petr Konik, and Konstantin Batkov. 2025. "A Concept of a Para-Hydrogen-Based Cold Neutron Source for Simultaneous High Flux and High Brightness" Journal of Nuclear Engineering 6, no. 1: 3. https://doi.org/10.3390/jne6010003
APA StyleIoffe, A., Konik, P., & Batkov, K. (2025). A Concept of a Para-Hydrogen-Based Cold Neutron Source for Simultaneous High Flux and High Brightness. Journal of Nuclear Engineering, 6(1), 3. https://doi.org/10.3390/jne6010003

