Synthesis and Thermo-Responsive Performance of Chitosan-Based UCST-Type Superplasticizers for Cement Composites
Abstract
1. Introduction
2. Materials and Synthesis
2.1. Materials
2.2. Instrumentation and Measurements
2.3. Synthesis of Chitosan-Based Thermo-Responsive Superplasticizers (Thermo-PCEx)
- (1)
- Synthesis of tetradecyl poly(ethylene glycol) glycidyl ether (T8-EP) [38]
- (2)
- Synthesis of thermo-responsive chitosan macromonomers (uCS-g-T8) [39]
- (3)
- Copolymerization to obtain Thermo-PCEx
2.4. Preparation of Cement Composites
2.5. Evaluation of Thermo-PCEx Performance in Cement
3. Results and Discussion
3.1. Synthesis and Characterization
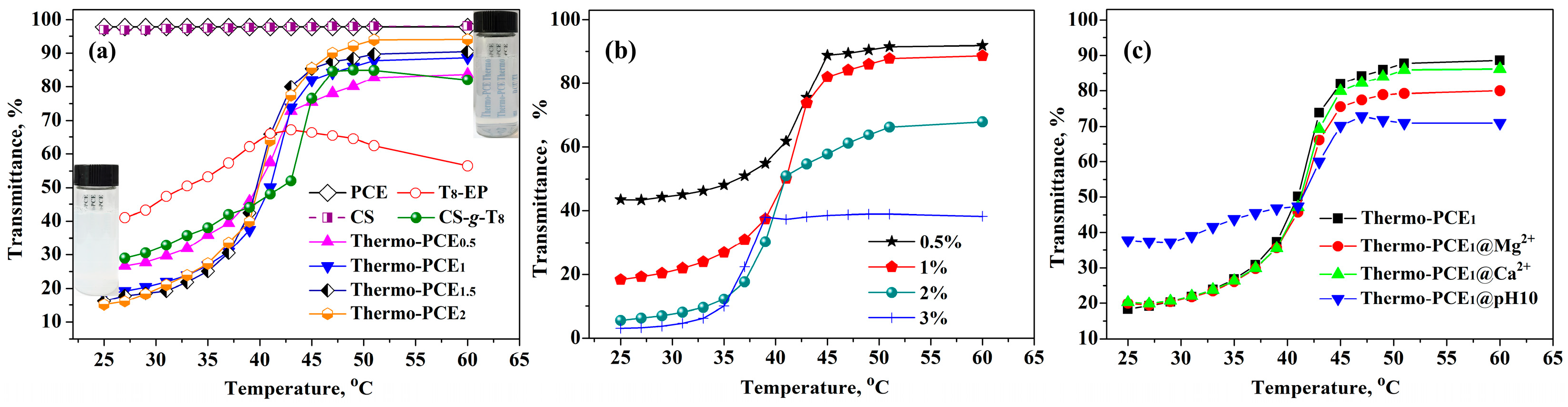
3.2. Thermo-Responsive Behavior of Thermo-PCEx
3.3. Dispersion Capacities of Thermo-PCEx in Cement Pastes
3.3.1. Effects of Temperature and Hydration Time on Workability
3.3.2. Effects of Thermo-PCE1.5 on Setting Time and Early Hydration Products
3.4. Application Results of Thermo-PCE1.5 in Cement Composites
4. Conclusions
Supplementary Materials
Author Contributions
Funding
Institutional Review Board Statement
Data Availability Statement
Acknowledgments
Conflicts of Interest
References
- Vohburger, A.; Collin, M.; Rindle, O.; Gädt, T. Influence of Polymeric Dispersants on the Dissolution Rate of Tricalcium Silicate and the Nucleation of Calcium-Silicate-Hydrate and Portlandite. Chem. Eur. J. 2025, 31, e202500207. [Google Scholar] [CrossRef]
- Gelardi, G.; Mantellato, S.; Marchon, D.; Palacios, M.; Eberhardt, A.B.; Flatt, R.J. 9—Chemistry of chemical admixtures. In Science and Technology of Concrete Admixtures; Woodhead Publishing: Amsterdam, The Netherlands, 2016; pp. 149–218. [Google Scholar]
- Fu, H.; Wu, Y.; Lv, H.; Yang, Z. Behavior of hydration heat regulation and quantitative prediction of the early cracking risk of “dual composite” industrial solid waste concrete materials. Constr. Build. Mater. 2025, 495, 143685. [Google Scholar] [CrossRef]
- Ma, R.; Wang, Y.; Li, H.; Bai, Y. Progress in the polycarboxylate superplasticizer and their structure-activity relationship—A review. Mater. Today Commun. 2023, 35, 105838. [Google Scholar] [CrossRef]
- Yamada, K.; Sugamata, T.; Nakanishi, H. Fluidity Performance Evaluation of Cement and Superplasticizer. J. Adv. Concr. Technol. 2006, 4, 241–249. [Google Scholar] [CrossRef]
- Fang, Y.; Chen, Z.; Yan, D.; Ke, Y.; Ma, X.; Lai, J.; Liu, Y.; Li, G.; Zhang, X.; Lin, Z.; et al. Study on the Effect of Main Chain Molecular Structure on Adsorption, Dispersion, and Hydration of Polycarboxylate Superplasticizers. Materials 2023, 16, 4823. [Google Scholar] [CrossRef]
- Lu, Z.; Lu, J.; Liu, Z.; Sun, Z.; Stephan, D. Influence of water to cement ratio on the compatibility of polycarboxylate superplasticizer with Portland cement. Constr. Build. Mater. 2022, 341, 127846. [Google Scholar] [CrossRef]
- Winnefeld, F.; Becker, S.; Pakusch, J.; Götz, T. Effects of the molecular architecture of comb-shaped superplasticizers on their performance in cementitious systems. Cem. Concr. Compos. 2007, 29, 251–262. [Google Scholar] [CrossRef]
- Houst, Y.F.; Bowen, P.; Perche, F.; Kauppi, A.; Borget, P.; Galmiche, L.; Le Meins, J.-F.; Lafuma, F.; Flatt, R.J.; Schober, I.; et al. Design and function of novel superplasticizers for more durable high performance concrete (superplast project). Cem. Concr. Res. 2008, 38, 1197–1209. [Google Scholar] [CrossRef]
- Ma, B.; Ma, M.; Shen, X.; Li, X.; Wu, X. Compatibility between a polycarboxylate superplasticizer and the belite-rich sulfoaluminate cement: Setting time and the hydration properties. Constr. Build. Mater. 2014, 51, 47–54. [Google Scholar] [CrossRef]
- Zhou, T.; Duan, H.; Li, Z.; Jin, Y.; Liu, H.; Pang, Y.; Lou, H.; Yang, D.; Qiu, X. Reconfiguring Molecular Conformation from Comb-Type to Y-Type for Improving Dispersion Performance of Polycarboxylate Superplasticizers. Macromolecules 2024, 57, 727–738. [Google Scholar] [CrossRef]
- Lai, G.; Liu, X.; Song, X.; Guan, J.; Wang, Z.; Cui, S.; Qian, S.; Luo, Q.; Xie, H.; Xia, C. A mechanistic study on the effectiveness of star-like and comb-like polycarboxylate superplasticizers in cement pastes. Cem. Concr. Res. 2024, 175, 107389. [Google Scholar] [CrossRef]
- Huang, Z.; Yang, Y.; Ran, Q.; Liu, J. Preparing hyperbranched polycarboxylate superplasticizers possessing excellent viscosity-reducing performance through in situ redox initialized polymerization method. Cem. Concr. Compos. 2018, 93, 323–330. [Google Scholar] [CrossRef]
- Lin, X.; Liao, B.; Zhang, J.; Li, S.; Huang, J.; Pang, H. Synthesis and characterization of high-performance cross-linked polycarboxylate superplasticizers. Constr. Build. Mater. 2019, 210, 162–171. [Google Scholar] [CrossRef]
- Plank, J.; Sachsenhauser, B. Experimental determination of the effective anionic charge density of polycarboxylate superplasticizers in cement pore solution. Cem. Concr. Res. 2009, 39, 1–5. [Google Scholar] [CrossRef]
- He, Y.; Zhang, X.; Shui, L.; Wang, Y.; Gu, M.; Wang, X.; Wang, H.; Peng, L. Effects of PCEs with various carboxylic densities and functional groups on the fluidity and hydration performances of cement paste. Constr. Build. Mater. 2019, 202, 656–668. [Google Scholar] [CrossRef]
- Zhao, H.; Yang, Y.; Shu, X.; Wang, Y.; Wu, S.; Ran, Q.; Liu, J. The binding of calcium ion with different groups of superplasticizers studied by three DFT methods, B3LYP, M06-2X and M06. Comput. Mater. Sci. 2018, 152, 43–50. [Google Scholar] [CrossRef]
- Flatt, R.J.; Schober, I.; Raphael, E.; Plassard, C.; Lesniewska, E. Conformation of Adsorbed Comb Copolymer Dispersants. Langmuir 2009, 25, 845–855. [Google Scholar] [CrossRef] [PubMed]
- Dalas, F.; Nonat, A.; Pourchet, S.; Mosquet, M.; Rinaldi, D.; Sabio, S. Tailoring the anionic function and the side chains of comb-like superplasticizers to improve their adsorption. Cem. Concr. Res. 2015, 67, 21–30. [Google Scholar] [CrossRef]
- Wen, X.-D.; Feng, L.; Hu, D.-Y.; Wang, K.; Zhang, Z. Effect of side-chain length in polycarboxylic superplasticizer on the early-age performance of cement-based materials. Constr. Build. Mater. 2019, 211, 26–32. [Google Scholar] [CrossRef]
- Dalas, F.; Pourchet, S.; Nonat, A.; Rinaldi, D.; Sabio, S.; Mosquet, M. Fluidizing efficiency of comb-like superplasticizers: The effect of the anionic function, the side chain length and the grafting degree. Cem. Concr. Res. 2015, 71, 115–123. [Google Scholar] [CrossRef]
- Kong, X.; Shi, Z.; Lu, Z. Synthesis of novel polymer nano-particles and their interaction with cement. Constr. Build. Mater. 2014, 68, 434–443. [Google Scholar] [CrossRef]
- Lei, L.; Chan, H.-K. Investigation into the molecular design and plasticizing effectiveness of HPEG-based polycarboxylate superplasticizers in alkali-activated slag. Cem. Concr. Res. 2020, 136, 106150. [Google Scholar] [CrossRef]
- Chang, Q.; Hu, M.; Liu, M.; Pang, J.; Liu, G.; Guo, J. Preparation of a Polycarboxylate Superplasticizer with Different Monomer Regulations and Its Effect on Fluidity, Rheology, and Strength of Cement. Langmuir 2024, 40, 5673–5687. [Google Scholar] [CrossRef] [PubMed]
- Xu, Y.; Liu, X.; Jiang, M.; Lai, G.; Li, S.; Wang, Z.; Cui, S. Effect of competitive hydrolysis of diester in polycarboxylate superplasticizer on the fluidity of cement paste. Colloids Surf. A Physicochem. Eng. Asp. 2023, 671, 131691. [Google Scholar] [CrossRef]
- Plank, J.; Winter, C. Competitive adsorption between superplasticizer and retarder molecules on mineral binder surface. Cem. Concr. Res. 2008, 38, 599–605. [Google Scholar] [CrossRef]
- He, Y.; Zhang, X.; Kong, Y.; Wang, X.; Shui, L.; Wang, H. Influence of Polycarboxylate Superplasticizer on Rheological Behavior in Cement Paste. J. Wuhan Univ. Technol. Mater. Sci. Ed. 2018, 33, 932–937. [Google Scholar] [CrossRef]
- Lin, X.; Pang, H.; Wei, D.; Lu, M.; Liao, B. Effect of superplasticizers with different anchor groups on the properties of cementitious systems. Colloids Surf. A Physicochem. Eng. Asp. 2021, 630, 127207. [Google Scholar] [CrossRef]
- Gjerde, N.S.; Del Giudice, A.; Zhu, K.; Knudsen, K.D.; Galantini, L.; Schillén, K.; Nyström, B. Synthesis and Characterization of a Thermoresponsive Copolymer with an LCST–UCST-like Behavior and Exhibiting Crystallization. ACS Omega 2023, 8, 31145–31154. [Google Scholar] [CrossRef]
- Laloyaux, X.; Fautré, E.; Blin, T.; Purohit, V.; Leprince, J.; Jouenne, T.; Jonas, A.M.; Glinel, K. Temperature-Responsive Polymer Brushes Switching from Bactericidal to Cell-Repellent. Adv. Mater. 2010, 22, 5024–5028. [Google Scholar] [CrossRef]
- Zhu, Y.; Batchelor, R.; Lowe, A.B.; Roth, P.J. Design of Thermoresponsive Polymers with Aqueous LCST, UCST, or Both: Modification of a Reactive Poly(2-vinyl-4,4-dimethylazlactone) Scaffold. Macromolecules 2016, 49, 672–680. [Google Scholar] [CrossRef]
- Morimoto, N.; Yamamoto, M. Design of an LCST–UCST-Like Thermoresponsive Zwitterionic Copolymer. Langmuir 2021, 37, 3261–3269. [Google Scholar] [CrossRef]
- Li, Y.; Luo, J.; Xie, G.; Zhu, D.; Zhao, C.; Zhang, X.; Liu, M.; Wu, Y.; Guo, Y.; Yu, W. Recent Progress on Regulating the LCST of PNIPAM-Based Thermochromic Materials. ACS Appl. Polym. Mater. 2025, 7, 1–11. [Google Scholar] [CrossRef]
- Phunpee, S.; Ruktanonchai, U.R.; Chirachanchai, S. Tailoring a UCST-LCST-pH Multiresponsive Window through a Single Polymer Complex of Chitosan–Hyaluronic Acid. Biomacromolecules 2022, 23, 5361–5372. [Google Scholar] [CrossRef]
- Nan, Y.; Zhao, C.; Beaudoin, G.; Zhu, X.X. Synergistic Approaches in the Design and Applications of UCST Polymers. Macromol. Rapid Commun. 2023, 44, 2370058. [Google Scholar] [CrossRef]
- Seaf Elnaser, T.A.; Alotaibi, N.F.; Alruwaili, Y.H.; Gomaa, H.; Sharafeldin, H.; Cheira, M.F.; Abdelmonem, H.A.; Abdelrahman, M.S. Dialdehyde Chitosan/Semicarbazide Synthesis for Lanthanum, Cerium, and Neodymium Ions Recovery from Phosphate Leachate. ACS Appl. Polym. Mater. 2025, 7, 6348–6364. [Google Scholar] [CrossRef]
- Souza, S.D.; dos Santos, H.F.M.; Bonfim, L.F.; Squarisi, I.S.; Esperandim, T.; Marçal, L.; Tavares, D.C.; de Faria, E.H. Impact of Cationic and Neutral Clay Minerals’ Incorporation in Chitosan and Chitosan/PVA Microsphere Properties. ACS Appl. Mater. Interfaces 2025, 17, 21189–21205. [Google Scholar] [CrossRef]
- Butsele, K.V.; Stoffelbach, F.; Jérôme, R.; Jérôme, C. Synthesis of Novel Amphiphilic and pH-Sensitive ABC Miktoarm Star Terpolymers. Macromolecules 2006, 39, 5652–5656. [Google Scholar] [CrossRef]
- Partansky, A.M. A Study of Accelerators for Epoxy-Amine Condensation Reaction. Adv. Chem. 1970, 92, 29–47. [Google Scholar]
- GB/T 8077-2012; National Standard of the People’s Republic of China, Methods for testing uniformity of concrete admixture. Standards Press of China: Beijing, China, 2013.
- GB/T 50080-2016; National Standard of the People’s Republic of China, Standard for test method of performance on ordinary fresh concrete. China Architecture Publishing & Media Co., Ltd.: Beijing, China, 2017.
- GB/T 1346-2011; National Standard of the People’s Republic of China, Test methods for water requirement of normal consistency, setting time and soundness of the portland cements. Standards Press of China: Beijing, China, 2011.
- GB/T 50107-2010; National Standard of the People’s Republic of China, Standard for evaluation of concrete compressive strength. China Architecture Publishing & Media Co., Ltd.: Beijing, China, 2010.
- Lv, S.; Liu, J.; Zhou, Q.; Huang, L.; Sun, T. Synthesis of Modified Chitosan Superplasticizer by Amidation and Sulfonation and Its Application Performance and Working Mechanism. Ind. Eng. Chem. Res. 2014, 53, 3908–3916. [Google Scholar] [CrossRef]
- Das, S.; Ray, S.; Sarkar, S. Early strength development in concrete using preformed CSH nano crystals. Constr. Build. Mater. 2020, 233, 117214. [Google Scholar] [CrossRef]
- Alhaji, M.A.; Almustapha, T.; Nagande, U.; Muhammad, M.; Abass, A.I.; Adefemi, A. Effects of sugar as admixture on setting times and compressive strength of concrete. Dutse J. Pure Appl. Sci. 2025, 10, 139–147. [Google Scholar] [CrossRef]
- Bishop, M.; Barron, A.R. Cement Hydration Inhibition with Sucrose, Tartaric Acid, and Lignosulfonate: Analytical and Spectroscopic Study. Ind. Eng. Chem. Res. 2006, 45, 7042–7049. [Google Scholar] [CrossRef]







Disclaimer/Publisher’s Note: The statements, opinions and data contained in all publications are solely those of the individual author(s) and contributor(s) and not of MDPI and/or the editor(s). MDPI and/or the editor(s) disclaim responsibility for any injury to people or property resulting from any ideas, methods, instructions or products referred to in the content. |
© 2026 by the authors. Licensee MDPI, Basel, Switzerland. This article is an open access article distributed under the terms and conditions of the Creative Commons Attribution (CC BY) license.
Share and Cite
Quan, Z.; Zhan, H.; Ye, L.; Zhang, X.; Zhou, S.; Chen, H. Synthesis and Thermo-Responsive Performance of Chitosan-Based UCST-Type Superplasticizers for Cement Composites. Polysaccharides 2026, 7, 17. https://doi.org/10.3390/polysaccharides7010017
Quan Z, Zhan H, Ye L, Zhang X, Zhou S, Chen H. Synthesis and Thermo-Responsive Performance of Chitosan-Based UCST-Type Superplasticizers for Cement Composites. Polysaccharides. 2026; 7(1):17. https://doi.org/10.3390/polysaccharides7010017
Chicago/Turabian StyleQuan, Zhilong, Huijin Zhan, Lang Ye, Xiaoqing Zhang, Shuanghua Zhou, and Hongwei Chen. 2026. "Synthesis and Thermo-Responsive Performance of Chitosan-Based UCST-Type Superplasticizers for Cement Composites" Polysaccharides 7, no. 1: 17. https://doi.org/10.3390/polysaccharides7010017
APA StyleQuan, Z., Zhan, H., Ye, L., Zhang, X., Zhou, S., & Chen, H. (2026). Synthesis and Thermo-Responsive Performance of Chitosan-Based UCST-Type Superplasticizers for Cement Composites. Polysaccharides, 7(1), 17. https://doi.org/10.3390/polysaccharides7010017

