Structural and Phase Evolution in the Mg-Al System Leading to Lower Hydrogen Desorption Temperature
Abstract
1. Introduction
2. Materials and Methods
2.1. Thermodynamic Modeling
2.2. Material Preparation (MS, SPS, and Post-Synthesis Dispersion)
2.3. Materials Characterization
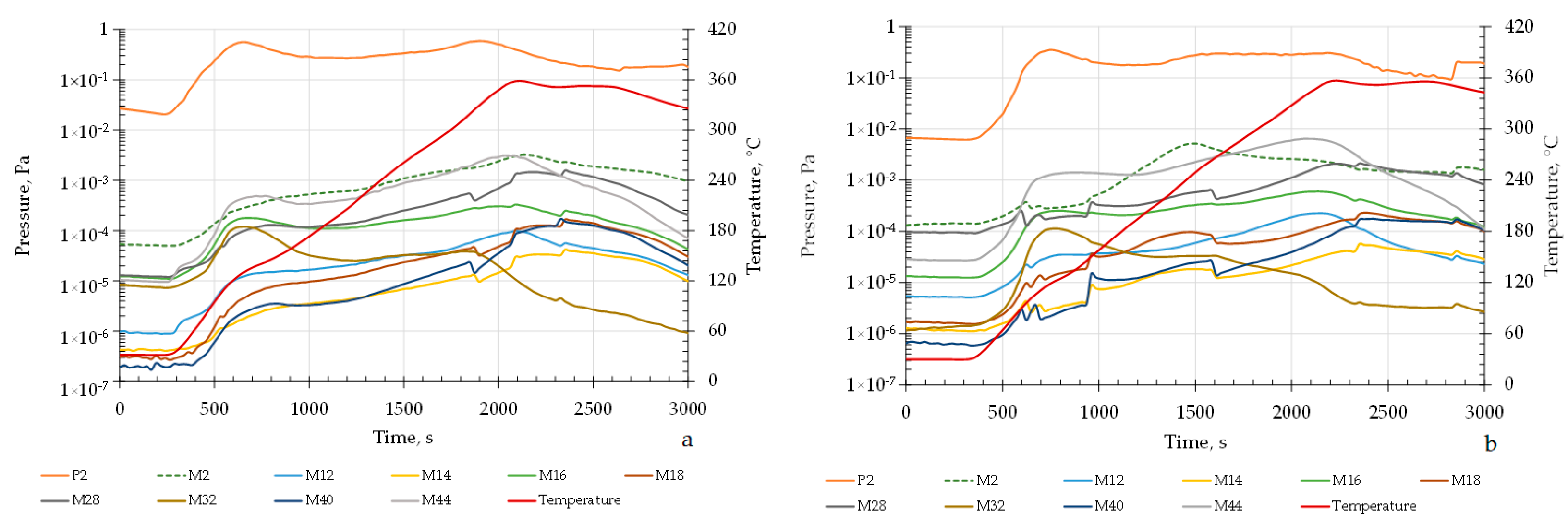
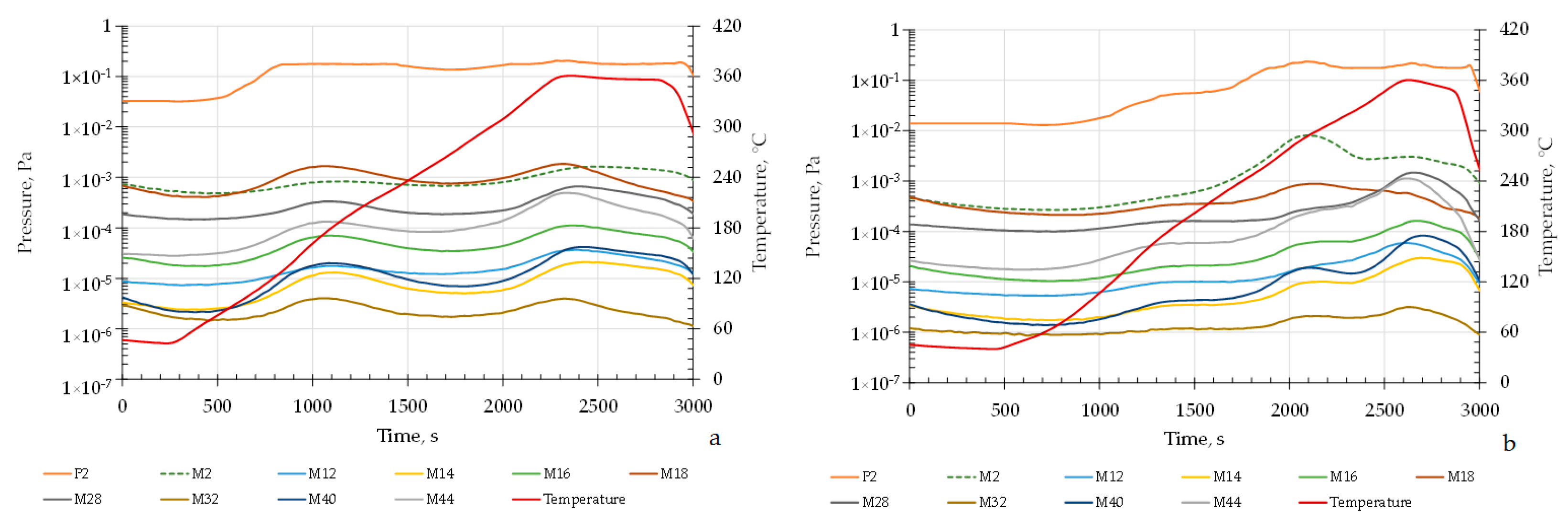
2.4. Sorption-Desorption Experiments
3. Results
3.1. Thermodynamic Calculations
3.2. Microstructural Evolution After MS
3.3. Microstructure After SPS
3.4. XRD Changes After Dispersion of MS-SPS-Dispersion Compacts
3.5. Thermal Stability
3.6. Hydrogen Sorption Behavior
4. Discussion
5. Conclusions
Author Contributions
Funding
Data Availability Statement
Conflicts of Interest
References
- Li, Z.; Zhang, M.; Xu, H. Revealing the Roles of Heat Transfer, Thermal Dynamics, and Reaction Kinetics in Hydrogenation/Dehydrogenation Processes for Mg-Based Metal Hydride Hydrogen Storage. Energies 2025, 18, 2924. [Google Scholar] [CrossRef]
- Chibani, A.; Boucetta, C.; Haddad, M.A.N.; Boukhari, A.; Fourar, I.; Merouani, S.; Badji, R.; Adjel, S.; Belkhiria, S.; Boukraa, M.; et al. A novel metal hydride reactor design: The effect of using copper, AlN and AlSi10Mg composite fins on the dehydrogenation process of LaNi5-Metal alloy. Int. J. Hydrogen Energy 2025, 141, 118–132. [Google Scholar] [CrossRef]
- Tuluhong, A.; Chang, Q.; Xie, L.; Xu, Z.; Song, T. Current Status of Green Hydrogen Production Technology: A Review. Sustainability 2024, 16, 9070. [Google Scholar] [CrossRef]
- Jiang, H.; Ding, Z.; Li, Y.; Lin, G.; Li, S.; Du, W.; Chen, Y.; Shaw, L.L.; Pan, F. Hierarchical interface engineering for advanced magnesium-based hydrogen storage: Synergistic effects of structural design and compositional modification. Chem. Sci. 2025, 16, 7610–7636. [Google Scholar] [CrossRef] [PubMed]
- Xu, Y.; Zhou, Y.; Li, Y.; Hao, Y.; Wu, P.; Ding, Z. Recent Advances in the Preparation Methods of Magnesium-Based Hydrogen Storage Materials. Molecules 2024, 29, 2451. [Google Scholar] [CrossRef] [PubMed]
- Parviz, R.; Heydarinia, A.; Khosravi, M.; Nili-Ahmadabadi, M. New Mg-based composite with layered-porous structure for enhanced hydrogen storage. J. Energy Storage 2025, 117, 116145. [Google Scholar] [CrossRef]
- Sun, Z.; Lu, X.; Nyahuma, F.M.; Yan, N.; Xiao, J.; Su, S.; Zhang, L. Enhancing Hydrogen Storage Properties of MgH2 by Transition Metals and Carbon Materials: A Brief Review. Front. Chem. 2020, 8, 552. [Google Scholar] [CrossRef]
- Sünbül, S.E.; Öztürk, S.; İçin, K. Structural and Hydrogen Storage Properties of Mg60-Ni40 and Mg80-Ni20 Alloys Prepared by Planar Flow Casting. J. Mater. Eng. Perform. 2020, 29, 6101–6107. [Google Scholar] [CrossRef]
- Li, J.; Li, B.; Shao, H.; Li, W.; Lin, H. Catalysis and Downsizing in Mg-Based Hydrogen Storage Materials. Catalysts 2018, 8, 89. [Google Scholar] [CrossRef]
- Lyu, J.; Elman, R.R.; Svyatkin, L.A.; Kudiiarov, V.N. Theoretical and experimental research of hydrogen solid solution in Mg and Mg–Al system. Materials 2022, 15, 1667. [Google Scholar] [CrossRef]
- Jangir, M.; Jain, I.P.; Gattia, D.M. Effect of Ti-based additives on the hydrogen storage properties of MgH2: A review. Hydrogen 2023, 4, 523–541. [Google Scholar] [CrossRef]
- Hanada, N.; Ichikawa, T.; Fujii, H. Catalytic effect of nanoparticle 3d transition metals on hydrogen storage properties in MgH2 prepared by mechanical milling. J. Phys. Chem. B 2005, 109, 7188–7194. [Google Scholar] [CrossRef]
- Schur, D.V.; Veziroglu, A.; Zaginaychenko, S.Y.; Matysina, Z.A.; Veziroglu, T.N.; Gabdullin, M.T.; Ramazanov, T.S.; Zolonarenko, A.D.; Zolonarenko, A.D. Theoretical studies of lithium–aluminum amid and ammonium as prospective hydrogen storage materials. Int. J. Hydrogen Energy 2019, 44, 24810–24820. [Google Scholar] [CrossRef]
- Matysina, Z.A.; Zaginaichenko, S.Y.; Schur, D.V.; Veziroglu, T.N.; Veziroglu, A.; Gabdullin, M.T.; Zolotarenko, A.D.; Zolotarenko, A.D. The mixed lithium–magnesium imide Li2Mg(NH)2 as a promising hydrogen storage material. Int. J. Hydrogen Energy 2018, 43, 16092–16106. [Google Scholar] [CrossRef]
- Liu, L.; Ren, D.; Liu, F. A Review of Dissimilar Welding Techniques for Magnesium Alloys to Aluminum Alloys. Materials 2014, 7, 3735–3757. [Google Scholar] [CrossRef] [PubMed]
- Yang, Q.; Jia, X.; Qin, Z.; Ding, X.; Li, Y. Enhancements in hydrogen storage properties of magnesium hydride supported by carbon fiber. Inorganics 2024, 12, 273. [Google Scholar] [CrossRef]
- Mintz, M.; Gavra, Z.; Kimmel, G.; Hadari, Z. The reaction of hydrogen with magnesium alloys and magnesium intermetallic compounds. J. Less Common Met. 1980, 74, 263–270. [Google Scholar] [CrossRef]
- Ren, L.; Li, Y.; Zhang, N.; Li, Z.; Lin, X.; Zhu, W.; Lu, C.; Ding, W.; Zou, J. Nanostructuring of Mg-Based Hydrogen Storage Materials: Recent Advances for Promoting Key Applications. Nano-Micro Lett. 2023, 15, 93. [Google Scholar] [CrossRef] [PubMed]
- Cermak, J.; Kral, L.; Roupcova, P. Improved hydrogen sorption kinetics in Mg modified by chosen catalysts. Int. J. Hydrogen Energy 2019, 44, 8315–8324. [Google Scholar] [CrossRef]
- Zaluska, A.; Zaluski, L.; Ström-Olsen, J.O. Structure, catalysis and atomic reactions on the nanoscale: A systematic approach to metal hydrides for hydrogen storage. Appl. Phys. A 2001, 72, 157–165. [Google Scholar] [CrossRef]
- Bouaricha, S.; Dodelet, J.P.; Guay, D.; Huot, J.; Boily, S.; Schulz, R. Hydriding behavior of Mg–Al and leached Mg–Al compounds prepared by high-energy ball milling. J. Alloys Compd. 2000, 297, 282–293. [Google Scholar] [CrossRef]
- Takamura, H.; Miyashita, T.; Kamegawa, A.; Okada, M. Grain size refinement in Mg–Al-based alloy by hydrogen treatment. J. Alloys Compd. 2003, 356, 804–808. [Google Scholar] [CrossRef]
- Liu, X.-Y.; Ohotnicky, P.P.; Adams, J.B.; Rohrer, C.L.; Hyland, R.W. Anisotropic surface segregation in Al–Mg alloys. Surf. Sci. 1997, 373, 357–370. [Google Scholar] [CrossRef]
- Lyu, J.; Elman, R.; Svyatkin, L.; Kudiiarov, V. Theoretical and experimental research of hydrogen storage properties of Mg and Mg–Al hydrides. J. Alloys Compd. 2022, 907, 168618. [Google Scholar] [CrossRef]
- Martinez-Garcia, A.; Estrada-Guel, I.; Reguera, E.; Amaro-Hernandez, R.; González, S.; Garay-Reyes, C.G.; Martínez-Sánchez, R. Design and mechanosynthesis of low-weight high-entropy alloys with hydrogen storage potential properties. Hydrogen 2024, 5, 670–684. [Google Scholar] [CrossRef]
- Skakov, M.; Kozhakhmetov, Y.; Mukhamedova, N.; Miniyazov, A.; Sokolov, I.; Urkunbay, A.; Zhanbolatova, G.; Tulenbergenov, T. Effect of high-temperature treatment on structural-phase state and mechanical properties of IMC of the Ti-25Al-25Nb at.% System. Materials 2022, 15, 5560. [Google Scholar] [CrossRef] [PubMed]
- Kabirian, F.; Mahmudi, R. Impression creep behavior of a cast AZ91 magnesium alloy. Metall. Mater. Trans. 2009, 40, 116–127. [Google Scholar] [CrossRef]
- Schmid-Fetzer, R.; Gröbner, J. Thermodynamic Database for Mg Alloys—Progress in Multicomponent Modeling. Metals 2012, 2, 377–398. [Google Scholar] [CrossRef]
- Matysina, Z.; Zolotarenko, A.; Kartel, M.; Veziroglu, A.; Veziroglu, T.; Gavrylyuk, N.; Schur, D.; Gabdullin, M.; Akhanova, N.; Ramazanov, T.; et al. Hydrogen in magnesium alanate Mg(AlH4)2, aluminum and magnesium hydrides. Int. J. Hydrogen Energy 2023, 48, 2271–2293. [Google Scholar] [CrossRef]
- Nadaraia, V.; Suchkov, S.N.; Imshinetskiy, I.M.; Mashtalyar, D.V.; Kosianov DYu Belov, E.A.; Sinebryukhov, S.L.; Gnedenkov, S.V. New superhydrophobic composite coatings on Mg-Mn-Ce magnesium alloy. J. Magnes. Alloys 2023, 11, 1721–1739. [Google Scholar] [CrossRef]
- Baklanov, V.; Zhanbolatova, G.; Skakov, M.; Miniyazov, A.; Sokolov, I.; Tulenbergenov, T.; Kozhakhmetov, Y.; Bukina, O.; Orazgaliev, N. Study of the temperature dependence of a carbidized layer formation on tungsten under plasma irradiation. Mater. Res. Express 2022, 9, 016403. [Google Scholar] [CrossRef]
- Crivello, J.-C.; Nobuki, T.; Kato, S.; Abe, M.; Kuji, T. Hydrogen absorption properties of the γ-Mg17Al12 phase. J. Adv. Sci. 2008, 19, 88–96. [Google Scholar] [CrossRef]
- Crivello, J.-C.; Nobuki, T.; Kato, S.; Abe, M.; Kuji, T. Hydrogen absorption properties of the γ-Mg17Al12 phase and its Al-richer domain. J. Alloys Compd. 2007, 446–447, 157–161. [Google Scholar] [CrossRef]
- Han, G.; Lu, Y.; Jia, H.; Ding, Z.; Wu, L.; Shi, Y.; Wang, G.; Luo, Q.; Chen, Y.; Wang, J.; et al. Magnesium-based energy materials: Progress, challenges, and perspectives. J. Magnes. Alloys 2023, 11, 3896–3925. [Google Scholar] [CrossRef]
- Mukhamedova, N.M.; Miniyazov, A.Z.; Zhanbolatova, G.K.; Ospanova, Z.N.; Sabyrtayeva, A.A.; Shaikieva, K.S. Evolution of phase transformations in the Mg–Ni–Ce system after mechanical synthesis and spark plasma sintering. Materials 2025, 18, 2131. [Google Scholar] [CrossRef]
- Aguey-Zinsou, K.F.; Ares-Fernandez, J.R. Hydrogen in magnesium: New perspectives toward functional stores. Energy Environ. Sci. 2010, 3, 526–543. [Google Scholar] [CrossRef]
- Wang, X.L.; Tu, J.P.; Zhang, P.L.; Zhang, X.B.; Chen, C.P.; Zhao, X.B. Hydrogen storage properties of the mechanically alloyed Mg–Mg17Al12 composite. Int. J. Hydrogen Energy 2007, 32, 2134–2142. [Google Scholar] [CrossRef]
- Ning, H.; Wei, G.; Chen, J.; Meng, Z.; Wang, Z.; Lan, Z.; Huang, X.; Chen, J.; Qing, P.; Liu, H.; et al. Investigation on hydrogenation performance of Mg17Al12 by adding Y. Sci. Rep. 2024, 14, 18115. [Google Scholar] [CrossRef]
- Andreasen, A. Hydrogenation properties of Mg–Al alloys. Int. J. Hydrogen Energy 2008, 33, 7489–7497. [Google Scholar] [CrossRef]
- Peng, W.; Lan, Z.; Wei, W.; Xu, L.; Guo, J. Investigation on preparation and hydrogen storage performance of Mg17Al12 alloy. Int. J. Hydrogen Energy 2016, 41, 1759–1765. [Google Scholar] [CrossRef]
- Li, Y.; Zhou, R.; Li, L.; Xiao, H.; Jiang, Y. Microstructure and Properties of Semi-Solid ZCuSn10P1 Alloy Processed with an Enclosed Cooling Slope Channel. Metals 2018, 8, 275. [Google Scholar] [CrossRef]
- Ryabicheva, M.; Zhigalenok, Y.; Abdimomyn, S.; Skakov, M.; Miniyazov, A.; Zhanbolatova, G.; Mukhamedova, N.; Ospanova, Z.; Djenizian, T.; Malchik, F. From lab to market: Economic viability of modern hydrogen evolution reaction catalysts. Fuel 2025, 395, 135227. [Google Scholar] [CrossRef]
- Lucaci, M.; Biris, A.R.; Orban, R.L.; Sbarcea, G.B.; Tsakiris, V. Effects of mechanical alloying on the hydrogen storage properties of the Mg76Ti12Fe12−xNix (x = 4, 8) materials. J. Alloys Compd. 2009, 484, 89–94. [Google Scholar] [CrossRef]
- Pasquini, L. The Effects of Nanostructure on the Hydrogen Sorption Properties of Magnesium-Based Metallic Compounds: A Review. Crystals 2018, 8, 106. [Google Scholar] [CrossRef]
- Mukhamedova, N.; Miniyazov, A.; Sabyrtayeva, A.; Tulenbergenov, T.; Oken, O. Dispersion of Sintered Mg-Ni-Ce Materials for Efficient Hydrogen Storage. Crystals 2025, 15, 743. [Google Scholar] [CrossRef]
- Batyrbekov, E.; Khasenov, M.; Gordienko, Y.; Samarkhanov, K.; Ponkratov, Y. Optical radiation from the sputtered species under gas excitation by the products of the 6Li(n,α)3H nuclear reaction. J. Lumin. 2020, 220, 116973. [Google Scholar] [CrossRef]
- Batyrbekov, E.; Khasenov, M.; Gordienko, Y.; Samarkhanov, K.; Kenzhina, I.E.; Kotlyar, A.; Miller, A.; Tskhe, V.; Bochkov, V. Experimental Facility to Study the Threshold Characteristics of Laser Action at the p-s-Transition of Noble Gas Atom upon Excitation by 6Li(n,α)3H Nuclear Reaction Products. Appl. Sci. 2022, 12, 12889. [Google Scholar] [CrossRef]
- Batyrbekov, E.; Khasenov, M.; Skakov, M.; Gordienko, Y.; Samarkhanov, K.; Kotlyar, A.; Bochkov, V. High-Energy Tritium Ion and α-Particle Release from the Near-Surface Layer of Lithium During Neutron Irradiation in the Nuclear Reactor Core. Fusion Sci. Technol. 2023, 80, 520–529. [Google Scholar] [CrossRef]
- Ponkratov, Y.; Batyrbekov, E.; Khasenov, M.; Samarkhanov, K.; Chikhray, Y. Application of High-Energy Tritium Ions and Alpha Particles Formed in 6Li(n,α)T Nuclear Reaction to Excite the Luminescence of Inert Gas Mixtures. Fusion Sci. Technol. 2021, 77, 327–332. [Google Scholar] [CrossRef]
- Bochkov, V.; Ponkratov, Y.; Nikitenkov, N.; Baklanova, Y.; Gordienko, Y.; Tulubayev, Y.; Samarkhanov, K.; Karambayeva, I. Determination of Thermophysical Properties of Prototypes of Tin-Lithium Alloy by Differential Scanning Calorimetry. J. Phys. Conf. Ser. 2022, 2155, 012016. [Google Scholar] [CrossRef]
- Kulsartov, T.; Kenzhina, I.; Ponkratov, Y.; Gordienko, Y.; Zaurbekova, Z.; Samarkhanov, K.; Askerbekov, S.; Kenzhin, Y.A.; Yelishenkov, A.B. Investigation of the Interaction of Deuterium with Sn73Li27 Tin-Lithium Alloy. Nucl. Mater. Energy 2024, 41, 101825. [Google Scholar] [CrossRef]
- Kenzhin, Y.; Kenzhina, I.; Kulsartov, T.; Zaurbekova, Z.; Askerbekov, S.; Ponkratov, Y.; Gordienko, Y.; Yelishenkov, A.; Udartsev, S. Study of Hydrogen Sorption and Desorption Processes of Zirconium Beryllide ZrBe2. Nucl. Mater. Energy 2024, 39, 101634. [Google Scholar] [CrossRef]
- Shi, R.; Luo, A.A. Applications of CALPHAD modeling and databases in advanced lightweight metallic materials. Calphad 2018, 62, 1–17. [Google Scholar] [CrossRef]
- Suryanarayana, C. Mechanical alloying and milling. Prog. Mater. Sci. 2001, 46, 1–184. [Google Scholar] [CrossRef]
- Calka, A.; Wexler, D. Mechanical milling assisted by electrical discharge. Nature 2002, 419, 147–151. [Google Scholar] [CrossRef] [PubMed]
- Miniyazov, A.; Skakov, M.; Tulenbergenov, T.; Sokolov, I.; Mukhamedova, N.; Agatanova, A.; Sabyrtaeva, A.; Akhmedi, T. Structural evolution of carbon from methane pyrolysis in microwave plasma. Carbon Trends 2025, 21, 100552. [Google Scholar] [CrossRef]
- Malik, S.; Zhumadil, K.; Avchukir, K.; Skakov, M.; Miniyazov, A.; Mukhamedova, N.; Zhanbolatova, G.; Malchik, F. Enhancing electrochemical performance of LaNi5 anodes using MXene as a multifunctional additive for Ni-MH batteries. J. Electroanal. Chem. 2025, 996, 119409. [Google Scholar] [CrossRef]
- Abdimomyn, S.; Zhigalenok, Y.; Skakov, M.; Miniyazov, A.; Mukhamedova, N.; Malchik, F. Fundamental aspects and electrochemical investigation of metal hydride electrodes: Principles, methods, and practical insights. Applied Physics Reviews. Appl. Phys. Rev. 2025, 12, 031331. [Google Scholar] [CrossRef]
- Huot, J.; Liang, G.; Boily, S.; Van Neste, A.; Schulz, R. Structural study and hydrogen sorption kinetics of ball-milled magnesium hydride. J. Alloys Compd. 1999, 293–295, 495–500. [Google Scholar] [CrossRef]
- Kang, Y.; Zhang, K.; Lin, X. Surface Modifications of Magnesium-Based Materials for Hydrogen Storage and Nickel–Metal Hydride Batteries: A Review. Coatings 2023, 13, 1100. [Google Scholar] [CrossRef]
- Xu, Y.; Zhou, Y.; Li, Y.; Hao, Y.; Wu, P.; Ding, Z. Magnesium-Based Hydrogen Storage Alloys: Advances, Strategies, and Future Outlook for Clean Energy Applications. Molecules 2024, 29, 2525. [Google Scholar] [CrossRef]
- Zhang, J.; Hu, J.; Xiao, H.; Shen, H.; Xie, L.; Sun, G.; Zu, X. A First-Principles Study of Hydrogen Desorption from High Entropy Alloy TiZrVMoNb Hydride Surface. Metals 2021, 11, 553. [Google Scholar] [CrossRef]
- Zhou, C.; Zhang, J.; Bowman, R.C., Jr.; Fang, Z.Z. Roles of Ti-Based Catalysts on Magnesium Hydride and Its Hydrogen Storage Properties. Inorganics 2021, 9, 36. [Google Scholar] [CrossRef]
- Skakov, M.K.; Kabdrakhmanova, S.K.; Akatan, K.; Zhilkashinova, A.M.; Shaimardan, E.; Beisebekov, M.M.; Nurgamit, K.; Baklanov, V.V.; Koyanbayev, Y.T.; Miniyazov, A.Z.; et al. La2CuO4 Electrode Material For Low Temperature Solid Oxide Fuel Cells. ES Mater. Manuf. 2023, 22, 969. [Google Scholar] [CrossRef]
- Mukhamedova, N.; Kozhakhmetov, Y.; Skakov, M.; Kurbanbekov, S.; Mukhamedov, N. Microstructural stability of a two-phase (O + B2) alloy of the Ti–25Al–25Nb system (at.%) during thermal cycling in a hydrogen atmosphere. AIMS Mater. Sci. 2022, 9, 270–282. [Google Scholar] [CrossRef]
- Zhu, M.; Lu, Y.; Ouyang, L.; Wang, H. Thermodynamic Tuning of Mg-Based Hydrogen Storage Alloys: A Review. Materials 2013, 6, 4654–4674. [Google Scholar] [CrossRef]
- Kozhahmetov, Y.; Mukhamedova, N.; Urkunbay, A.; Yerkezhan, T.; Yermolenko, M. Structural and mechanical properties of heat resistant titanium allows of the Ti-24.5Al-24.5Nb (at. %) system. Mater. Today Proc. 2023, 81, 1216–1222. [Google Scholar] [CrossRef]
- Leiva, D.R.; Jorge, A.M., Jr.; Ishikawa, T.T.; Botta, W.J. Hydrogen Storage in Mg and Mg-Based Alloys and Composites Processed by Severe Plastic Deformation. Mater. Trans. 2019, 60, 1561–1570. [Google Scholar] [CrossRef]
- Wan, L.F.; Liu, Y.; Cho, E.S.; Forster, J.D.; Jeong, S.; Wang, H.; Urban, J.J.; Guo, J.; Prendergast, D. Atomically thin interfacial suboxide key to hydrogen storage performance enhancements of magnesium nanoparticles encapsulated in reduced graphene oxide. Nano Lett. 2017, 17, 5540–5545. [Google Scholar] [CrossRef]
- Gavra, Z.; Hadari, Z.; Mintz, M.H. Effects of nickel and indium ternary additions on hydrogenation of Mg–Al intermetallics. J. Inorg. Nucl. Chem. 1981, 43, 1763–1768. [Google Scholar] [CrossRef]
- de Lima-Andreani, G.F.; Fazan, L.H.; Baptistella, E.B.; Oliveira, B.D.; Cardoso, K.R.; Travessa, D.N.; Neves, A.M.; Jorge, A.M. The Effect of Air Exposure on the Hydrogenation Properties of 2Mg-Fe Composite after Mechanical Alloying and Accumulative Roll Bonding (ARB). Metals 2023, 13, 1544. [Google Scholar] [CrossRef]
- Kudiiarov, V.N.; Kenzhiyev, A.; Elman, R.R.; Kurdyumov, N.; Ushakov, I.A.; Tereshchenko, A.V.; Laptev, R.S.; Kruglyakov, M.A.; Khomidzoda, P.I. The Defect Structure Evolution in MgH2-EEWNi Composites in Hydrogen Sorption–Desorption Processes. Metals 2025, 15, 72. [Google Scholar] [CrossRef]
- Shang, Y.; Pistidda, C.; Gizer, G.; Klassen, T.; Dornheim, M. Mg-based materials for hydrogen storage. J. Magnes. Alloys 2021, 9, 1837–1860. [Google Scholar] [CrossRef]
- Jain, I.P.; Lal, C.; Jain, A. Hydrogen storage in Mg: A most promising material. Int. J. Hydrogen Energy 2010, 35, 5133–5144. [Google Scholar] [CrossRef]
- Lv, P.; Guzik, M.N.; Sartori, S.; Huot, J. Effect of ball milling and cryomilling on the microstructure and first hydrogenation properties of TiFe + 4 wt.% Zr alloy. J. Mater. Res. Technol. 2019, 8, 1828–1834. [Google Scholar] [CrossRef]
- Lass, E.A. Hydrogen storage measurements in novel Mg-based nanostructured alloys produced via rapid solidification and devitrification. Int. J. Hydrogen Energy 2011, 36, 10787–10796. [Google Scholar] [CrossRef]
- Williams, M.; Nechaev, A.N.; Lototskyy, M.V.; Yartys, V.A.; Solberg, J.K.; Denys, R.V.; Pineda, C.; Li, Q.; Linkov, V.M. Influence of aminosilane surface functionalization of rare earth hydride-forming alloys on palladium treatment by electroless deposition and hydrogen sorption kinetics of composite materials. Mater. Chem. Phys. 2009, 115, 136–141. [Google Scholar] [CrossRef]
- Parambhath, V.B.; Nagar, R.; Ramaprabhu, S. Effect of Nitrogen Doping on Hydrogen Storage Capacity of Palladium Decorated Graphene. Langmuir 2012, 28, 7826–7833. [Google Scholar] [CrossRef]
- Charbonnier, M.; Romand, M.; Goepfert, Y.; Leonard, D.; Bessueille, F.; Bouadi, M. Palladium(+2) reduction: A key step for the electroless Ni metallization of insulating substrates by a tin-free process. Thin Solid Film. 2006, 515, 1623–1633. [Google Scholar] [CrossRef]
- Shan, X.; Payer, J.H.; Jennings, W.D. Mechanism of increased performance and durability of Pd-treated metal hydriding alloys. Int. J. Hydrogen Energy 2009, 34, 363–369. [Google Scholar] [CrossRef]
- Ding, Z.; Li, Y.; Yang, H.; Lu, Y.; Tan, J.; Li, J.; Li, Q.; Chen, Y.; Shaw, L.L.; Pan, F. Tailoring MgH2 for hydrogen storage through nanoengineering and catalysis. J. Magnes. Alloys 2022, 10, 2946–2967. [Google Scholar] [CrossRef]
- Li, F.; Liu, D.; Sun, K.; Yang, S.; Peng, F.; Zhang, K.; Guo, G.; Si, Y. Towards a Future Hydrogen Supply Chain: A Review of Technologies and Challenges. Sustainability 2024, 16, 1890. [Google Scholar] [CrossRef]
- Habibi, M.; Hosseini, M.G.; Wang, K. Toward sustainable energy: A comprehensive review of hydrogen production, storage, and utilization. Renew. Sustain. Energy Rev. 2025, 226, 116193. [Google Scholar] [CrossRef]
- Konovalov, D.; Tolstorebrov, I.; Iwamoto, Y.; Lamb, J.J. Hydrogen and Japan’s Energy Transition: A Blueprint for Carbon Neutrality. Hydrogen 2025, 6, 61. [Google Scholar] [CrossRef]
- Xu, Y.; Yang, X.; Li, Y.; Zhao, Y.; Shu, Y.; Zhang, G.; Yang, T.; Liu, Y.; Wu, P.; Ding, Z. Rare-Earth Metal-Based Materials for Hydrogen Storage: Progress, Challenges, and Future Perspectives. Nanomaterials 2024, 14, 1671. [Google Scholar] [CrossRef]
- Garbiec, D.; Leshchynsky, V.; García-Junceda, A.; Swadźba, R.; Siwak, P.; Adamek, G.; Radwański, K. Microstructure and Mechanical Properties of Spark Plasma Sintered and Severely Deformed AA7075 Alloy. Metals 2021, 11, 1433. [Google Scholar] [CrossRef]
- Dong, X.; Li, Y.; Zhai, Y.; Liu, Z.; Zhang, G.; Yang, F. Study on Microstructure and Hydrogen Storage Properties of Mg80Ni16−xAlxY4 (x = 2, 4, 8) Alloys. Metals 2024, 14, 126. [Google Scholar] [CrossRef]









| Symbol/Abbreviation | Description |
|---|---|
| MS | Mechanical synthesis |
| SPS | Spark plasma sintering |
| XRD | X-ray diffraction |
| SEM | Scanning electron microscopy |
| PM | Powder mixture |
| BPR | Ball-to-powder ratio |
| wt.% | Weight percent |
| PDF-4 AXIOM | Powder Diffraction File database used in phase analysis |
| Cu-Kα | Copper K-alpha X-ray radiation source |
| BSE | Backscattered Electrons |
| TGA | Thermogravimetric Analysis |
| DSC | Differential Scanning Calorimetry |
| FWHM | Full Width at Half Maximum |
| Phase | Mg (MS)/Mg (SPS)/Mg (Dispersion) | Al (MS)/Al (SPS)/Al (Dispersion) | Mg17Al12 (MS)/Mg17Al12 (SPS)/Mg17Al12 (Dispersion) |
|---|---|---|---|
| 2θ (Degree) | 36.6 | 38.5 | 65.2 |
| FWHM (Degree) | 0.30/0.15/0.25 | 0.32/0.18/0.28 | 0.40/0.18/0.30 |
| Crystallite Size (nm) | 27/54/32 | 26/46/29 | 20/45/27 |
| Phase | Mg (MS)/Mg (SPS)/Mg (Dispersion) | Al (MS)/Al (SPS)/Al (Dispersion) | Mg17Al12 (MS)/Mg17Al12 (SPS)/Mg17Al12 (Dispersion) |
|---|---|---|---|
| 2θ (Degree) | 36.6 | 38.5 | 65.2 |
| FWHM (Degree) | 0.45/0.20/0.35 | 0.48/0.22/0.36 | 0.55/0.25/0.40 |
| Crystallite Size (nm) | 18/41/23 | 17/37/22 | 15/33/21 |
| Phase | Stage of the Technological Process | 2θ (°) | FWHM (°) | D (nm) | ε (×10−3) |
|---|---|---|---|---|---|
| Mg | MS | 36.7 | 0.22 | 42 | 1.9 |
| SPS | 36.6 | 0.18 | 49 | 1.5 | |
| Dispersion | 36.8 | 0.28 | 31 | 2.5 | |
| Al | MS | 38.5 | 0.26 | 35 | 2.3 |
| SPS | 38.4 | 0.21 | 42 | 1.7 | |
| Dispersion | 38.5 | 0.32 | 28 | 2.9 | |
| Mg17Al12 | MS | 65.1 | 0.24 | 37 | 2.1 |
| SPS | 65.0 | 0.20 | 43 | 1.6 | |
| Dispersion | 65.1 | 0.33 | 26 | 3.0 |
| Sample/Processing Conditions | Mg17Al12 Phase Fraction (%) | Hydrogen Capacity (wt.% H2) | Onset Desorption Temperature (°C) | Desorption Peak Temperature (°C) | Characteristics |
|---|---|---|---|---|---|
| MS + SPS + dispersion (BPR 20:1) | 28 ± 2 | 4.2 ± 0.1 | 200 | 290 | Homogeneous microstructure, low oxidation |
| MS + SPS + dispersion (BPR 30:1) | 42 ± 3 | 4.9 ± 0.1 | 180 | 250 | Increased defect density, accelerated kinetics, partial oxidation |
| MgH2 ([20,46]) | — | 7.6 | 350 | 380 | High desorption temperature, slow kinetics |
| Mg17Al12 ([69]) | 100 | 3.0–3.2 | 180–200 | — | Catalytically active but low capacity |
Disclaimer/Publisher’s Note: The statements, opinions and data contained in all publications are solely those of the individual author(s) and contributor(s) and not of MDPI and/or the editor(s). MDPI and/or the editor(s) disclaim responsibility for any injury to people or property resulting from any ideas, methods, instructions or products referred to in the content. |
© 2025 by the authors. Licensee MDPI, Basel, Switzerland. This article is an open access article distributed under the terms and conditions of the Creative Commons Attribution (CC BY) license (https://creativecommons.org/licenses/by/4.0/).
Share and Cite
Miniyazov, A.Z.; Mukhamedova, N.M.; Sokolov, I.A.; Tulenbergenov, T.R.; Ospanova, Z.N.; Uazyrkhanova, G.K.; Bekmagambetova, B.Y.; Oken, O.; Zhakiya, R.Y. Structural and Phase Evolution in the Mg-Al System Leading to Lower Hydrogen Desorption Temperature. Hydrogen 2025, 6, 108. https://doi.org/10.3390/hydrogen6040108
Miniyazov AZ, Mukhamedova NM, Sokolov IA, Tulenbergenov TR, Ospanova ZN, Uazyrkhanova GK, Bekmagambetova BY, Oken O, Zhakiya RY. Structural and Phase Evolution in the Mg-Al System Leading to Lower Hydrogen Desorption Temperature. Hydrogen. 2025; 6(4):108. https://doi.org/10.3390/hydrogen6040108
Chicago/Turabian StyleMiniyazov, Arman Z., Nuriya M. Mukhamedova, Igor A. Sokolov, Timur R. Tulenbergenov, Zhanna N. Ospanova, Gulzhaz K. Uazyrkhanova, Balzhan Y. Bekmagambetova, Ospan Oken, and Riza Y. Zhakiya. 2025. "Structural and Phase Evolution in the Mg-Al System Leading to Lower Hydrogen Desorption Temperature" Hydrogen 6, no. 4: 108. https://doi.org/10.3390/hydrogen6040108
APA StyleMiniyazov, A. Z., Mukhamedova, N. M., Sokolov, I. A., Tulenbergenov, T. R., Ospanova, Z. N., Uazyrkhanova, G. K., Bekmagambetova, B. Y., Oken, O., & Zhakiya, R. Y. (2025). Structural and Phase Evolution in the Mg-Al System Leading to Lower Hydrogen Desorption Temperature. Hydrogen, 6(4), 108. https://doi.org/10.3390/hydrogen6040108

