Impact of the Three-Dimensional Arrangements of Polyhydroxylated Crosslinkers on the Resulting Properties of Chitosan-Based Hydrogels
Abstract
1. Introduction
2. Materials and Methods
2.1. Materials
2.2. Preparation of Glucaric, Mannaric, and Mucic Acid Salts
2.2.1. Obtention of Glucaric Acid as Its Monopotassium Salt
2.2.2. Obtention of Mannaric Acid as Its Sodium Salt
2.2.3. Obtention of Disodium Galactarate
2.3. Preparation of Crosslinked Chitosans
2.3.1. General Procedure
2.3.2. Specific Details Involved in the Reaction of the Crosslinkers with Chitosan
- Chitosan/Glucaric acid derivative preparation (Ch/GlcA)
- Chitosan/mannaric acid derivative preparation (Ch/ManA)
- Chitosan/mucic acid derivative preparation (Ch/MucA)
2.4. Characterization Assays
2.4.1. Solubility Assays
2.4.2. Chemical Structural Analyses
2.4.3. Morphologic Studies
2.4.4. Determination of the Specific Surface Area
2.4.5. Thermogravimetric Analyses (TGA)
2.4.6. Hydrogel Characterization
- Oscillatory rheological experiments
- Swelling studies
- Differential scanning calorimetry (DSC) and fusion endotherms of water in hydrogels
2.5. Adsorption Studies
2.5.1. Influence of pH
2.5.2. Influence of Adsorbent Dosage
2.5.3. Kinetic Studies
2.5.4. Adsorption Isotherms
2.5.5. Regeneration and Reusability Studies
3. Results
3.1. Characterization of the Crosslinked Chitosans
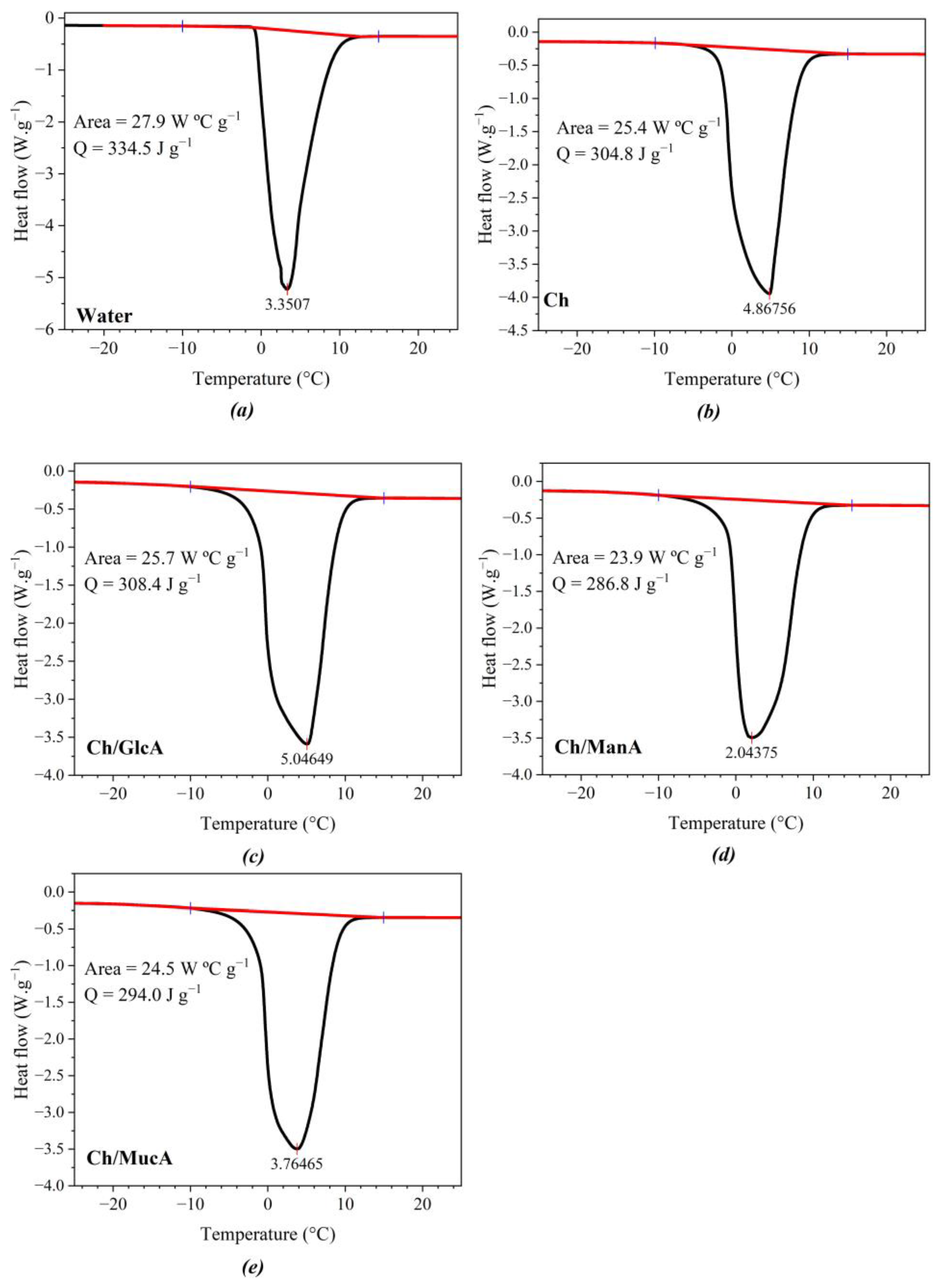
3.2. Hydrogel Characterization
3.3. Adsorption Studies
3.3.1. Effect of pH
3.3.2. Effect of Adsorbent Dosage
3.3.3. Kinetic Studies
3.3.4. Adsorption Isotherm
3.3.5. Regeneration and Reusability Studies
4. Conclusions
Supplementary Materials
Author Contributions
Funding
Institutional Review Board Statement
Data Availability Statement
Acknowledgments
Conflicts of Interest
References
- Hamed, I.; Özogul, F.; Regenstein, J.M. Industrial applications of crustacean by-products (chitin, chitosan, and chitooligosaccharides): A review. Trends Food Sci. Technol. 2016, 48, 40–50. [Google Scholar] [CrossRef]
- Yadav, M.; Goswami, P.; Paritosh, K.; Kumar, M.; Pareek, N.; Vivekanand, V. Seafood waste: A source for preparation of commercially employable chitin/chitosan materials. Bioresour. Bioprocess. 2019, 6, 8. [Google Scholar] [CrossRef]
- Rossi, E.; Ramírez, J.A.Á.; Errea, M.I. Preparation of an environmentally friendly lead adsorbent. A contribution to the rational design of heavy metal adsorbents. J. Environ. Chem. Eng. 2020, 8, 104210. [Google Scholar] [CrossRef]
- Rossi, E. Polímeros Modificados Químicamente como Agentes de Captura de Metales en Agua. Doctoral Thesis, Instituto Tecnológico de Buenos Aires (ITBA), Buenos Aires, Argentina, 2020. Available online: http://ri.itba.edu.ar/handle/123456789/2050 (accessed on 21 February 2024).
- Feng, W.; Wang, Z. Tailoring the Swelling-Shrinkable Behavior of Hydrogels for Biomedical Applications. Adv. Sci. 2023, 10, 2303326. [Google Scholar] [CrossRef] [PubMed]
- Cheung, R.C.F.; Ng, T.B.; Wong, J.H.; Chan, W.Y. Chitosan: An Update on Potential Biomedical and Pharmaceutical Applications. Mar. Drugs 2015, 13, 5156–5186. [Google Scholar] [CrossRef] [PubMed]
- Sagdic, K.; Fernández-Lavado, E.; Mariello, M.; Akouissi, O.; Lacour, S.P. Hydrogels and conductive hydrogels for implantable bioelectronics. MRS Bull. 2023, 48, 495–505. [Google Scholar] [CrossRef]
- Hamedi, H.; Moradi, S.; Hudson, S.M.; Tonelli, A.E. Chitosan based hydrogels and their applications for drug delivery in wound dressings: A review. Carbohydr. Polym. 2018, 199, 445–460. [Google Scholar] [CrossRef]
- Zhao, Y.; Song, S.; Ren, X.; Zhang, J.; Lin, Q.; Zhao, Y. Supramolecular Adhesive Hydrogels for Tissue Engineering Applications. Chem. Rev. 2022, 122, 5604–5640. [Google Scholar] [CrossRef] [PubMed]
- Pita-López, M.L.; Fletes-Vargas, G.; Espinosa-Andrews, H.; Rodríguez-Rodríguez, R. Physically cross-linked chitosan-based hydrogels for tissue engineering applications: A state-of-the-art review. Eur. Polym. J. 2021, 145, 110176. [Google Scholar] [CrossRef]
- Vigata, M.; Meinert, C.; Hutmacher, D.W.; Bock, N. Hydrogels as Drug Delivery Systems: A Review of Current Characterization and Evaluation Techniques. Pharmaceutics 2020, 12, 1188. [Google Scholar] [CrossRef]
- Lu, J.; Chen, Y.; Ding, M.; Fan, X.; Hu, J.; Chen, Y.; Li, J.; Li, Z.; Liu, W. A 4arm-PEG macromolecule crosslinked chitosan hydrogels as antibacterial wound dressing. Carbohydr. Polym. 2022, 277, 118871. [Google Scholar] [CrossRef] [PubMed]
- Oladosu, Y.; Rafii, M.Y.; Arolu, F.; Chukwu, S.C.; Salisu, M.A.; Fagbohun, I.K.; Muftaudeen, T.K.; Swaray, S.; Haliru, B.S. Superabsorbent Polymer Hydrogels for Sustainable Agriculture: A Review. Horticulturae 2022, 8, 605. [Google Scholar] [CrossRef]
- Amiri, S.; Nezamdoost-Sani, N.; Mostashari, P.; McClements, D.J.; Marszałek, K.; Mousavi Khaneghah, A. Effect of the molecular structure and mechanical properties of plant-based hydrogels in food systems to deliver probiotics: An updated review. Crit. Rev. Food Sci. Nutr. 2024, 64, 2130–2156. [Google Scholar] [CrossRef] [PubMed]
- Saqib, M.N.; Khaled, B.M.; Liu, F.; Zhong, F. Hydrogel beads for designing future foods: Structures, mechanisms, applications, and challenges. Food Hydrocoll. Health 2022, 2, 100073. [Google Scholar] [CrossRef]
- Mehltretter, C.L.; Rist, C.E. Sugar Oxidation, Saccharic and Oxalic Acids by the Nitric Acid Oxidation of Dextrose. J. Agric. Food Chem. 1953, 1, 779–783. [Google Scholar] [CrossRef]
- Armstrong, R.D.; Kariuki, B.M.; Knight, D.W.; Hutchings, G.J. How to Synthesise High Purity, Crystalline d-Glucaric Acid Selectively. Eur. J. Org. Chem. 2017, 2017, 6811–6814. [Google Scholar] [CrossRef] [PubMed]
- Ohnuki, T.; Ueda, M.; Yamamura, S. Molecular mechanism of the control of nyctinastic leaf-movement in Lespedeza cuneata G. Don. Tetrahedron 1998, 54, 12173–12184. [Google Scholar] [CrossRef]
- Haworth, W.N.; Heslop, D.; Salt, E.; Smith, F. 56. Lactones of mannosaccharic acid. Part I. 2 : 5-Dimethyl Δ4-mannosaccharo-3 : 6-lactone 1-methyl ester, an analogue of ascorbic acid. J. Chem. Soc. 1944, 217–224. [Google Scholar] [CrossRef]
- Carpenter, C.A.; Hardcastle, K.I.; Kiely, D.E. Modifications in the nitric acid oxidation of d-mannose: X-ray crystal structure of N,N′-dimethyl d-mannaramide. Carbohydr. Res. 2013, 376, 29–36. [Google Scholar] [CrossRef]
- Kasaai, M.R. Various Methods for Determination of the Degree of N-Acetylation of Chitin and Chitosan: A Review. J. Agric. Food Chem. 2009, 57, 1667–1676. [Google Scholar] [CrossRef]
- Younes, I.; Rinaudo, M. Chitin and Chitosan Preparation from Marine Sources. Structure, Properties and Applications. Mar. Drugs 2015, 13, 1133–1174. [Google Scholar] [CrossRef] [PubMed]
- Pathak, V.; Ambrose, R.P.K. Starch-based biodegradable hydrogel as seed coating for corn to improve early growth under water shortage. J. Appl. Polym. Sci. 2020, 137, 48523. [Google Scholar] [CrossRef]
- Kim, S.J.; Lee, C.K.; Kim, S.I. Characterization of the water state of hyaluronic acid and poly(vinyl alcohol) interpenetrating polymer networks. J. Appl. Polym. Sci. 2004, 92, 1467–1472. [Google Scholar] [CrossRef]
- Yang, P.; Mather, P.T. Thermal Analysis to Determine Various Forms of Water Present in Hydrogels. Available online: https://www.tainstruments.com/pdf/literature/TA384.pdf (accessed on 21 February 2024).
- Kumirska, J.; Czerwicka, M.; Kaczyński, Z.; Bychowska, A.; Brzozowski, K.; Thöming, J.; Stepnowski, P. Application of Spectroscopic Methods for Structural Analysis of Chitin and Chitosan. Mar. Drugs 2010, 8, 1567–1636. [Google Scholar] [CrossRef]
- Liu, J.; Liu, S.; Chen, Y.; Zhang, L.; Kan, J.; Jin, C. Physical, mechanical and antioxidant properties of chitosan films grafted with different hydroxybenzoic acids. Food Hydrocoll. 2017, 71, 176–186. [Google Scholar] [CrossRef]
- Kou, S.; Peters, L.; Mucalo, M. Chitosan: A review of molecular structure, bioactivities and interactions with the human body and micro-organisms. Carbohydr. Polym. 2022, 282, 119132. [Google Scholar] [CrossRef] [PubMed]
- Lago, A.; Delgado, J.F.; Rezzani, G.D.; Cottet, C.; Ramírez Tapias, Y.A.; Peltzer, M.A.; Salvay, A.G. Multi-Component Biodegradable Materials Based on Water Kefir Grains and Yeast Biomasses: Effect of the Mixing Ratio on the Properties of the Films. Polymers 2023, 15, 2594. [Google Scholar] [CrossRef]
- Hong, P.-Z.; Li, S.-D.; Ou, C.-Y.; Li, C.-P.; Yang, L.; Zhang, C.-H. Thermogravimetric analysis of chitosan. J. Appl. Polym. Sci. 2007, 105, 547–551. [Google Scholar] [CrossRef]
- Corazzari, I.; Nisticò, R.; Turci, F.; Faga, M.G.; Franzoso, F.; Tabasso, S.; Magnacca, G. Advanced physico-chemical characterization of chitosan by means of TGA coupled on-line with FTIR and GCMS: Thermal degradation and water adsorption capacity. Polym. Degrad. Stab. 2015, 112, 1–9. [Google Scholar] [CrossRef]
- Ou, K.; Dong, X.; Qin, C.; Ji, X.; He, J. Properties and toughening mechanisms of PVA/PAM double-network hydrogels prepared by freeze-thawing and anneal-swelling. Mater. Sci. Eng. C 2017, 77, 1017–1026. [Google Scholar] [CrossRef]
- Massarelli, E.; Silva, D.; Pimenta, A.F.R.; Fernandes, A.I.; Mata, J.L.G.; Armês, H.; Salema-Oom, M.; Saramago, B.; Serro, A.P. Polyvinyl alcohol/chitosan wound dressings loaded with antiseptics. Int. J. Pharm. 2021, 593, 120110. [Google Scholar] [CrossRef] [PubMed]
- Hu, M.; Yang, J.; Xu, J. Structural and biological investigation of chitosan/hyaluronic acid with silanized-hydroxypropyl methylcellulose as an injectable reinforced interpenetrating network hydrogel for cartilage tissue engineering. Drug Deliv. 2021, 28, 607–619. [Google Scholar] [CrossRef]
- Taghizadeh, S.M.; Davari, G. Preparation, characterization, and swelling behavior of N-acetylated and deacetylated chitosans. Carbohydr. Polym. 2006, 64, 9–15. [Google Scholar] [CrossRef]
- Yazdani-Pedram, M.; Retuert, J.; Quijada, R. Hydrogels based on modified chitosan, 1. Synthesis and swelling behavior of poly(acrylic acid) grafted chitosan. Macromol. Chem. Phys. 2000, 201, 923–930. [Google Scholar] [CrossRef]
- Rohindra, D.R.; Nand, A.V.; Khurma, J.R. Swelling properties of chitosan hydrogels. S. Pac. J. Nat. Appl. Sci. 2004, 22, 32–35. [Google Scholar] [CrossRef]
- Baskar, D.; Sampath Kumar, T.S. Effect of deacetylation time on the preparation, properties and swelling behavior of chitosan films. Carbohydr. Polym. 2009, 78, 767–772. [Google Scholar] [CrossRef]
- Errea, M.I.; Rossi, E.; Goyanes, S.N.; D’Accorso, N.B. Chitosan: From Organic Pollutants to High-Value Polymeric Materials. In Industrial Applications of Renewable Biomass Products: Past, Present and Future; Goyanes, S.N., D’Accorso, N.B., Eds.; Springer International Publishing: Cham, Switzerland, 2017; pp. 251–264. [Google Scholar]
- Díaz Bukvic, G.; Rossi, E.; Errea, M.I. Polysaccharides as Economic and Sustainable Raw Materials for the Preparation of Adsorbents for Water Treatment. Polysaccharides 2023, 4, 219–255. [Google Scholar] [CrossRef]
- Bonilla-Petriciolet, A.; Mendoza-Castillo, D.I.; Reynel-Ávila, H.E. Adsorption Processes for Water Treatment and Purification; Springer: Cham, Switzerland, 2017; Volume 256. [Google Scholar]
- Arencibia, A.; López-Gutiérrez, M.S.; Arsuaga, J.M. Efficient aqueous As(III) removal by adsorption on thiol-functionalized mesoporous silica. J. Chem. Technol. Biotechnol. 2020, 95, 1883–1891. [Google Scholar] [CrossRef]
- Heydari Moghaddam, M.; Nabizadeh, R.; Dehghani, M.H.; Akbarpour, B.; Azari, A.; Yousefi, M. Performance investigation of Zeolitic Imidazolate Framework—8 (ZIF-8) in the removal of trichloroethylene from aqueous solutions. Microchem. J. 2019, 150, 104185. [Google Scholar] [CrossRef]
- Sharifi, S.; Nabizadeh, R.; Akbarpour, B.; Azari, A.; Ghaffari, H.R.; Nazmara, S.; Mahmoudi, B.; Shiri, L.; Yousefi, M. Modeling and optimizing parameters affecting hexavalent chromium adsorption from aqueous solutions using Ti-XAD7 nanocomposite: RSM-CCD approach, kinetic, and isotherm studies. J. Environ. Health Sci. Eng. 2019, 17, 873–888. [Google Scholar] [CrossRef]
- Rossi, E.; Montoya Rojo, Ú.; Cerrutti, P.; Foresti, M.L.; Errea, M.I. Carboxymethylated bacterial cellulose: An environmentally friendly adsorbent for lead removal from water. J. Environ. Chem. Eng. 2018, 6, 6844–6852. [Google Scholar] [CrossRef]
- Vasiliu, S.; Bunia, I.; Racovita, S.; Neagu, V. Adsorption of cefotaxime sodium salt on polymer coated ion exchange resin microparticles: Kinetics, equilibrium and thermodynamic studies. Carbohydr. Polym. 2011, 85, 376–387. [Google Scholar] [CrossRef]
- Dolphen, R.; Sakkayawong, N.; Thiravetyan, P.; Nakbanpote, W. Adsorption of Reactive Red 141 from wastewater onto modified chitin. J. Hazard. Mater. 2007, 145, 250–255. [Google Scholar] [CrossRef] [PubMed]
- Inyinbor, A.A.; Adekola, F.A.; Olatunji, G.A. Kinetics, isotherms and thermodynamic modeling of liquid phase adsorption of Rhodamine B dye onto Raphia hookerie fruit epicarp. Water Resour. Ind. 2016, 15, 14–27. [Google Scholar] [CrossRef]















| [%] ± SD | ||||
|---|---|---|---|---|
| Ch | 30.0 ± 1.3 | 70.0 ± 1.3 | - | - |
| Ch/GlcA | 30.0 ± 1.3 | 21.2 ± 4.9 | 31.8 ± 3.1 | 17.1 ± 4.8 |
| Ch/ManA | 30.0 ± 1.3 | 24.7 ± 3.9 | 28.1 ± 3.8 | 17.3 ± 3.6 |
| Ch/MucA | 30.0 ± 1.3 | 17.7 ± 3.7 | 36.2 ± 3.5 | 16.1 ± 4.1 |
| BET Surface Area [m2 g−1] | |
|---|---|
| Ch | 1.25 ± 0.03 |
| Ch/GlcA | 1.35 ± 0.03 |
| Ch/ManA | 1.33 ± 0.03 |
| Ch/MucA | 1.35 ± 0.03 |
| Samples | Swelling [g H2O g−1 Dry Sample] | W [%] | Qendo (J/g) | Qendo/Qice | Non-Freezable Water | Freezable Water | ||
|---|---|---|---|---|---|---|---|---|
| Wnf (%) | g H2O g−1 Dry Sample | Wf (%) | g H2O g−1 Dry Sample | |||||
| Ch/GlcA | 52 ± 3 | 98.1 ± 0.1 | 308 ± 3 | 0.92 ± 0.01 | 6 ± 1 | 3 ± 1 | 92 ± 1 | 49 ± 1 |
| Ch/ManA | 38 ± 3 | 97.4 ± 0.2 | 287 ± 3 | 0.86 ± 0.01 | 11 ± 1 | 4 ± 1 | 86 ± 1 | 33 ± 1 |
| Ch/MucA | 41 ± 3 | 97.6 ± 0.2 | 294 ± 3 | 0.88 ± 0.01 | 10 ± 1 | 4 ± 1 | 88 ± 1 | 37 ± 1 |
| Ch | 24 ± 3 | 96.1 ± 0.4 | 305 ± 3 | 0.91 ± 0.01 | 5 ± 1 | 1 ± 1 | 91 ± 1 | 23 ± 1 |
| Model | Parameters | Ch | Ch/GlcA | Ch/ManA | Ch/MucA |
|---|---|---|---|---|---|
| Pseudo-first-order model | k1 [min−1] | 0.011 ± 0.003 | 0.343 ± 0.023 | 0.393 ± 0.022 | 0.395 ± 0.045 |
| qe [mg g−1] | 18.7 ± 2.0 | 82.1 ± 0.5 | 90.9 ± 0.4 | 79.1 ± 0.8 | |
| Radj2 | 0.8632 | 0.9951 | 0.9970 | 0.9891 | |
| RMSE | 42.7 | 1.6 | 1.4 | 2.4 | |
| AIC | 24.3 | 18.9 | 14.3 | 27.6 | |
| Pseudo-second-order model | k2 [g mg−1 min−1] | 6.6·10−4 ± 2.5·10−4 | 0.012 ± 0.001 | 0.013 ± 0.002 | 0.013 ± 0.002 |
| qe [mg g−1] | 20.4 ± 2.3 | 83.9 ± 0.6 | 93.0 ± 0.4 | 81.3 ± 0.6 | |
| Radj2 | 0.8594 | 0.9966 | 0.9986 | 0.9960 | |
| RMSE | 43.9 | 1.4 | 1.4 | 1.4 | |
| AIC | 24.6 | 14.3 | 6.7 | 15.6 |
| Adsorption Isotherm Model | Adsorbent | ||||
|---|---|---|---|---|---|
| Equation | Parameters | Ch | Ch/GlcA | Ch/ManA | Ch/MucA |
| Langmuir | qmax [mg g−1] | 18.2 ± 5.3 | 82.9 ± 0.9 | 93.8 ± 1.3 | 79.2 ± 1.4 |
| kL [L mg−1] | 0.659 ± 2.438 | 18.0 ± 1.14 | 7.08 ± 0.49 | 37.72 ± 3.80 | |
| Radj2 | 0.2929 | 0.9975 | 0.9966 | 0.9941 | |
| RMSE | 8.6 | 1.7 | 2.1 | 2.4 | |
| AIC | 41.8 | 18.7 | 22.1 | 23.9 | |
| Freundlich | kFre [mg g−1 (mg L−1)−1/n] | 15 ± 12 | 60.2 ± 5.0 | 63.7 ± 5.8 | 60.4 ± 5.0 |
| n | 0.036 ± 0.211 | 0.102 ± 0.026 | 0.128 ± 0.032 | 0.084 ± 0.024 | |
| Radj2 | 0.2794 | 0.8890 | 0.8767 | 0.8692 | |
| RMSE | 8.7 | 11.0 | 12.8 | 11.3 | |
| AIC | 41.9 | 45.2 | 47.4 | 45.6 | |
| Dubinin–Radushkevich | qD-R [mg g−1] | 18.4 ± 4.2 | 83.0 ± 1.2 | 91.6 ± 1.7 | 80.0 ± 1.8 |
| kD-R [mol2 J−2] | 0.009 ± 0.017 | 3.4·10−5 ± 1.9·10−6 | 6.3·10−5 ± 4.3·10−6 | 2.1·10−5 ± 1.9·10−6 | |
| E [J mol−1] | 7.5 | 121.3 | 89.1 | 154.3 | |
| Radj2 | 0.4399 | 0.9954 | 0.9933 | 0.9890 | |
| RMSE | 8.4 | 2.2 | 3.0 | 3.3 | |
| AIC | 41.4 | 22.8 | 27.0 | 28.3 | |
| Frumkin | a [g mg−1 min−1] | 4.06 ± 0.71 | 3.3 ± 9.4 | 2.8 ± 4.4 | 2.9 ± 5.0 |
| KFru [mg g−1] | 0.001 ± 0.79 | 0.038 ± 0.70 | 0.068 ± 0.56 | 0.041 ± 0.40 | |
| Radj2 | −0.2108 | −0.2709 | 0.6569 | 0.5857 | |
| RMSE | 44.9 | 22.8 | 8.9 | 14.3 | |
| AIC | 64.9 | 55.4 | 42.2 | 48.9 | |
Disclaimer/Publisher’s Note: The statements, opinions and data contained in all publications are solely those of the individual author(s) and contributor(s) and not of MDPI and/or the editor(s). MDPI and/or the editor(s) disclaim responsibility for any injury to people or property resulting from any ideas, methods, instructions or products referred to in the content. |
© 2024 by the authors. Licensee MDPI, Basel, Switzerland. This article is an open access article distributed under the terms and conditions of the Creative Commons Attribution (CC BY) license (https://creativecommons.org/licenses/by/4.0/).
Share and Cite
Díaz Bukvic, G.; Ojeda Henriquez, M.; Rodríguez Vannini, A.B.; Fidalgo, M.M.; Salvay, A.G.; Rossi, E.; Errea, M.I. Impact of the Three-Dimensional Arrangements of Polyhydroxylated Crosslinkers on the Resulting Properties of Chitosan-Based Hydrogels. Polysaccharides 2024, 5, 358-379. https://doi.org/10.3390/polysaccharides5030023
Díaz Bukvic G, Ojeda Henriquez M, Rodríguez Vannini AB, Fidalgo MM, Salvay AG, Rossi E, Errea MI. Impact of the Three-Dimensional Arrangements of Polyhydroxylated Crosslinkers on the Resulting Properties of Chitosan-Based Hydrogels. Polysaccharides. 2024; 5(3):358-379. https://doi.org/10.3390/polysaccharides5030023
Chicago/Turabian StyleDíaz Bukvic, Gema, Martin Ojeda Henriquez, Agustín Brandon Rodríguez Vannini, María Marta Fidalgo, Andrés Gerardo Salvay, Ezequiel Rossi, and María Inés Errea. 2024. "Impact of the Three-Dimensional Arrangements of Polyhydroxylated Crosslinkers on the Resulting Properties of Chitosan-Based Hydrogels" Polysaccharides 5, no. 3: 358-379. https://doi.org/10.3390/polysaccharides5030023
APA StyleDíaz Bukvic, G., Ojeda Henriquez, M., Rodríguez Vannini, A. B., Fidalgo, M. M., Salvay, A. G., Rossi, E., & Errea, M. I. (2024). Impact of the Three-Dimensional Arrangements of Polyhydroxylated Crosslinkers on the Resulting Properties of Chitosan-Based Hydrogels. Polysaccharides, 5(3), 358-379. https://doi.org/10.3390/polysaccharides5030023

