Polysaccharides as Economic and Sustainable Raw Materials for the Preparation of Adsorbents for Water Treatment
Abstract
:1. Introduction
2. Polysaccharides Involved in Water Remediation
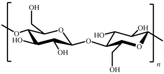
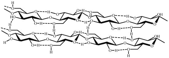
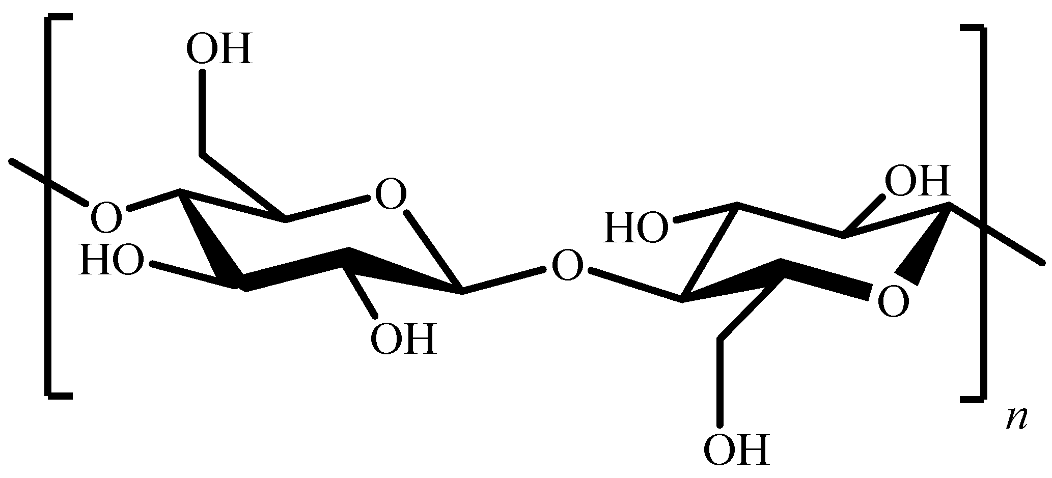
2.1. Cellulose
- Polymerization in the presence of adequate monomers (grafting).
- Reactions of the hydroxyl groups with compounds possessing the functionalization needed according to the final application.
2.2. Alginate
2.3. Chitosan
2.4. Starch
3. Discussion
4. Conclusions
Author Contributions
Funding
Acknowledgments
Conflicts of Interest
References
- Khilchevskyi, V.K.; Oliinyk, Y.B.; Zatserkovnyi, V.I. Global problems of water resources scarcity. In Proceedings of the XIV International Scientific Conference “Monitoring of Geological Processes and Ecological Condition of the Environment”, Kyiv, Ukraine, 10 November 2020; pp. 1–5. [Google Scholar]
- UNESCO World Water Assessment Programme. The United Nations World Water Development Report 2021: Valuing Water. Available online: https://www.unesco.org/reports/wwdr/2021/en/download-report (accessed on 30 June 2023).
- Simonovic, S.P. World water dynamics: Global modeling of water resources. J. Environ. Manag. 2002, 66, 249–267. [Google Scholar] [CrossRef]
- Kumar, V.; Kumar, S.; Américo-Pinheiro, J.H.P.; Vinthange, M.; Sher, F. Editorial: Emerging approaches for sustainable management for wastewater. Front. Environ. Sci. 2023, 10, 1122659. [Google Scholar] [CrossRef]
- Skouteris, G.; Rodriguez-Garcia, G.; Reinecke, S.F.; Hampel, U. The use of pure oxygen for aeration in aerobic wastewater treatment: A review of its potential and limitations. Bioresour. Technol. 2020, 312, 123595. [Google Scholar] [CrossRef] [PubMed]
- Cescon, A.; Jiang, J.-Q. Filtration process and alternative filter media material in water treatment. Water 2020, 12, 3377. [Google Scholar] [CrossRef]
- Hube, S.; Eskafi, M.; Hrafnkelsdóttir, K.F.; Bjarnadóttir, B.; Bjarnadóttir, M.Á.; Axelsdóttir, S.; Wu, B. Direct membrane filtration for wastewater treatment and resource recovery: A review. Sci. Total Environ. 2020, 710, 136375. [Google Scholar] [CrossRef]
- Ding, H.; Zhang, J.; He, H.; Zhu, Y.; Dionysiou, D.D.; Liu, Z.; Zhao, C. Do membrane filtration systems in drinking water treatment plants release nano/microplastics? Sci. Total Environ. 2021, 755, 142658. [Google Scholar] [CrossRef]
- Chang, L.; Cao, Y.; Fan, G.; Li, C.; Peng, W. A review of the applications of ion floatation: Wastewater treatment, mineral beneficiation and hydrometallurgy. RSC Adv. 2019, 9, 20226–20239. [Google Scholar] [CrossRef]
- Roy, A.; Thakur, B.; Debsarkar, A. Water Pollution and Treatment Technologies. In Environmental Management: Issues and Concerns in Developing Countries; Sikdar, P.K., Ed.; Springer International Publishing: Cham, Switzerland, 2021; pp. 79–106. [Google Scholar]
- Kyzas, G.Z.; Matis, K.A. Flotation in Water and Wastewater Treatment. Processes 2018, 6, 116. [Google Scholar] [CrossRef]
- Cui, H.; Huang, X.; Yu, Z.; Chen, P.; Cao, X. Application progress of enhanced coagulation in water treatment. RSC Adv. 2020, 10, 20231–20244. [Google Scholar] [CrossRef]
- Zhao, C.; Zhou, J.; Yan, Y.; Yang, L.; Xing, G.; Li, H.; Wu, P.; Wang, M.; Zheng, H. Application of coagulation/flocculation in oily wastewater treatment: A review. Sci. Total Environ. 2021, 765, 142795. [Google Scholar] [CrossRef]
- Sillanpää, M.; Ncibi, M.C.; Matilainen, A.; Vepsäläinen, M. Removal of natural organic matter in drinking water treatment by coagulation: A comprehensive review. Chemosphere 2018, 190, 54–71. [Google Scholar] [CrossRef] [PubMed]
- Jumadi, J.; Kamari, A.; Hargreaves, J.S.J.; Yusof, N. A review of nano-based materials used as flocculants for water treatment. Int. J. Environ. Sci. Technol. 2020, 17, 3571–3594. [Google Scholar] [CrossRef]
- Sookhak Lari, K.; Rayner, J.L.; Davis, G.B. Towards characterizing LNAPL remediation endpoints. J. Environ. Manag. 2018, 224, 97–105. [Google Scholar] [CrossRef]
- Worthington, M.J.H.; Shearer, C.J.; Esdaile, L.J.; Campbell, J.A.; Gibson, C.T.; Legg, S.K.; Yin, Y.; Lundquist, N.A.; Gascooke, J.R.; Albuquerque, I.S.; et al. Sustainable polysulfides for oil spill remediation: Repurposing industrial waste for environmental benefit. Adv. Sustain. Syst. 2018, 2, 1800024. [Google Scholar] [CrossRef]
- Rachmadi, A.T.; Kitajima, M.; Kato, T.; Kato, H.; Okabe, S.; Sano, D. Required Chlorination Doses to Fulfill the Credit Value for Disinfection of Enteric Viruses in Water: A Critical Review. Environ. Sci. Technol. 2020, 54, 2068–2077. [Google Scholar] [CrossRef]
- Mazhar, M.A.; Khan, N.A.; Ahmed, S.; Khan, A.H.; Hussain, A.; Rahisuddin; Changani, F.; Yousefi, M.; Ahmadi, S.; Vambol, V. Chlorination disinfection by-products in municipal drinking water—A review. J. Clean. Prod. 2020, 273, 123159. [Google Scholar] [CrossRef]
- Cimadoro, J.; Ribba, L.; Ledesma, S.; Goyanes, S. Electrospun mats: From white to transparent with a drop. Macromol. Mater. Eng. 2018, 303, 1800237. [Google Scholar] [CrossRef]
- Pereira, P.P.; Fernandez, M.; Cimadoro, J.; González, P.S.; Morales, G.M.; Goyanes, S.; Agostini, E. Biohybrid membranes for effective bacterial vehiculation and simultaneous removal of hexavalent chromium (Cr VI) and phenol. Appl. Microbiol. Biotechnol. 2021, 105, 827–838. [Google Scholar] [CrossRef]
- Cimadoro, J.; Goyanes, S. Reversible swelling as a strategy in the development of smart membranes from electrospun polyvinyl alcohol nanofiber mats. J. Polym. Sci. 2020, 58, 737–746. [Google Scholar] [CrossRef]
- Wei, C.; Zhang, F.; Hu, Y.; Feng, C.; Wu, H. Ozonation in water treatment: The generation, basic properties of ozone and its practical application. Rev. Chem. Eng. 2017, 33, 49–89. [Google Scholar] [CrossRef]
- Giuliani, L.; De Angelis, L.; Diaz Bukvic, G.; Zanini, M.; Minotti, F.; Errea, M.I.; Grondona, D. Trielectrode plasma reactor for water treatment. J. Appl. Phys. 2020, 127, 223303. [Google Scholar] [CrossRef]
- Bermúdez, L.A.; Pascual, J.M.; Martínez, M.d.M.M.; Poyatos Capilla, J.M. Effectiveness of advanced oxidation processes in wastewater treatment: State of the art. Water 2021, 13, 2094. [Google Scholar] [CrossRef]
- Abdullah, N.H.S.; Karsiti, M.N.; Ibrahim, R. A review of pH neutralization process control. In Proceedings of the 2012 4th International Conference on Intelligent and Advanced Systems (ICIAS2012), Kuala Lumpur, Malaysia, 12–14 June 2012; pp. 594–598. [Google Scholar]
- Picón, D.; Torasso, N.; Baudrit, J.R.V.; Cerveny, S.; Goyanes, S. Bio-inspired membranes for adsorption of arsenic via immobilized L-Cysteine in highly hydrophilic electrospun nanofibers. Chem. Eng. Res. Des. 2022, 185, 108–118. [Google Scholar] [CrossRef]
- Saleh, T.A.; Mustaqeem, M.; Khaled, M. Water treatment technologies in removing heavy metal ions from wastewater: A review. Environ. Nanotechnol. Monit. Manag. 2022, 17, 100617. [Google Scholar] [CrossRef]
- Fu, Z.-J.; Jiang, S.-K.; Chao, X.-Y.; Zhang, C.-X.; Shi, Q.; Wang, Z.-Y.; Liu, M.-L.; Sun, S.-P. Removing miscellaneous heavy metals by all-in-one ion exchange-nanofiltration membrane. Water Res. 2022, 222, 118888. [Google Scholar] [CrossRef]
- Tran, T.V.; Nguyen, D.T.C.; Nguyen, T.T.T.; Nguyen, D.H.; Alhassan, M.; Jalil, A.A.; Nabgan, W.; Lee, T. A critical review on pineapple (Ananas comosus) wastes for water treatment, challenges and future prospects towards circular economy. Sci. Total Environ. 2023, 856, 158817. [Google Scholar] [CrossRef]
- Huang, X.; Hadi, P.; Joshi, R.; Alhamzani, A.G.; Hsiao, B.S. A Comparative Study of Mechanism and Performance of Anionic and Cationic Dialdehyde Nanocelluloses for Dye Adsorption and Separation. ACS Omega 2023, 8, 8634–8649. [Google Scholar] [CrossRef]
- Kennedy, K.K.; Maseka, K.J.; Mbulo, M. Selected adsorbents for removal of contaminants from wastewater: Towards engineering clay minerals. Open J. Appl. Sci. 2018, 8, 355–369. [Google Scholar] [CrossRef]
- Bonilla-Petriciolet, A.; Mendoza-Castillo, D.I.; Reynel-Ávila, H.E. Adsorption Processes for Water Treatment and Purification; Springer: Cham, Switzerland, 2017; Volume 256. [Google Scholar]
- Rossi, E.; Ramírez, J.A.Á.; Errea, M.I. Preparation of an environmentally friendly lead adsorbent. A contribution to the rational design of heavy metal adsorbents. J. Environ. Chem. Eng. 2020, 8, 104210. [Google Scholar] [CrossRef]
- Atkins, P.W.; De Paula, J. Atkins’ Physical Chemistry; Oxford University Press: Oxford, UK, 2014. [Google Scholar]
- Dinh, V.-P.; Le, N.-C.; Tuyen, L.A.; Hung, N.Q.; Nguyen, V.-D.; Nguyen, N.-T. Insight into adsorption mechanism of lead(II) from aqueous solution by chitosan loaded MnO2 nanoparticles. Mater. Chem. Phys. 2018, 207, 294–302. [Google Scholar] [CrossRef]
- Errea, M.I.; Rossi, E.; Goyanes, S.N.; D’Accorso, N.B. Chitosan: From organic pollutants to high-value polymeric materials. In Industrial Applications of Renewable Biomass Products; Springer International Publishing: Cham, Switzerland, 2017; pp. 251–264. [Google Scholar]
- Rossi, E.; Montoya Rojo, Ú.; Cerrutti, P.; Foresti, M.L.; Errea, M.I. Carboxymethylated bacterial cellulose: An environmentally friendly adsorbent for lead removal from water. J. Environ. Chem. Eng. 2018, 6, 6844–6852. [Google Scholar] [CrossRef]
- Dambies, L.; Salinaro, R.; Alexandratos, S.D. Immobilized N-Methyl-d-glucamine as an Arsenate-Selective Resin. Environ. Sci. Technol. 2004, 38, 6139–6146. [Google Scholar] [CrossRef]
- Crini, G.; Lichtfouse, E.; Wilson, L.D.; Morin-Crini, N. Conventional and non-conventional adsorbents for wastewater treatment. Environ. Chem. Lett. 2019, 17, 195–213. [Google Scholar] [CrossRef]
- Pennells, J.; Godwin, I.D.; Amiralian, N.; Martin, D.J. Trends in the production of cellulose nanofibers from non-wood sources. Cellulose 2020, 27, 575–593. [Google Scholar] [CrossRef]
- Heinze, T.; El Seoud, O.A.; Koschella, A. Production and Characteristics of Cellulose from Different Sources. In Cellulose Derivatives: Synthesis, Structure, and Properties; Heinze, T., El Seoud, O.A., Koschella, A., Eds.; Springer International Publishing: Cham, Switzerland, 2018; pp. 1–38. [Google Scholar]
- Rossi, E.; Salvay, A.G.; Errea, M.I.; Foresti, M.L. Dried water-redispersible bacterial nanocellulose with sorbitol as capping agent. Food Hydrocoll. 2023, 143, 108916. [Google Scholar] [CrossRef]
- Bovi, J.; Butto, M.; Arroyo, S.; Bernal, C.; Foresti, M.L. Bacterial Cellulose nanofibrils from a By-Product of the Growing Kombucha Business: Obtention and Use in the Development of Poly (Lactic Acid) Composites. Lat. Am. Appl. Res. 2023; in press. [Google Scholar]
- Dima, S.-O.; Panaitescu, D.-M.; Orban, C.; Ghiurea, M.; Doncea, S.-M.; Fierascu, R.C.; Nistor, C.L.; Alexandrescu, E.; Nicolae, C.-A.; Trică, B.; et al. Bacterial Nanocellulose from Side-Streams of Kombucha Beverages Production: Preparation and Physical-Chemical Properties. Polymers 2017, 9, 374. [Google Scholar] [CrossRef]
- Gupta, V.K.; Carrott, P.J.M.; Singh, R.; Chaudhary, M.; Kushwaha, S. Cellulose: A review as natural, modified and activated carbon adsorbent. Bioresour. Technol. 2016, 216, 1066–1076. [Google Scholar] [CrossRef]
- Hokkanen, S.; Bhatnagar, A.; Sillanpää, M. A review on modification methods to cellulose-based adsorbents to improve adsorption capacity. Water Res. 2016, 91, 156–173. [Google Scholar] [CrossRef]
- Marimuthu, T.; Chee, C.Y.; Sulaiman, N.M.N. A review on the use of cellulose nanomaterials for wastewater remediation of heavy metal ions. Int. J. Environ. Sci. Technol. 2023, 20, 3421–3436. [Google Scholar] [CrossRef]
- He, Z.; Song, H.; Cui, Y.; Zhu, W.; Du, K.; Yao, S. Porous Spherical Cellulose Carrier Modified with Polyethyleneimine and Its Adsorption for Cr(III) and Fe(III) from Aqueous Solutions. Chin. J. Chem. Eng. 2014, 22, 984–990. [Google Scholar] [CrossRef]
- Aichour, A.; Zaghouane-Boudiaf, H. Single and competitive adsorption studies of two cationic dyes from aqueous mediums onto cellulose-based modified citrus peels/calcium alginate composite. Int. J. Biol. Macromol. 2020, 154, 1227–1236. [Google Scholar] [CrossRef] [PubMed]
- Shen, J.; Xu, X.; Ouyang, X.; Jin, M. Adsorption of Pb(II) from Aqueous Solutions Using Nanocrystalline Cellulose/Sodium Alginate/K-Carrageenan Composite Hydrogel Beads. J. Polym. Environ. 2022, 30, 1995–2006. [Google Scholar] [CrossRef]
- Iravani Mohammadabadi, S.; Javanbakht, V. Fabrication of dual cross-linked spherical treated waste biomass/alginate adsorbent and its potential for efficient removal of lead ions from aqueous solutions. Ind. Crop. Prod. 2021, 168, 113575. [Google Scholar] [CrossRef]
- Soleimani, S.; Heydari, A.; Fattahi, M.; Motamedisade, A. Calcium alginate hydrogels reinforced with cellulose nanocrystals for methylene blue adsorption: Synthesis, characterization, and modelling. Ind. Crop. Prod. 2023, 192, 115999. [Google Scholar] [CrossRef]
- Kasbaji, M.; Mennani, M.; Grimi, N.; Oubenali, M.; Mbarki, M.; El Zakhem, H.; Moubarik, A. Adsorption of cationic and anionic dyes onto coffee grounds cellulose/sodium alginate double-network hydrogel beads: Isotherm analysis and recyclability performance. Int. J. Biol. Macromol. 2023, 239, 124288. [Google Scholar] [CrossRef]
- Wu, J.; Dong, Z.; Li, X.; Li, P.; Wei, J.; Hu, M.; Geng, L.; Peng, X. Constructing acid-resistant chitosan/cellulose nanofibrils composite membrane for the adsorption of methylene blue. J. Environ. Chem. Eng. 2022, 10, 107754. [Google Scholar] [CrossRef]
- Li, D.; Tian, X.; Wang, Z.; Guan, Z.; Li, X.; Qiao, H.; Ke, H.; Luo, L.; Wei, Q. Multifunctional adsorbent based on metal-organic framework modified bacterial cellulose/chitosan composite aerogel for high efficient removal of heavy metal ion and organic pollutant. Chem. Eng. J. 2020, 383, 123127. [Google Scholar] [CrossRef]
- Wang, Y.; Wang, H.; Peng, H.; Wang, Z.; Wu, J.; Liu, Z. Dye Adsorption from Aqueous Solution by Cellulose/Chitosan Composite: Equilibrium, Kinetics, and Thermodynamics. Fibers Polym. 2018, 19, 340–349. [Google Scholar] [CrossRef]
- Liu, K.; Chen, L.; Huang, L.; Lai, Y. Evaluation of ethylenediamine-modified nanofibrillated cellulose/chitosan composites on adsorption of cationic and anionic dyes from aqueous solution. Carbohydr. Polym. 2016, 151, 1115–1119. [Google Scholar] [CrossRef]
- Liu, C.; Yu, J.; You, J.; Wang, Z.; Zhang, M.; Shi, L.; Zhuang, X. Cellulose/Chitosan Composite Sponge for Efficient Protein Adsorption. Ind. Eng. Chem. Res. 2021, 60, 9159–9166. [Google Scholar] [CrossRef]
- Marrane, S.E.; Dänoun, K.; Allouss, D.; Sair, S.; Channab, B.-E.; Rhihil, A.; Zahouily, M. A Novel Approach to Prepare Cellulose-g-Hydroxyapatite Originated from Natural Sources as an Efficient Adsorbent for Heavy Metals: Batch Adsorption Optimization via Response Surface Methodology. ACS Omega 2022, 7, 28076–28092. [Google Scholar] [CrossRef] [PubMed]
- Saber-Samandari, S.; Saber-Samandari, S.; Gazi, M. Cellulose-graft-polyacrylamide/hydroxyapatite composite hydrogel with possible application in removal of Cu (II) ions. React. Funct. Polym. 2013, 73, 1523–1530. [Google Scholar] [CrossRef]
- Jin, Y.; Ni, Y.; Pudukudy, M.; Zhang, H.; Wang, H.; Jia, Q.; Shan, S. Synthesis of nanocrystalline cellulose/hydroxyapatite nanocomposites for the efficient removal of chlortetracycline hydrochloride in aqueous medium. Mater. Chem. Phys. 2022, 275, 125135. [Google Scholar] [CrossRef]
- Mututuvari, T.M.; Tran, C.D. Synergistic adsorption of heavy metal ions and organic pollutants by supramolecular polysaccharide composite materials from cellulose, chitosan and crown ether. J. Hazard. Mater. 2014, 264, 449–459. [Google Scholar] [CrossRef]
- Eltaweil, A.S.; Abd El-Monaem, E.M.; El-Subruiti, G.M.; Ali, B.M.; Abd El-Latif, M.M.; Omer, A.M. Graphene oxide incorporated cellulose acetate beads for efficient removal of methylene blue dye; isotherms, kinetic, mechanism and co-existing ions studies. J. Porous Mater. 2023, 30, 607–618. [Google Scholar] [CrossRef]
- Ogunleye, D.T.; Akpotu, S.O.; Moodley, B. Crystalline Nanocellulose Anchored on Reduced Graphene Oxide for the Removal of Pharmaceuticals from Aqueous Systems: Adsorbent Characterization and Adsorption Performance. ChemistrySelect 2023, 8, e202202533. [Google Scholar] [CrossRef]
- Abou-Zeid, R.E.; Kamal, K.H.; Abd El-Aziz, M.E.; Morsi, S.M.; Kamel, S. Grafted TEMPO-oxidized cellulose nanofiber embedded with modified magnetite for effective adsorption of lead ions. Int. J. Biol. Macromol. 2021, 167, 1091–1101. [Google Scholar] [CrossRef]
- Anugrahwati, M.; Sari, A.W.; Munawwaroh, L.A.; Musawwa, M.M. Synthesis of microcrystalline cellulose (MCC)-Fe3O4 for malachite green adsorption; kinetics, isotherms, thermodynamics, and regeneration studies. J. Eng. Sci. Technol. 2022, 17, 91–101. [Google Scholar]
- Pan, Y.; Xie, H.; Liu, H.; Cai, P.; Xiao, H. Novel cellulose/montmorillonite mesoporous composite beads for dye removal in single and binary systems. Bioresour. Technol. 2019, 286, 121366. [Google Scholar] [CrossRef]
- Rong, N.; Chen, C.; Ouyang, K.; Zhang, K.; Wang, X.; Xu, Z. Adsorption characteristics of directional cellulose nanofiber/chitosan/montmorillonite aerogel as adsorbent for wastewater treatment. Sep. Purif. Technol. 2021, 274, 119120. [Google Scholar] [CrossRef]
- Luo, J.; Ma, X.; Zhou, X.; Xu, Y. Construction of physically crosslinked cellulose nanofibrils/alkali lignin/montmorillonoite/polyvinyl alcohol network hydrogel and its application in methylene blue removal. Cellulose 2021, 28, 5531–5543. [Google Scholar] [CrossRef]
- Zhang, X.; Li, F.; Zhao, X.; Cao, J.; Liu, S.; Zhang, Y.; Yuan, Z.; Huang, X.; De Hoop, C.F.; Peng, X.; et al. Bamboo Nanocellulose/Montmorillonite Nanosheets/Polyethyleneimine Gel Adsorbent for Methylene Blue and Cu(II) Removal from Aqueous Solutions. Gels 2023, 9, 40. [Google Scholar] [CrossRef] [PubMed]
- Kumar, A.S.K.; Kalidhasan, S.; Rajesh, V.; Rajesh, N. Application of Cellulose-Clay Composite Biosorbent toward the Effective Adsorption and Removal of Chromium from Industrial Wastewater. Ind. Eng. Chem. Res. 2012, 51, 58–69. [Google Scholar] [CrossRef]
- Cai, J.; Lei, M.; Zhang, Q.; He, J.-R.; Chen, T.; Liu, S.; Fu, S.-H.; Li, T.-T.; Liu, G.; Fei, P. Electrospun composite nanofiber mats of Cellulose@ Organically modified montmorillonite for heavy metal ion removal: Design, characterization, evaluation of absorption performance. Compos. Part A Appl. Sci. Manuf. 2017, 92, 10–16. [Google Scholar] [CrossRef]
- Shoukat, A.; Wahid, F.; Khan, T.; Siddique, M.; Nasreen, S.; Yang, G.; Ullah, M.W.; Khan, R. Titanium oxide-bacterial cellulose bioadsorbent for the removal of lead ions from aqueous solution. Int. J. Biol. Macromol. 2019, 129, 965–971. [Google Scholar] [CrossRef]
- Jing, L.; Yang, S.; Li, X.; Jiang, Y.; Lou, J.; Liu, Z.; Ding, Q.; Han, W. Effective adsorption and sensitive detection of Cr6+ by degradable collagen-based porous fluorescent aerogel. Ind. Crop. Prod. 2022, 182, 114882. [Google Scholar] [CrossRef]
- Shamsudin, M.S.; Azha, S.F.; Shahadat, M.; Ismail, S. Cellulose/bentonite-zeolite composite adsorbent material coating for treatment of N-based antiseptic cationic dye from water. J. Water Process Eng. 2019, 29, 100764. [Google Scholar] [CrossRef]
- Ding, W.; Liang, H.; Zhang, H.; Sun, H.; Geng, Z.; Xu, C. A cellulose/bentonite grafted polyacrylic acid hydrogel for highly-efficient removal of Cd(II). J. Water Process Eng. 2023, 51, 103414. [Google Scholar] [CrossRef]
- Xu, D.; Huang, Y.; Ma, Q.; Qiao, J.; Guo, X.; Wu, Y. A 3D porous structured cellulose nanofibrils-based hydrogel with carbon dots-enhanced synergetic effects of adsorption and photocatalysis for effective Cr(VI) removal. Chem. Eng. J. 2023, 456, 141104. [Google Scholar] [CrossRef]
- Mubarak, M.F.; Zayed, A.M.; Ahmed, H.A. Activated Carbon/Carborundum@Microcrystalline Cellulose core shell nano-composite: Synthesis, characterization and application for heavy metals adsorption from aqueous solutions. Ind. Crop. Prod. 2022, 182, 114896. [Google Scholar] [CrossRef]
- Zhao, B.; Jiang, H.; Lin, Z.; Xu, S.; Xie, J.; Zhang, A. Preparation of acrylamide/acrylic acid cellulose hydrogels for the adsorption of heavy metal ions. Carbohydr. Polym. 2019, 224, 115022. [Google Scholar] [CrossRef]
- Guleria, A.; Kumari, G.; Lima, E.C. Cellulose-g-poly-(acrylamide-co-acrylic acid) polymeric bioadsorbent for the removal of toxic inorganic pollutants from wastewaters. Carbohydr. Polym. 2020, 228, 115396. [Google Scholar] [CrossRef]
- Bahadoran Baghbadorani, N.; Behzad, T.; Etesami, N.; Heidarian, P. Removal of Cu2+ ions by cellulose nanofibers-assisted starch-g-poly(acrylic acid) superadsorbent hydrogels. Compos. Part B Eng. 2019, 176, 107084. [Google Scholar] [CrossRef]
- Malatji, N.; Makhado, E.; Ramohlola, K.E.; Modibane, K.D.; Maponya, T.C.; Monama, G.R.; Hato, M.J. Synthesis and characterization of magnetic clay-based carboxymethyl cellulose-acrylic acid hydrogel nanocomposite for methylene blue dye removal from aqueous solution. Environ. Sci. Pollut. Res. 2020, 27, 44089–44105. [Google Scholar] [CrossRef]
- Godiya, C.B.; Cheng, X.; Li, D.; Chen, Z.; Lu, X. Carboxymethyl cellulose/polyacrylamide composite hydrogel for cascaded treatment/reuse of heavy metal ions in wastewater. J. Hazard. Mater. 2019, 364, 28–38. [Google Scholar] [CrossRef]
- El Fawal, G.; Khalifa, R.; Rahman, S.A.; Eldin, M.M. Poly (Methacrylic acid) grafted regenerated cellulose ions exchangers membranes for Cu (II) ion adsorption: Kinetic, isotherm, and thermodynamic studies. Desalination Water Treat. 2020, 178, 182–192. [Google Scholar] [CrossRef]
- Abouzayed, F.I.; El-Nasser, N.T.A.; Abouel-Enein, S.A. Synthesis, characterization of functionalized grafted cellulose and its environmental application in uptake of copper (II), manganese (II) and iron (III) ions. J. Mol. Struct. 2022, 1270, 133907. [Google Scholar] [CrossRef]
- Rahman, M.L.; Fui, C.J.; Ting, T.X.; Sarjadi, M.S.; Arshad, S.E.; Musta, B. Polymer Ligands Derived from Jute Fiber for Heavy Metal Removal from Electroplating Wastewater. Polymers 2020, 12, 2521. [Google Scholar] [CrossRef]
- Kumar, R.; Sharma, R.K.; Singh, A.P. Synthesis and characterization of cellulose based graft copolymers with binary vinyl monomers for efficient removal of cationic dyes and Pb(II) ions. J. Polym. Res. 2019, 26, 135. [Google Scholar] [CrossRef]
- Kedzior, S.A.; Zoppe, J.O.; Berry, R.M.; Cranston, E.D. Recent advances and an industrial perspective of cellulose nanocrystal functionalization through polymer grafting. Curr. Opin. Solid State Mater. Sci. 2019, 23, 74–91. [Google Scholar] [CrossRef]
- Wojnárovits, L.; Földváry, C.M.; Takács, E. Radiation-induced grafting of cellulose for adsorption of hazardous water pollutants: A review. Radiat. Phys. Chem. 2010, 79, 848–862. [Google Scholar] [CrossRef]
- Feng, C.; Ren, P.; Huo, M.; Dai, Z.; Liang, D.; Jin, Y.; Ren, F. Facile synthesis of trimethylammonium grafted cellulose foams with high capacity for selective adsorption of anionic dyes from water. Carbohydr. Polym. 2020, 241, 116369. [Google Scholar] [CrossRef] [PubMed]
- Fakhre, N.A.; Ibrahim, B.M. The use of new chemically modified cellulose for heavy metal ion adsorption. J. Hazard. Mater. 2018, 343, 324–331. [Google Scholar] [CrossRef]
- Serbanescu, O.S.; Pandele, A.M.; Oprea, M.; Semenescu, A.; Thakur, V.K.; Voicu, S.I. Crown Ether-Immobilized Cellulose Acetate Membranes for the Retention of Gd (III). Polymers 2021, 13, 3978. [Google Scholar] [CrossRef]
- Gupta, A.D.; Pandey, S.; Jaiswal, V.K.; Bhadauria, V.; Singh, H. Simultaneous oxidation and esterification of cellulose for use in treatment of water containing Cu(II) ions. Carbohydr. Polym. 2019, 222, 114964. [Google Scholar] [CrossRef]
- Montoya Rojo, Ú.; Rossi, E.; Cerrutti, P.; Errea, M.I.; Foresti, M.L. Preparation of water insoluble carboxymethylated bacterial cellulose with maximum lead retention capacity. J. Polym. Res. 2021, 28, 212. [Google Scholar] [CrossRef]
- Wei, W.; Kim, S.; Song, M.-H.; Bediako, J.K.; Yun, Y.-S. Carboxymethyl cellulose fiber as a fast binding and biodegradable adsorbent of heavy metals. J. Taiwan Inst. Chem. Eng. 2015, 57, 104–110. [Google Scholar] [CrossRef]
- Chen, Y.; Long, Y.; Li, Q.; Chen, X.; Xu, X. Synthesis of high-performance sodium carboxymethyl cellulose-based adsorbent for effective removal of methylene blue and Pb (II). Int. J. Biol. Macromol. 2019, 126, 107–117. [Google Scholar] [CrossRef]
- Baiya, C.; Nannuan, L.; Tassanapukdee, Y.; Chailapakul, O.; Songsrirote, K. The Synthesis of Carboxymethyl Cellulose-Based Hydrogel from Sugarcane Bagasse Using Microwave-Assisted Irradiation for Selective Adsorption of Copper(II) Ions. Environ. Prog. Sustain. Energy 2019, 38, S157–S165. [Google Scholar] [CrossRef]
- Lin, X.; Jin, J.; Guo, X.; Jia, X. All-carboxymethyl cellulose sponges for removal of heavy metal ions. Cellulose 2021, 28, 3113–3122. [Google Scholar] [CrossRef]
- Gurgel, L.V.A.; de Freitas, R.P.; Gil, L.F. Adsorption of Cu(II), Cd(II), and Pb(II) from aqueous single metal solutions by sugarcane bagasse and mercerized sugarcane bagasse chemically modified with succinic anhydride. Carbohydr. Polym. 2008, 74, 922–929. [Google Scholar] [CrossRef]
- Olivito, F.; Algieri, V.; Jiritano, A.; Tallarida, M.A.; Tursi, A.; Costanzo, P.; Maiuolo, L.; De Nino, A. Cellulose citrate: A convenient and reusable bio-adsorbent for effective removal of methylene blue dye from artificially contaminated water. RSC Adv. 2021, 11, 34309–34318. [Google Scholar] [CrossRef] [PubMed]
- Tursi, A.; Gallizzi, V.; Olivito, F.; Algieri, V.; De Nino, A.; Maiuolo, L.; Beneduci, A. Selective and efficient mercury(II) removal from water by adsorption with a cellulose citrate biopolymer. JHM Lett. 2022, 3, 100060. [Google Scholar] [CrossRef]
- Shahid, M.K.; Dayarathne, H.N.P.; Mainali, B.; Lim, J.W.; Choi, Y. Ion Exchange Process for Removal of Microconstituents from Water and Wastewater. In Microconstituents in the Environment; John Wiley & Sons, Inc.: Hoboken, NJ, USA, 2023; pp. 303–320. [Google Scholar]
- Chen, X.; Liu, L.; Luo, Z.; Shen, J.; Ni, Q.; Yao, J. Facile preparation of a cellulose-based bioadsorbent modified by hPEI in heterogeneous system for high-efficiency removal of multiple types of dyes. React. Funct. Polym. 2018, 125, 77–83. [Google Scholar] [CrossRef]
- Jin, L.; Li, W.; Xu, Q.; Sun, Q. Amino-functionalized nanocrystalline cellulose as an adsorbent for anionic dyes. Cellulose 2015, 22, 2443–2456. [Google Scholar] [CrossRef]
- Kono, H.; Ogasawara, K.; Kusumoto, R.; Oshima, K.; Hashimoto, H.; Shimizu, Y. Cationic cellulose hydrogels cross-linked by poly(ethylene glycol): Preparation, molecular dynamics, and adsorption of anionic dyes. Carbohydr. Polym. 2016, 152, 170–180. [Google Scholar] [CrossRef]
- Anirudhan, T.S.; Jalajamony, S. Cellulose-based anion exchanger with tertiary amine functionality for the extraction of arsenic(V) from aqueous media. J. Environ. Manag. 2010, 91, 2201–2207. [Google Scholar] [CrossRef]
- Pereira, A.R.; Soares, L.C.; Teodoro, F.S.; Elias, M.M.C.; Ferreira, G.M.D.; Savedra, R.M.L.; Siqueira, M.F.; Martineau-Corcos, C.; da Silva, L.H.M.; Prim, D.; et al. Aminated cellulose as a versatile adsorbent for batch removal of As(V) and Cu(II) from mono- and multicomponent aqueous solutions. J. Colloid Interface Sci. 2020, 576, 158–175. [Google Scholar] [CrossRef]
- Dong, Z.; Zhao, L. Surface modification of cellulose microsphere with imidazolium-based ionic liquid as adsorbent: Effect of anion variation on adsorption ability towards Au(III). Cellulose 2018, 25, 2205–2216. [Google Scholar] [CrossRef]
- Guo, W.; Yang, F.; Zhao, Z.; Liao, Q.; Cai, C.; Zhang, Y.; Bai, R. Cellulose-based ionic liquids as an adsorbent for high selective recovery of gold. Miner. Eng. 2018, 125, 271–278. [Google Scholar] [CrossRef]
- Zhang, W.; Yang, G.; Deng, F.; Liang, J.; Huang, Q.; Dou, J.; Liu, M.; Cao, Q.-Y.; Zhang, X.; Wei, Y. Direct grafting of cellulose nanocrystals with poly(ionic liquids) via Gamma-ray irradiation and their utilization for adsorptive removal of CR. Int. J. Biol. Macromol. 2022, 194, 1029–1037. [Google Scholar] [CrossRef] [PubMed]
- Chen, L.; Dai, Y.; Lu, Q.; Fang, C.; Wang, Z.; Li, Y.; Cai, L.; Liu, B.; Zhang, Y.-F.; Li, Y.; et al. Novel High-efficiency adsorbent consisting of magnetic Cellulose-based ionic liquid for removal of anionic dyes. J. Mol. Liq. 2022, 353, 118723. [Google Scholar]
- Li, B.; Zhang, Q.; Pan, Y.; Li, Y.; Huang, Z.; Li, M.; Xiao, H. Functionalized porous magnetic cellulose/Fe3O4 beads prepared from ionic liquid for removal of dyes from aqueous solution. Int. J. Biol. Macromol. 2020, 163, 309–316. [Google Scholar] [CrossRef] [PubMed]
- Wan, Y.; Liu, Z.-Y.; Song, P.; Zhang, X.-Q.; Song, J.-C.; Fu, Y.-J.; Yao, X.-H.; Wang, J.; Chen, T.; Zhang, D.-Y.; et al. Ionic liquid groups modified 3D porous cellulose microspheres for selective adsorption of AO7 dye. J. Clean. Prod. 2019, 240, 118201. [Google Scholar] [CrossRef]
- Zhang, S.-F.; Yang, M.-X.; Qian, L.-W.; Hou, C.; Tang, R.-H.; Yang, J.-F.; Wang, X.-C. Design and preparation of a cellulose-based adsorbent modified by imidazolium ionic liquid functional groups and their studies on anionic dye adsorption. Cellulose 2018, 25, 3557–3569. [Google Scholar] [CrossRef]
- Zhou, H.; Zhu, H.; Xue, F.; He, H.; Wang, S. Cellulose-based amphoteric adsorbent for the complete removal of low-level heavy metal ions via a specialization and cooperation mechanism. Chem. Eng. J. 2020, 385, 123879. [Google Scholar] [CrossRef]
- Zhong, Q.-Q.; Yue, Q.-Y.; Li, Q.; Gao, B.-Y.; Xu, X. Removal of Cu(II) and Cr(VI) from wastewater by an amphoteric sorbent based on cellulose-rich biomass. Carbohydr. Polym. 2014, 111, 788–796. [Google Scholar] [CrossRef]
- Kono, H. Preparation and Characterization of Amphoteric Cellulose Hydrogels as Adsorbents for the Anionic Dyes in Aqueous Solutions. Gels 2015, 1, 94–116. [Google Scholar] [CrossRef]
- Zhu, T.; Li, Y.; Yang, H.; Liu, J.; Tao, Y.; Gan, W.; Wang, S.; Nong, G. Preparation of an amphoteric adsorbent from cellulose for wastewater treatment. React. Funct. Polym. 2021, 169, 105086. [Google Scholar] [CrossRef]
- Draget, K.I. 29–Alginates. In Handbook of Hydrocolloids, 2nd ed.; Phillips, G.O., Williams, P.A., Eds.; Woodhead Publishing: Sawston, UK, 2009; pp. 807–828. [Google Scholar]
- Hasnain, M.S.; Jameel, E.; Mohanta, B.; Dhara, A.K.; Alkahtani, S.; Nayak, A.K. Chapter 1–Alginates: Sources, structure, and properties. In Alginates in Drug Delivery; Nayak, A.K., Hasnain, M.S., Eds.; Academic Press: Cambridge, MA, USA, 2020; pp. 1–17. [Google Scholar]
- Saji, S.; Hebden, A.; Goswami, P.; Du, C. A Brief Review on the Development of Alginate Extraction Process and Its Sustainability. Sustainability 2022, 14, 5181. [Google Scholar] [CrossRef]
- Andriamanantoanina, H.; Rinaudo, M. Characterization of the alginates from five madagascan brown algae. Carbohydr. Polym. 2010, 82, 555–560. [Google Scholar] [CrossRef]
- Cao, L.; Lu, W.; Mata, A.; Nishinari, K.; Fang, Y. Egg-box model-based gelation of alginate and pectin: A review. Carbohydr. Polym. 2020, 242, 116389. [Google Scholar] [CrossRef] [PubMed]
- Hecht, H.; Srebnik, S. Structural Characterization of Sodium Alginate and Calcium Alginate. Biomacromolecules 2016, 17, 2160–2167. [Google Scholar] [CrossRef]
- He, J.; Chen, J.P. A comprehensive review on biosorption of heavy metals by algal biomass: Materials, performances, chemistry, and modeling simulation tools. Bioresour. Technol. 2014, 160, 67–78. [Google Scholar] [CrossRef]
- Papageorgiou, S.K.; Katsaros, F.K.; Kouvelos, E.P.; Nolan, J.W.; Le Deit, H.; Kanellopoulos, N.K. Heavy metal sorption by calcium alginate beads from Laminaria digitata. J. Hazard. Mater. 2006, 137, 1765–1772. [Google Scholar] [CrossRef]
- Park, H.G.; Chae, M.Y. Novel type of alginate gel-based adsorbents for heavy metal removal. J. Chem. Technol. Biotechnol. 2004, 79, 1080–1083. [Google Scholar] [CrossRef]
- Vijaya, Y.; Popuri, S.R.; Boddu, V.M.; Krishnaiah, A. Modified chitosan and calcium alginate biopolymer sorbents for removal of nickel (II) through adsorption. Carbohydr. Polym. 2008, 72, 261–271. [Google Scholar] [CrossRef]
- Jeon, C.; Park, J.Y.; Yoo, Y.J. Novel immobilization of alginic acid for heavy metal removal. Biochem. Eng. J. 2002, 11, 159–166. [Google Scholar] [CrossRef]
- Wang, W.; Kang, Y.; Wang, A. One-step fabrication in aqueous solution of a granular alginate-based hydrogel for fast and efficient removal of heavy metal ions. J. Polym. Res. 2013, 20, 101. [Google Scholar] [CrossRef]
- Majhi, D.; Patra, B.N. Polyaniline and sodium alginate nanocomposite: A pH-responsive adsorbent for the removal of organic dyes from water. RSC Adv. 2020, 10, 43904–43914. [Google Scholar] [CrossRef]
- Pashaei-Fakhri, S.; Peighambardoust, S.J.; Foroutan, R.; Arsalani, N.; Ramavandi, B. Crystal violet dye sorption over acrylamide/graphene oxide bonded sodium alginate nanocomposite hydrogel. Chemosphere 2021, 270, 129419. [Google Scholar] [CrossRef] [PubMed]
- Peighambardoust, S.J.; Aghamohammadi-Bavil, O.; Foroutan, R.; Arsalani, N. Removal of malachite green using carboxymethyl cellulose-g-polyacrylamide/montmorillonite nanocomposite hydrogel. Int. J. Biol. Macromol. 2020, 159, 1122–1131. [Google Scholar] [CrossRef]
- Zhang, W.; Ou, J.; Wang, B.; Wang, H.; He, Q.; Song, J.; Zhang, H.; Tang, M.; Zhou, L.; Gao, Y.; et al. Efficient heavy metal removal from water by alginate-based porous nanocomposite hydrogels: The enhanced removal mechanism and influencing factor insight. J. Hazard. Mater. 2021, 418, 126358. [Google Scholar] [CrossRef] [PubMed]
- Majdoub, M.; Amedlous, A.; Anfar, Z.; Jada, A.; El Alem, N. Engineering of amine-based binding chemistry on functionalized graphene oxide/alginate hybrids for simultaneous and efficient removal of trace heavy metals: Towards drinking water. J. Colloid Interface Sci. 2021, 589, 511–524. [Google Scholar] [CrossRef] [PubMed]
- Zhang, H.; Han, X.; Liu, J.; Wang, M.; Zhao, T.; Kang, L.; Zhong, S.; Cui, X. Fabrication of modified alginate-based biocomposite hydrogel microspheres for efficient removal of heavy metal ions from water. Colloids Surf. Physicochem. Eng. Asp. 2022, 651, 129736. [Google Scholar] [CrossRef]
- Ihsanullah, I.; Sajid, M.; Khan, S.; Bilal, M. Aerogel-based adsorbents as emerging materials for the removal of heavy metals from water: Progress, challenges, and prospects. Sep. Purif. Technol. 2022, 291, 120923. [Google Scholar] [CrossRef]
- Jiao, C.; Xiong, J.; Tao, J.; Xu, S.; Zhang, D.; Lin, H.; Chen, Y. Sodium alginate/graphene oxide aerogel with enhanced strength–toughness and its heavy metal adsorption study. Int. J. Biol. Macromol. 2016, 83, 133–141. [Google Scholar] [CrossRef]
- Syeda, H.I.; Yap, P.-S. A review on three-dimensional cellulose-based aerogels for the removal of heavy metals from water. Sci. Total Environ. 2022, 807, 150606. [Google Scholar] [CrossRef]
- Fricke, J.; Emmerling, A. Aerogels—Preparation, properties, applications. In Chemistry, Spectroscopy and Applications of Sol-Gel Glasses; Reisfeld, R., Jjørgensen, C.K., Eds.; Springer: Berlin/Heidelberg, Germany, 1992; pp. 37–87. [Google Scholar]
- Jiao, C.; Li, T.; Wang, J.; Wang, H.; Zhang, X.; Han, X.; Du, Z.; Shang, Y.; Chen, Y. Efficient Removal of Dyes from Aqueous Solution by a Porous Sodium Alginate/gelatin/graphene Oxide Triple-network Composite Aerogel. J. Polym. Environ. 2020, 28, 1492–1502. [Google Scholar] [CrossRef]
- Wang, M.; Wang, Z.; Zhou, X.; Li, S. Efficient Removal of Heavy Metal Ions in Wastewater by Using a Novel Alginate-EDTA Hybrid Aerogel. Appl. Sci. 2019, 9, 547. [Google Scholar] [CrossRef]
- Hassan, M.; Naidu, R.; Du, J.; Qi, F.; Ahsan, M.A.; Liu, Y. Magnetic responsive mesoporous alginate/β-cyclodextrin polymer beads enhance selectivity and adsorption of heavy metal ions. Int. J. Biol. Macromol. 2022, 207, 826–840. [Google Scholar] [CrossRef] [PubMed]
- Prinz Setter, O.; Segal, E. Halloysite nanotubes—The nano-bio interface. Nanoscale 2020, 12, 23444–23460. [Google Scholar] [CrossRef]
- Norkus, E. Metal ion complexes with native cyclodextrins. An overview. J. Incl. Phenom. Macrocycl. Chem. 2009, 65, 237–248. [Google Scholar] [CrossRef]
- Pedroso-Santana, S.; Fleitas-Salazar, N. Ionotropic gelation method in the synthesis of nanoparticles/microparticles for biomedical purposes. Polym. Int. 2020, 69, 443–447. [Google Scholar] [CrossRef]
- Alver, E.; Metin, A.Ü.; Brouers, F. Methylene blue adsorption on magnetic alginate/rice husk bio-composite. Int. J. Biol. Macromol. 2020, 154, 104–113. [Google Scholar] [CrossRef]
- Shi, T.; Xie, Z.; Zhu, Z.; Shi, W.; Liu, Y.; Liu, M. Highly efficient and selective adsorption of heavy metal ions by hydrazide-modified sodium alginate. Carbohydr. Polym. 2022, 276, 118797. [Google Scholar] [CrossRef]
- Zhu, R.; Chen, Q.; Zhou, Q.; Xi, Y.; Zhu, J.; He, H. Adsorbents based on montmorillonite for contaminant removal from water: A review. Appl. Clay Sci. 2016, 123, 239–258. [Google Scholar] [CrossRef]
- Wang, W.; Fan, M.; Ni, J.; Peng, W.; Cao, Y.; Li, H.; Huang, Y.; Fan, G.; Zhao, Y.; Song, S. Efficient dye removal using fixed-bed process based on porous montmorillonite nanosheet/poly(acrylamide-co-acrylic acid)/sodium alginate hydrogel beads. Appl. Clay Sci. 2022, 219, 106443. [Google Scholar] [CrossRef]
- Sezen, S.; Thakur, V.K.; Ozmen, M.M. Highly Effective Covalently Crosslinked Composite Alginate Cryogels for Cationic Dye Removal. Gels 2021, 7, 178. [Google Scholar] [CrossRef]
- Isawi, H. Using Zeolite/Polyvinyl alcohol/sodium alginate nanocomposite beads for removal of some heavy metals from wastewater. Arab. J. Chem. 2020, 13, 5691–5716. [Google Scholar] [CrossRef]
- Parameswaran, B. Sugarcane Bagasse. In Biotechnology for Agro-Industrial Residues Utilisation: Utilisation of Agro-Residues; Singh nee’ Nigam, P., Pandey, A., Eds.; Springer: Dordrecht, The Netherlands, 2009; pp. 239–252. [Google Scholar]
- Fan, S.; Zhou, J.; Zhang, Y.; Feng, Z.; Hu, H.; Huang, Z.; Qin, Y. Preparation of sugarcane bagasse succinate/alginate porous gel beads via a self-assembly strategy: Improving the structural stability and adsorption efficiency for heavy metal ions. Bioresour. Technol. 2020, 306, 123128. [Google Scholar] [CrossRef] [PubMed]
- Yadav, M.; Goswami, P.; Paritosh, K.; Kumar, M.; Pareek, N.; Vivekanand, V. Seafood waste: A source for preparation of commercially employable chitin/chitosan materials. Bioresour. Bioprocess. 2019, 6, 8. [Google Scholar] [CrossRef]
- Hamed, I.; Özogul, F.; Regenstein, J.M. Industrial applications of crustacean by-products (chitin, chitosan, and chitooligosaccharides): A review. Trends Food Sci. Technol. 2016, 48, 40–50. [Google Scholar] [CrossRef]
- Pakizeh, M.; Moradi, A.; Ghassemi, T. Chemical extraction and modification of chitin and chitosan from shrimp shells. Eur. Polym. J. 2021, 159, 110709. [Google Scholar] [CrossRef]
- Younes, I.; Rinaudo, M. Chitin and Chitosan Preparation from Marine Sources. Structure, Properties and Applications. Mar. Drugs 2015, 13, 1133–1174. [Google Scholar] [CrossRef]
- Desbrières, J.; Guibal, E. Chitosan for wastewater treatment. Polym. Int. 2018, 67, 7–14. [Google Scholar] [CrossRef]
- Gerente, C.; Lee, V.K.C.; Cloirec, P.L.; McKay, G. Application of Chitosan for the Removal of Metals from Wastewaters by Adsorption—Mechanisms and Models Review. Crit. Rev. Environ. Sci. Technol. 2007, 37, 41–127. [Google Scholar] [CrossRef]
- Zhao, J.; Zou, Z.; Ren, R.; Sui, X.; Mao, Z.; Xu, H.; Zhong, Y.; Zhang, L.; Wang, B. Chitosan adsorbent reinforced with citric acid modified β-cyclodextrin for highly efficient removal of dyes from reactive dyeing effluents. Eur. Polym. J. 2018, 108, 212–218. [Google Scholar] [CrossRef]
- Usman, M.; Ahmed, A.; Yu, B.; Wang, S.; Shen, Y.; Cong, H. Simultaneous adsorption of heavy metals and organic dyes by β-Cyclodextrin-Chitosan based cross-linked adsorbent. Carbohydr. Polym. 2021, 255, 117486. [Google Scholar] [CrossRef]
- Karimi-Maleh, H.; Ranjbari, S.; Tanhaei, B.; Ayati, A.; Orooji, Y.; Alizadeh, M.; Karimi, F.; Salmanpour, S.; Rouhi, J.; Sillanpää, M.; et al. Novel 1-butyl-3-methylimidazolium bromide impregnated chitosan hydrogel beads nanostructure as an efficient nanobio-adsorbent for cationic dye removal: Kinetic study. Environ. Res. 2021, 195, 110809. [Google Scholar] [CrossRef] [PubMed]
- Fan, S.; Chen, J.; Fan, C.; Chen, G.; Liu, S.; Zhou, H.; Liu, R.; Zhang, Y.; Hu, H.; Huang, Z.; et al. Fabrication of a CO2-responsive chitosan aerogel as an effective adsorbent for the adsorption and desorption of heavy metal ions. J. Hazard. Mater. 2021, 416, 126225. [Google Scholar] [CrossRef] [PubMed]
- Mu, R.; Liu, B.; Chen, X.; Wang, N.; Yang, J. Adsorption of Cu (II) and Co (II) from aqueous solution using lignosulfonate/chitosan adsorbent. Int. J. Biol. Macromol. 2020, 163, 120–127. [Google Scholar] [CrossRef] [PubMed]
- Zhang, F.; Wang, B.; Jie, P.; Zhu, J.; Cheng, F. Preparation of chitosan/lignosulfonate for effectively removing Pb (II) in water. Polymer 2021, 228, 123878. [Google Scholar] [CrossRef]
- Yadav, V.; Kumar, A.; Bilal, M.; Nguyen, T.A.; Iqbal, H.M.N. Chapter 12–Lignin removal from pulp and paper industry waste streams and its application. In Nanotechnology in Paper and Wood Engineering; Bhat, R., Kumar, A., Nguyen, T.A., Sharma, S., Eds.; Elsevier: Amsterdam, The Netherlands, 2022; pp. 265–283. [Google Scholar]
- Ralph, J.; Lapierre, C.; Boerjan, W. Lignin structure and its engineering. Curr. Opin. Biotechnol. 2019, 56, 240–249. [Google Scholar] [CrossRef] [PubMed]
- Ponnusamy, V.K.; Nguyen, D.D.; Dharmaraja, J.; Shobana, S.; Banu, J.R.; Saratale, R.G.; Chang, S.W.; Kumar, G. A review on lignin structure, pretreatments, fermentation reactions and biorefinery potential. Bioresour. Technol. 2019, 271, 462–472. [Google Scholar] [CrossRef]
- Zhao, X.; Wang, X.; Lou, T. Preparation of fibrous chitosan/sodium alginate composite foams for the adsorption of cationic and anionic dyes. J. Hazard. Mater. 2021, 403, 124054. [Google Scholar] [CrossRef]
- Tang, S.; Yang, J.; Lin, L.; Peng, K.; Chen, Y.; Jin, S.; Yao, W. Construction of physically crosslinked chitosan/sodium alginate/calcium ion double-network hydrogel and its application to heavy metal ions removal. Chem. Eng. J. 2020, 393, 124728. [Google Scholar] [CrossRef]
- Ablouh, E.-H.; Hanani, Z.; Eladlani, N.; Rhazi, M.; Taourirte, M. Chitosan microspheres/sodium alginate hybrid beads: An efficient green adsorbent for heavy metals removal from aqueous solutions. Sustain. Environ. Res. 2019, 29, 5. [Google Scholar] [CrossRef]
- Khapre, M.A.; Pandey, S.; Jugade, R.M. Glutaraldehyde-cross-linked chitosan–alginate composite for organic dyes removal from aqueous solutions. Int. J. Biol. Macromol. 2021, 190, 862–875. [Google Scholar] [CrossRef]
- Hamza, M.F.; Hamad, N.A.; Hamad, D.M.; Khalafalla, M.S.; Abdel-Rahman, A.A.-H.; Zeid, I.F.; Wei, Y.; Hessien, M.M.; Fouda, A.; Salem, W.M. Synthesis of Eco-Friendly Biopolymer, Alginate-Chitosan Composite to Adsorb the Heavy Metals, Cd(II) and Pb(II) from Contaminated Effluents. Materials 2021, 14, 2189. [Google Scholar] [CrossRef] [PubMed]
- Carvalho, A.J.F. Chapter 15–Starch: Major Sources, Properties and Applications as Thermoplastic Materials. In Monomers, Polymers and Composites from Renewable Resources; Belgacem, M.N., Gandini, A., Eds.; Elsevier: Amsterdam, The Netherlands, 2008; pp. 321–342. [Google Scholar]
- Vandenbossche, M.; Jimenez, M.; Casetta, M.; Traisnel, M. Remediation of Heavy Metals by Biomolecules: A Review. Crit. Rev. Environ. Sci. Technol. 2015, 45, 1644–1704. [Google Scholar] [CrossRef]
- Robyt, J.F. Starch: Structure, Properties, Chemistry, and Enzymology. In Glycoscience: Chemistry and Chemical Biology; Fraser-Reid, B.O., Tatsuta, K., Thiem, J., Eds.; Springer: Berlin/Heidelberg, Germany, 2008; pp. 1437–1472. [Google Scholar]
- Kringel, D.H.; Dias, A.R.G.; Zavareze, E.D.R.; Gandra, E.A. Fruit Wastes as Promising Sources of Starch: Extraction, Properties, and Applications. Starch 2020, 72, 1900200. [Google Scholar] [CrossRef]
- Awokoya, K.N.; Oninla, V.O.; Bello, D.J. Synthesis of oxidized Dioscorea dumentorum starch nanoparticles for the adsorption of lead(II) and cadmium(II) ions from wastewater. Environ. Nanotechnol. Monit. Manag. 2021, 15, 100440. [Google Scholar] [CrossRef]
- Abd El-Ghany, N.A.; Elella, M.H.A.; Abdallah, H.M.; Mostafa, M.S.; Samy, M. Recent Advances in Various Starch Formulation for Wastewater Purification via Adsorption Technique: A Review. J. Polym. Environ. 2023, 31, 2792–2825. [Google Scholar] [CrossRef]
- Haroon, M.; Wang, L.; Yu, H.; Abbasi, N.M.; Zain-ul-Abdin; Saleem, M.; Khan, R.U.; Ullah, R.S.; Chen, Q.; Wu, J. Chemical modification of starch and its application as an adsorbent material. RSC Adv. 2016, 6, 78264–78285. [Google Scholar] [CrossRef]
- Guo, L.; Li, G.; Liu, J.; Meng, Y.; Tang, Y. Adsorptive decolorization of methylene blue by crosslinked porous starch. Carbohydr. Polym. 2013, 93, 374–379. [Google Scholar] [CrossRef]
- Alvarado, N.; Abarca, R.L.; Urdaneta, J.; Romero, J.; Galotto, M.J.; Guarda, A. Cassava starch: Structural modification for development of a bio-adsorber for aqueous pollutants. Characterization and adsorption studies on methylene blue. Polym. Bull. 2021, 78, 1087–1107. [Google Scholar] [CrossRef]
- Soto, D.; Urdaneta, J.; Pernía, K.; León, O.; Muñoz-Bonilla, A.; Fernandez-García, M. Removal of heavy metal ions in water by starch esters. Starch 2016, 68, 37–46. [Google Scholar] [CrossRef]
- Soto, D.; Urdaneta, J.; Pernía, K.; León, O.; Muñoz-Bonilla, A.; Fernández-García, M. Heavy metal (Cd2+, Ni2+, Pb2+ and Ni2+) adsorption in aqueous solutions by oxidized starches. Polym. Adv. Technol. 2015, 26, 147–152. [Google Scholar] [CrossRef]
- Sancey, B.; Trunfio, G.; Charles, J.; Minary, J.-F.; Gavoille, S.; Badot, P.-M.; Crini, G. Heavy metal removal from industrial effluents by sorption on cross-linked starch: Chemical study and impact on water toxicity. J. Environ. Manag. 2011, 92, 765–772. [Google Scholar] [CrossRef]
- Zheng, Y.; Hua, S.; Wang, A. Adsorption behavior of Cu2+ from aqueous solutions onto starch-g-poly(acrylic acid)/sodium humate hydrogels. Desalination 2010, 263, 170–175. [Google Scholar] [CrossRef]
- Chaudhari, S.; Tare, V. Analysis and evaluation of heavy metal uptake and release by insoluble starch xanthate in aqueous environment. Water Sci. Technol. 1996, 34, 161–168. [Google Scholar] [CrossRef]
- Zubair, M.; Jarrah, N.; Ihsanullah; Khalid, A.; Manzar, M.S.; Kazeem, T.S.; Al-Harthi, M.A. Starch-NiFe-layered double hydroxide composites: Efficient removal of methyl orange from aqueous phase. J. Mol. Liq. 2018, 249, 254–264. [Google Scholar] [CrossRef]
- Tao, X.; Liu, D.; Cong, W.; Huang, L. Controllable synthesis of starch-modified ZnMgAl-LDHs for adsorption property improvement. Appl. Surf. Sci. 2018, 457, 572–579. [Google Scholar] [CrossRef]
- Liu, J.; Yue, X.; Lu, X.; Guo, Y. Uptake Fluoride from Water by Starch Stabilized Layered Double Hydroxides. Water 2018, 10, 745. [Google Scholar] [CrossRef]
- Hao, L.; Liu, M.; Wang, N.; Li, G. A critical review on arsenic removal from water using iron-based adsorbents. RSC Adv. 2018, 8, 39545–39560. [Google Scholar] [CrossRef]
- Xu, F.; Chen, H.; Dai, Y.; Wu, S.; Tang, X. Arsenic adsorption and removal by a new starch stabilized ferromanganese binary oxide in water. J. Environ. Manag. 2019, 245, 160–167. [Google Scholar] [CrossRef]
- Siddiqui, S.I.; Singh, P.N.; Tara, N.; Pal, S.; Chaudhry, S.A.; Sinha, I. Arsenic removal from water by starch functionalized maghemite nano-adsorbents: Thermodynamics and kinetics investigations. Colloids Interface Sci. Commun. 2020, 36, 100263. [Google Scholar] [CrossRef]
- Robinson, M.R.; Coustel, R.; Abdelmoula, M.; Mallet, M. As (V) and As (III) sequestration by starch functionalized magnetite nanoparticles: Influence of the synthesis route onto the trapping efficiency. Sci. Technol. Adv. Mater. 2020, 21, 524–539. [Google Scholar] [CrossRef]
- Ma, X.; Liu, X.; Anderson, D.P.; Chang, P.R. Modification of porous starch for the adsorption of heavy metal ions from aqueous solution. Food Chem. 2015, 181, 133–139. [Google Scholar] [CrossRef] [PubMed]
- Liu, Q.; Li, F.; Lu, H.; Li, M.; Liu, J.; Zhang, S.; Sun, Q.; Xiong, L. Enhanced dispersion stability and heavy metal ion adsorption capability of oxidized starch nanoparticles. Food Chem. 2018, 242, 256–263. [Google Scholar] [CrossRef] [PubMed]
- Chen, Q.-J.; Zheng, X.-M.; Zhou, L.-L.; Zhang, Y.-F. Adsorption of Cu (II) and Methylene Blue by Succinylated Starch Nanocrystals. Starch 2019, 71, 1800266. [Google Scholar] [CrossRef]
- Hashem, A.; Ahmad, F.; Fahad, R. Application of some starch hydrogels for the removal of mercury (II) ions from aqueous solutions. Adsorpt. Sci. Technol. 2008, 26, 563–579. [Google Scholar] [CrossRef]
- Aniagor, C.O.; Afifi, M.A.; Hashem, A. Rapid and efficient uptake of aqueous lead pollutant using starch-based superabsorbent hydrogel. Polym. Bull. 2022, 79, 6373–6388. [Google Scholar] [CrossRef]
- Haroon, M.; Wang, L.; Yu, H.; Ullah, R.S.; Zain-ul-Abdin; Khan, R.U.; Chen, Q.; Liu, J. Synthesis of carboxymethyl starch-g-polyvinylpyrolidones and their properties for the adsorption of Rhodamine 6G and ammonia. Carbohydr. Polym. 2018, 186, 150–158. [Google Scholar] [CrossRef]
- Ma, K.; Zhao, L.; Jiang, Z.; Huang, Y.; Sun, X. Adsorption characteristics of Cr (III) onto starch-graft-poly(acrylic acid)/organo-modifed zeolite 4A composite: A novel path to the adsorption mechanisms. Polym. Compos. 2018, 39, 1223–1233. [Google Scholar] [CrossRef]
- Chen, L.; Zhu, Y.; Cui, Y.; Dai, R.; Shan, Z.; Chen, H. Fabrication of starch-based high-performance adsorptive hydrogels using a novel effective pretreatment and adsorption for cationic methylene blue dye: Behavior and mechanism. Chem. Eng. J. 2021, 405, 126953. [Google Scholar] [CrossRef]
- Shoaib, A.G.M.; Sikaily, A.E.; Ragab, S.; Masoud, M.S.; Ramadan, M.S.; El Nemr, A. Starch-grafted-poly(acrylic acid)/Pterocladia capillacea–derived activated carbon composite for removal of methylene blue dye from water. Biomass Convers. Biorefinery 2022. [Google Scholar] [CrossRef]
- Zhang, H.; Wang, P.; Zhang, Y.; Cheng, B.; Zhu, R.; Li, F. Synthesis of a novel arginine-modified starch resin and its adsorption of dye wastewater. RSC Adv. 2020, 10, 41251–41263. [Google Scholar] [CrossRef]
- Jiang, H.; Yang, Y.; Lin, Z.; Zhao, B.; Wang, J.; Xie, J.; Zhang, A. Preparation of a novel bio-adsorbent of sodium alginate grafted polyacrylamide/graphene oxide hydrogel for the adsorption of heavy metal ion. Sci. Total Environ. 2020, 744, 140653. [Google Scholar] [CrossRef] [PubMed]
















| Composite Material | Adsorbate | Optimum pH | Isotherm Model | Kinetic Model | Maximum Adsorption Capacity (mg g−1) | Reference |
|---|---|---|---|---|---|---|
| Cellulose-based modified citrus peels/calcium alginate composite | Methylene blue (MB) Crystal violet | 6.5 | Langmuir | Pseudo-second order | 923.1 882.0 | [50] |
| Nanocrystalline cellulose/sodium alginate/K-carrageenan composite hydrogel | Pb (II) | N/R | Langmuir | Pseudo-second order | 351.0 | [51] |
| Glutaraldehyde crosslinked calcium alginate/cellulose bead | Pb (II) | 5.0 | Freundlich | Pseudo-second order | 206.8 | [52] |
| Calcium alginate hydrogels reinforced with cellulose nanocrystals | MB | 7.0 | Langmuir | Pseudo-first order | 676.7 | [53] |
| Coffee ground cellulose/sodium alginate double-network hydrogel beads | MB Congo red (CR) | N/R | Langmuir-Freundlich | Pseudo-second order | 400.5 411.5 | [54] |
| Chitosan/cellulose nanofibril composite membrane | MB | 7.0 | Langmuir | Pseudo-first order | 14.7 | [55] |
| Zeolitic imidazolate framework-67 modified bacterial cellulose/chitosan composite aerogel | Cu (II) Cr (VI) | 6.0 | N/R | Pseudo-second order | 200.6 152.1 | [56] |
| Cellulose/chitosan composite aerogel | CR | 7.0 | Langmuir | Pseudo-second order | 381.7 | [57] |
| Ethylenediamine-modified nanofibrillated cellulose/chitosan composites | MB | 4.0 | N/R | N/R | 19.5 96.7 | [58] |
| New Coccine | 2.0 | |||||
| Cellulose microfibril-grafted-hydroxyapatite | Pb (II) Cu (II) | N/R | Langmuir | Pseudo-second order | 143.8 83.1 | [60] |
| Cellulose-graft-polyacrylamide/hydroxyapatite composite hydrogel | Cu (II) | 7.0 | N/R | Pseudo-second order | 175.0 | [61] |
| Cellulose/hydroxyapatite nanocomposites | Chlortetracycline hydrochloride | 7.0 | Freundlich | Pseudo-second order | 139.4 | [62] |
| Supramolecular polysaccharide composite materials from cellulose, chitosan, and crown ether | Cd (II) Zn (II) 2,4,5-trichlorophenol | 6.0 | N/R | Pseudo-second order | 49.1 15.2 6.4 | [63] |
| Graphene oxide incorporated into cellulose acetate beads | MB | 7.0 | Langmuir | Pseudo-second order | 369.9 | [64] |
| Crystalline nanocellulose anchored to reduced graphene oxide | Aspirin Acetaminophen | 4.0 | N/R | Pseudo-second order | 99.0 76.3 | [65] |
| Acrylic acid grafting and amino-functionalized magnetized TEMPO-oxidized cellulose nanofiber | Pb (II) | 5.3 | Freundlich | Pseudo-second order | 122.0 | [66] |
| Microcrystalline cellulose/Fe3O4 composite | Malachite green | 7.0 | Freundlich | Pseudo-second order | 2.9 | [67] |
| Cellulose/montmorillonite mesoporous composite beads | Auramine O dye | 7.0 | Redlich-Peterson | Pseudo-second order | 1336.2 | [68] |
| Directional cellulose nanofiber/chitosan/montmorillonite aerogel | Cu (II) Pb (II) Cd (II) | 2.0 | Langmuir | Pseudo-second order | 181.9 170.2 163.9 | [69] |
| Crosslinked cellulose nanofibrils/alkali lignin/montmorillonite/polyvinyl alcohol network hydrogel | MB | 10.5 | N/R | Pseudo-second order | 67.2 | [70] |
| Bamboo nanocellulose/montmorillonite nanosheet/polyethyleneimine gel adsorbent | MB | 10.0 | Sips | Fractal-like pseudo-second order | 361.9 254.6 | [71] |
| Cu (II) | 5.0 | |||||
| Na-montmorillonite/cellulose nanocomposite | Cr (VI) | 4.0 | Langmuir | Second order | 22.3 | [72] |
| Electrospun composite nanofiber mats of cellulose/organically modified montmorillonite | Cr (VI) | 3.0 | N/R | N/R | 18.5 | [73] |
| Titanium oxide-bacterial cellulose bioadsorbent | Pb (II) | 7.0 | N/R | N/R | 200.0 | [74] |
| Waste collagen, polyethyleneimine, and carbon dots cross-linked by aldehyde cellulose nanofibers | Cr (VI) | 2.0 | Langmuir | Pseudo-second order | 103.3 | [75] |
| Cellulose/bentonite-zeolite composite | Brilliant green | 5.6 | Langmuir | Pseudo-second order | 99.1 | [76] |
| Microcrystalline cellulose/bentonite-grafted polyacrylic acid hydrogel | Cd (II) | 6.0 | Freundlich | Pseudo-second order | 242.5 | [77] |
| 3D porous structured cellulose nanofibril-based hydrogel with carbon dots | Cr (VI) | 2.0 | Langmuir | Pseudo-second order | 116.0 | [78] |
| Activated carbon/carborundum/microcrystalline cellulose core shell nano-composite | As (III) Cu (II) | 6.0 | Freundlich | Pseudo-second order | 422.9 423.6 | [79] |
| CMC Substitution Degree (Carboxymethyl Groups/Anhydroglucose Units) | Modification | Adsorbate | pH | Isotherm Model | Kinetic Model | Maximum Adsorption Capacity (mg g−1) | Reference |
|---|---|---|---|---|---|---|---|
| 0.17 | None | Pb (II) | 7.0 | Langmuir | Pseudo-second order | 59.5 | [38] |
| 0.35 | None | Pb (II) | 7.0 | Langmuir | Pseudo-second order | 127.0 | [95] |
| 0.65–0.85 | Crosslinking in presence of epichloridrine | Cd (II) | 6.0 | Langmuir | Both pseudo-first and pseudo-second order | ~150.0 | [96] |
| N/R | Crosslinking in presence of polyacrylamide | Pb (II) | 5.0 | Langmuir | Pseudo-second order | ~850.0 | [97] |
| N/R | Crosslinking in presence of PVA | Cu (II) | 5.0 | N/R | N/R | ~2.3 | [98] |
| Cd (II) | ~0.3 | ||||||
| Ni (II) | ~0.3 | ||||||
| Hg (II) | ~0.1 | ||||||
| 0.7 | Crosslinking by heating in presence of sulphuric acid and a further freeze-thawing treatment | Ag (I) Cu (II) Ni (II) | 6.6 5.5 6.4 | N/R | N/R | 7.7 6.8 7.2 | [99] |
| Pollutants | Raw Material | Product | Maximum Adsorption Capacity (mg g−1) | pH | Isotherm Model | Kinetic Model | Reference |
|---|---|---|---|---|---|---|---|
| Heavy metals | |||||||
| As (III) | Cellulose | Activated carbon/carborundum/microcrystalline cellulose core shell nano-composite | 422.9 | 6.0 | Freundlich | Pseudo-second order | [79] |
| As (V) | Cellulose | Cellulose anion exchanger (graft polymerization of cellulose and glycidyl methacrylate) | 200.3 | 6.0 | Langmuir-Freundlich | Pseudo-second order | [107] |
| Cd (II) | Alginate and chitosan | Glutaraldehyde-crosslinked chitosan/alginate composite | 220.5 | 5.8 | Langmuir | Pseudo-first order | [175] |
| Cellulose | Microcrystalline cellulose/bentonite grafted polyacrylic acid hydrogel | 242.5 | 6.0 | Freundlich | Pseudo-second order | [77] | |
| Co (II) | Chitosan | Porous lignosulphonate/chitosan composite | 386.0 | 6.0 | Langmuir | Pseudo-second order | [166] |
| Cu (II) | Cellulose | Bamboo nanocellulose/montmorillonite nanosheets/polyethyleneimine gel adsorbent | 254.6 | 5.0 | Sips | Fractal-like pseudo-second order | [71] |
| Activated carbon/carborundum/microcrystalline cellulose core shell nano-composite | 423.6 | 6.0 | Freundlich | Pseudo-second order | [79] | ||
| Chitosan | Porous lignosulphonate/chitosan composite | 283.0 | 6.0 | Langmuir | Pseudo-second order | [166] | |
| Chitosan and cellulose | Zeolitic imidazolate framework-67 modified bacterial cellulose/chitosan composite aerogel | 200.6 | 6.0 | N/R | Pseudo-second order | [56] | |
| Starch | Starch-g-poly(acrylic acid) hydrogel | 736.0 | 5.0 | Langmuir | N/R | [82] | |
| Starch and cellulose | Starch-g-poly(acrylic acid) hydrogel with cellulose nanofibers incorporated | 957.0 | |||||
| Cr (III) | Starch | Starch-graft-poly(acrylic acid)/organo-modified zeolite | 651.4 | 4.0 | N/R | N/R | [203] |
| Hg (II) | Cellulose | Citrate cellulose derivative | 1600.0 | 6.5 | Langmuir | Pseudo-second order | [102] |
| Starch | Starch hydrogels prepared via graft polymerization of acrylonitrile, followed by nitrile groups hydrolysis | 1250.0 | 4.0 | Langmuir | Second order | [200] | |
| Pb (II) | Alginate | Polyacrylamide/GO/sodium alginate composite | 240.7 | 5.5 | Langmuir | Pseudo-second order | [207] |
| Thiol and amido-modified alginate/GO/composite | 369.6 | 5.5 | Langmuir | Pseudo-second order | [137] | ||
| Sugarcane bagasse succinate/alginate composite | 354.6 | 6.0 | Langmuir | Pseudo-second order | [155] | ||
| Cellulose | Cellulose crosslinked in presence of polyacrilamide | 840.1 | 5.0 | Langmuir | Pseudo-second order | [97] | |
| Titanium oxide-bacterial cellulose bioadsorbent | 200.0 | 7.0 | N/R | N/R | [74] | ||
| Cellulose and alginate | Nanocrystalline cellulose/sodium alginate/K-carrageenan composite hydrogel | 351.0 | N/R | Langmuir | Pseudo-second order | [51] | |
| Glutaraldehyde crosslinked calcium alginate/cellulose bead | 206.8 | 5.0 | Freundlich | Pseudo-second order | [52] | ||
| Chitosan and alginate | Glutaraldehyde-crosslinked chitosan/alginate composite | 258.6 | 5.8 | Sips | Pseudo-first order | [175] | |
| Chitosan | Porous lignosulphonate/chitosan composite | 525.0 | 7.0 | Langmuir | Pseudo-second order | [167] | |
| Starch | Starch hydrogels prepared via graft polymerization of acrylonitrile, followed by nitrile groups hydrolysis | 264.4 | 5.0 | Langmuir | Pseudo-first order | [201] | |
| Dyes | |||||||
| Acid red | Cellulose | Amino-functionalized nanocrystalline cellulose | 555.6 | 4.7 | Langmuir | Pseudo-second order | [105] |
| AR13, AB92, AR112 | Cationic cellulose hydrogels crosslinked with poly(ethylene glycol) | 322.0–447.0 | 7.0 | Langmuir | Pseudo-second order | [106] | |
| Auramine O | Cellulose/montmorillonite mesoporous composite beads | 1336.2 | 7.0 | Redlich-Peterson | Pseudo-second order | [68] | |
| Reactive yellow | Hyperbranched polyethyleneimine cellulose | 970.87 | 5.0 | Langmuir | Pseudo-second order | [104] | |
| Crystal violet | Cellulose and alginate | Cellulose-based modified citrus peels/calcium alginate composite | 882.0 | 6.5 | Langmuir | Pseudo-second order | [50] |
| CR | Coffee ground cellulose/sodium alginate double-network hydrogel beads | 411.5 | N/R | Langmuir-Freundlich | Pseudo-second order | [54] | |
| Cellulose and chitosan | Cellulose/chitosan composite aerogel | 381.7 | 7.0 | Langmuir | Pseudo-second order | [57] | |
| MB, rhodamine B, orange II, mehyl orange | Alginate | Polyaniline-sodium alginate nanocomposite | 416.7–555.5 | 7.0 | Langmuir | Pseudo-second order | [132] |
| MB | Alginate | Alginate/rice husk composite | 274.9 | 6.0 | Freundlich | Fractal Brouers-Sotolongo | [148] |
| Porous montmorillonite nanosheet/poly (acrylamide-co-acrylic acid)/sodium alginate hydrogel | 530.7 | 6.8 | Freundlich | Pseudo-second order | [151] | ||
| Alginate and cellulose | Cellulose-based modified citrus peels/calcium alginate composite | 923.1 | 6.5 | Langmuir | Pseudo-second order | [50] | |
| Calcium alginate hydrogels reinforced with cellulose nanocrystals | 676.7 | 7.0 | Langmuir | Pseudo-first order | [53] | ||
| Coffee ground cellulose/sodium alginate double-network hydrogel beads | 400.5 | N/R | Langmuir-Freundlich | Pseudo-second order | [54] | ||
| Cellulose | Cellulose crosslinked in presence of polyacrylamide | 1611.4 | 5.0 | Langmuir | Pseudo-second order | [97] | |
| Bamboo nanocellulose/montmorillonite nanosheets/polyethyleneimine gel adsorbent | 361.9 | 10.0 | Sips | Fractal-like pseudo-second order | [71] | ||
| Graphene oxide incorporated into cellulose acetate beads | 369.9 | 7.0 | Langmuir | Pseudo-second order | [64] | ||
| Chitosan and alginate | Chitosan/sodium alginate composite foam | 1488.1 | 5.8 | Langmuir | Pseudo-second order | [171] | |
| Starch | Starch, acrylic acid, and activated carbon from red alga Pterocladia capillacea with N,N′-methylenebisacrylamide/ammonium persulphate | 1428.6 | 8.0 | Langmuir | Pseudo-first order | [205] | |
| Starch-graft-polyacrylic acid, crosslinked with N,N’-methylene-bisacrylamide | 2967.7 | 5.8 | Langmuir | Pseudo-first order | [204] | ||
| Starch-Ni/Fe-layered double hydroxide composite | 387.6 | 3.0 | Langmuir | Pseudo-second order | [190] | ||
| Methyl orange | Starch-modified ZnMgAl-layered doubled hydroxides | 1555.0 | 7.0 | Langmuir | Pseudo-second order | [191] | |
| Rhodamine 6G | Carboxymethyl starch grafting with N-vinylpyrrolidone | 363.9 | 5.0 | N/R | N/R | [202] | |
| Reactive blue 49 | Chitosan | Chitosan crosslinked with citric acid esterified β-cyclodextrin | 498.0 | 2.0 | Langmuir | Pseudo-second order | [162] |
Disclaimer/Publisher’s Note: The statements, opinions and data contained in all publications are solely those of the individual author(s) and contributor(s) and not of MDPI and/or the editor(s). MDPI and/or the editor(s) disclaim responsibility for any injury to people or property resulting from any ideas, methods, instructions or products referred to in the content. |
© 2023 by the authors. Licensee MDPI, Basel, Switzerland. This article is an open access article distributed under the terms and conditions of the Creative Commons Attribution (CC BY) license (https://creativecommons.org/licenses/by/4.0/).
Share and Cite
Díaz Bukvic, G.; Rossi, E.; Errea, M.I. Polysaccharides as Economic and Sustainable Raw Materials for the Preparation of Adsorbents for Water Treatment. Polysaccharides 2023, 4, 219-255. https://doi.org/10.3390/polysaccharides4030016
Díaz Bukvic G, Rossi E, Errea MI. Polysaccharides as Economic and Sustainable Raw Materials for the Preparation of Adsorbents for Water Treatment. Polysaccharides. 2023; 4(3):219-255. https://doi.org/10.3390/polysaccharides4030016
Chicago/Turabian StyleDíaz Bukvic, Gema, Ezequiel Rossi, and María Inés Errea. 2023. "Polysaccharides as Economic and Sustainable Raw Materials for the Preparation of Adsorbents for Water Treatment" Polysaccharides 4, no. 3: 219-255. https://doi.org/10.3390/polysaccharides4030016
APA StyleDíaz Bukvic, G., Rossi, E., & Errea, M. I. (2023). Polysaccharides as Economic and Sustainable Raw Materials for the Preparation of Adsorbents for Water Treatment. Polysaccharides, 4(3), 219-255. https://doi.org/10.3390/polysaccharides4030016

