Binding Constants of Clinical Drugs and Other Organic Ligands with Human and Mammalian Serum Albumins
Abstract
1. Introduction
2. Materials and Methods
2.1. Definition of the Binding Constants
2.2. Dataset Structure and Criteria of Data Selection
- 1.
- All in vivo studies of plasma binding or any experiments with serum from living organisms containing a mixture of proteins were excluded;
- 2.
- The experiments in the presence of any organic or inorganic substances (e.g., non-alkali metal ions), other than buffer/medium components, were rejected. In particular, the experiments involving albumin-binding site markers were excluded. It should be understood that commonly used Sudlow I/II site markers, such as ibuprofen, ketoprofen, or indomethacin, were in fact capable of binding with several different sites of albumin molecules as evidenced by X-ray studies [12]. Thus, the possibility of the selective displacement of other compounds with these markers was questionable;
- 3.
- The data for the binding of albumin with peptides and macromolecules, as well as with noncovalently bound supramolecular associates, were not included;
- 4.
- The binding constants determined from HPLC experiments using columns with chemically bonded protein-stationary phases, as well as measurements using albumin immobilized on beads, were excluded. In such experiments, ligands interacted with albumin in a different phase which may have had different binding properties (affected by the properties of the support material and bonding density) than a dissolved albumin molecule;
- 5.
- The results with an indirect relationship or no relationship (e.g., hypothetical or correlation-based) with the protein–ligand binding constant in solution were excluded. An example was the measuring of the inhibition of glycation [13] or albumin enzymatic activity by the ligands;
- 6.
- The binding/dissociation constant values were not calculated from the experimental data if the authors of the original research did not provide them in an explicit way.
3. Results and Discussion
3.1. Experimental Methods
3.2. Albumin Source Organisms
3.3. Albumin Concentration
3.4. Buffer Composition and pH Value
3.5. Temperature
3.6. Averaging Values over Multiple Independent Studies
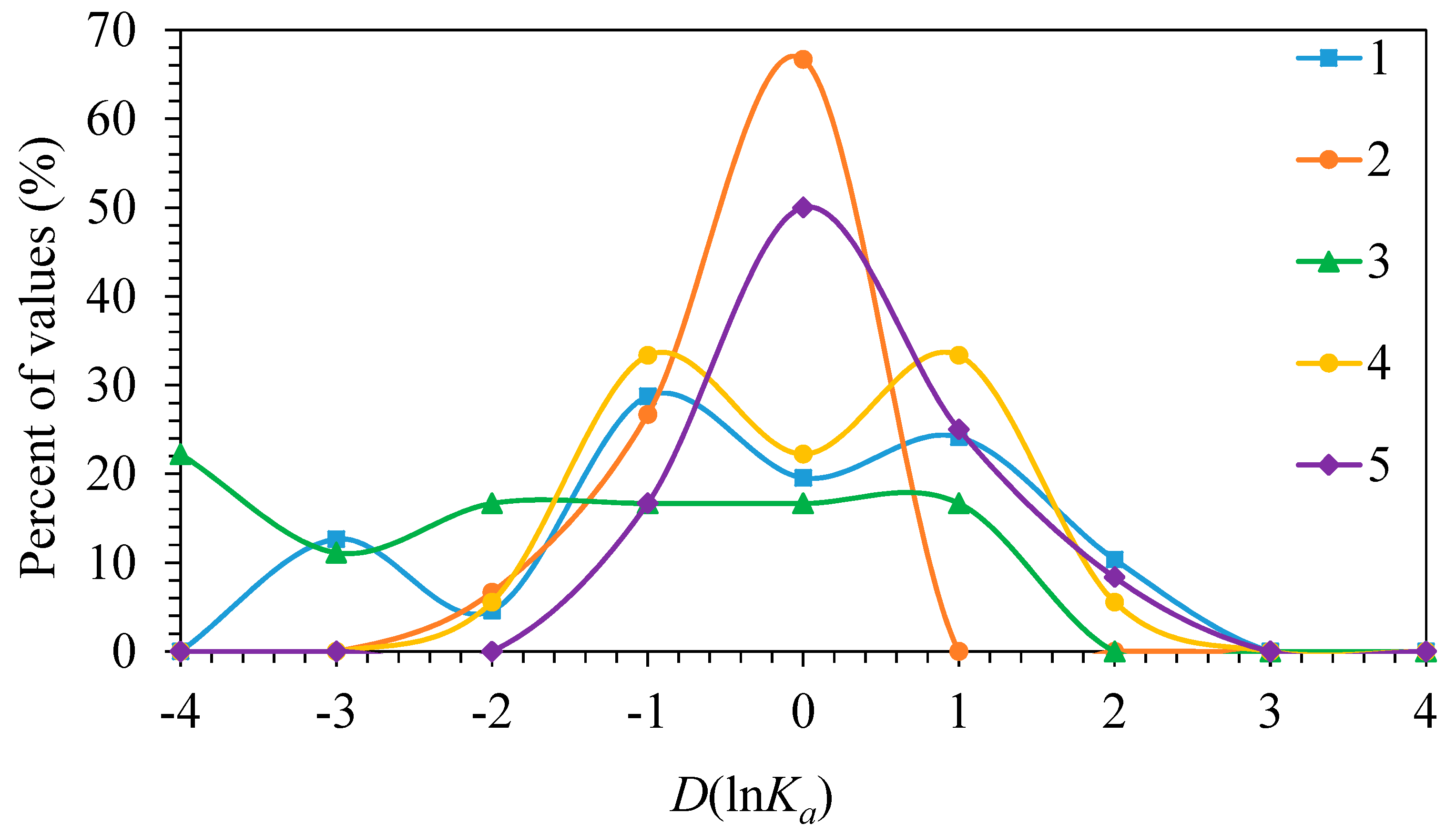
3.7. Factors Determining Data Variability
4. Conclusions
Supplementary Materials
Author Contributions
Funding
Data Availability Statement
Conflicts of Interest
References
- Fasano, M.; Curry, S.; Terreno, E.; Galliano, M.; Fanali, G.; Narciso, P.; Notari, S.; Ascenzi, P. The extraordinary ligand binding properties of human serum albumin. IUBMB Life 2005, 57, 787–796. [Google Scholar] [CrossRef]
- Churchwell, M.D.; Pasko, D.A.; Smoyer, W.E.; Mueller, B.A. Enhanced clearance of highly protein-bound drugs by albumin-supplemented dialysate during modeled continuous hemodialysis. Nephrol. Dial. Transplant. 2008, 24, 231–238. [Google Scholar] [CrossRef]
- Shargel, L.; Wu-Pong, S.; Yu, A.B.C. Applied Biopharmaceutics & Pharmacokinetics, 5th ed.; Appleton & Lange Reviews/McGraw-Hill, Medical Pub. Division: New York, NY, USA, 2005; ISBN 978-0-07-137550-4. [Google Scholar]
- Wanat, K. Biological barriers, and the influence of protein binding on the passage of drugs across them. Mol. Biol. Rep. 2020, 47, 3221–3231. [Google Scholar] [CrossRef]
- Goldstein, A. The interactions of drugs and plasma proteins. J. Pharmacol. Exp. Ther. 1949, 95, 102–165. [Google Scholar] [PubMed]
- Thordarson, P. Binding Constants and Their Measurement. In Supramolecular Chemistry; Gale, P.A., Steed, J.W., Eds.; John Wiley & Sons, Ltd.: Chichester, UK, 2012; ISBN 978-0-470-74640-0. [Google Scholar]
- Gaulton, A.; Hersey, A.; Nowotka, M.; Bento, P.A.; Chambers, J.; Mendez, D.; Mutowo, P.; Atkinson, F.; Bellis, L.; Uhalte, E.C.; et al. The ChEMBL database in 2017. Nucleic Acids Res. 2017, 45, D945–D954. [Google Scholar] [CrossRef]
- Gilson, M.K.; Liu, T.; Baitaluk, M.; Nicola, G.; Hwang, L.; Chong, J. Binding DB in 2015: A public database for medicinal chemistry, computational chemistry and systems pharmacology. Nucleic Acids Res. 2016, 44, D1045–D1053. [Google Scholar] [CrossRef] [PubMed]
- Ghuman, J.; Zunszain, P.A.; Petitpas, I.; Bhattacharya, A.A.; Otagiri, M.; Curry, S. Structural Basis of the Drug-binding Specificity of Human Serum Albumin. J. Mol. Biol. 2005, 353, 38–52. [Google Scholar] [CrossRef]
- Scatchard, G. The Attractions of Proteins for Small Molecules and Ions. Ann. N. Y. Acad. Sci. 1949, 51, 660–672. [Google Scholar] [CrossRef]
- Klotz, I.M. Ligand-Receptor Complexes: Origin and Development of the Concept. J. Biol. Chem. 2004, 279, 1–12. [Google Scholar] [CrossRef] [PubMed]
- Czub, M.P.; Handing, K.B.; Venkataramany, B.S.; Cooper, D.R.; Shabalin, I.G.; Minor, W. Albumin-Based Transport of Nonsteroidal Anti-Inflammatory Drugs in Mammalian Blood Plasma. J. Med. Chem. 2020, 63, 6847–6862. [Google Scholar] [CrossRef]
- Anguizola, J.; Matsuda, R.; Barnaby, O.S.; Hoy, K.S.; Wa, C.; De Bolt, E.; Koke, M.; Hage, D.S. Review: Glycation of human serum albumin. Clin. Chim. Acta 2013, 425, 64–76. [Google Scholar] [CrossRef] [PubMed]
- Vuignier, K.; Schappler, J.; Veuthey, J.-L.; Carrupt, P.-A.; Martel, S. Drug–protein binding: A critical review of analytical tools. Anal. Bioanal. Chem. 2010, 398, 53–66. [Google Scholar] [CrossRef]
- Spector, A.A. Fatty acid binding to plasma albumin. J. Lipid Res. 1975, 16, 165–179. [Google Scholar] [CrossRef]
- Van de Weert, M.; Stella, L. Fluorescence quenching and ligand binding: A critical discussion of a popular methodology. J. Mol. Struct. 2011, 998, 144–150. [Google Scholar] [CrossRef]
- Beltran, J.L.; Codony, R.; Prat, M.D. Evaluation of stability constants from multi-wavelength absorbance data: Program STAR. Anal. Chim. Acta 1993, 276, 441–454. [Google Scholar] [CrossRef]
- Gans, P.; Sabatini, A.; Vacca, A. Investigation of equilibria in solution. Determination of equilibrium constants with the hyperquad suite of programs. Talanta 1996, 43, 1739–1753. [Google Scholar] [CrossRef]
- Barton, P.; Austin, R.; Fessey, R. In Vitro Models for Plasma Binding and Tissue Storage. In Comprehensive Medicinal Chemistry II; Elsevier: Amsterdam, The Netherlands, 2007; pp. 321–340. ISBN 978-0-08-045044-5. [Google Scholar]
- Freire, E.; Schön, A.; Velazquez-Campoy, A. Chapter 5 Isothermal Titration Calorimetry. In Methods in Enzymology; Elsevier: Amsterdam, The Netherlands, 2009; Volume 455, pp. 127–155. ISBN 978-0-12-374596-5. [Google Scholar]
- Houtman, J.C.D.; Brown, P.H.; Bowden, B.; Yamaguchi, H.; Appella, E.; Samelson, L.E.; Schuck, P. Studying multisite binary and ternary protein interactions by global analysis of isothermal titration calorimetry data in sedphat: Application to adaptor protein complexes in cell signaling. Protein Sci. 2007, 16, 30–42. [Google Scholar] [CrossRef]
- Brautigam, C.A. Fitting two- and three-site binding models to isothermal titration calorimetric data. Methods 2015, 76, 124–136. [Google Scholar] [CrossRef]
- Colclough, N.; Ruston, L.; Wood, J.M.; Macfaul, P.A. Species differences in drug plasma protein binding. MedChemComm 2014, 5, 963–967. [Google Scholar] [CrossRef]
- Gleeson, M.P. Plasma Protein Binding Affinity and Its Relationship to Molecular Structure: An In-silico Analysis. J. Med. Chem. 2007, 50, 101–112. [Google Scholar] [CrossRef]
- Ziv, G.; Sulman, F.G. Binding of Antibiotics to Bovine and Ovine Serum. Antimicrob. Agents Chemother. 1972, 2, 206–213. [Google Scholar] [CrossRef][Green Version]
- Bou-Abdallah, F.; Sprague, S.E.; Smith, B.M.; Giffune, T.R. Binding thermodynamics of Diclofenac and Naproxen with human and bovine serum albumins: A calorimetric and spectroscopic study. J. Chem. Thermodyn. 2016, 103, 299–309. [Google Scholar] [CrossRef]
- Maciążek-Jurczyk, M.; Sułkowska, A.; Bojko, B.; Równicka-Zubik, J.; Sułkowski, W.W. A spectroscopic study of phenylbutazone and aspirin bound to serum albumin in rheumatoid diseases. Spectrochim. Acta Part A Mol. Biomol. Spectrosc. 2011, 82, 181–190. [Google Scholar] [CrossRef]
- Maciążek-Jurczyk, M. Phenylbutazone and ketoprofen binding to serum albumin. Fluorescence study. Pharmacol. Rep. 2014, 66, 727–731. [Google Scholar] [CrossRef]
- Goto, S.; Yoshitomi, H.; Miyamoto, A.; Inoue, K.; Nakano, M. Binding of several loop diuretics to serum albumin and human serum from patients with renal failure and liver disease. J. Pharmacobio-Dyn. 1980, 3, 667–676. [Google Scholar] [CrossRef]
- Oyekan, A.O.; Thomas, W.O.A. The energetics of the interaction of piroxicam with plasma albumin. J. Pharm. Pharmacol. 2011, 36, 831–834. [Google Scholar] [CrossRef] [PubMed]
- Silva, D.; Cortez, C.; Louro, S. Chlorpromazine interactions to sera albumins: A study by the quenching of fluorescence. Spectrochim. Acta Part A Mol. Biomol. Spectrosc. 2004, 60, 1215–1223. [Google Scholar] [CrossRef]
- Seedher, N.; Bhatia, S. Mechanism of interaction of the non-steroidal antiinflammatory drugs meloxicam and nimesulide with serum albumin. J. Pharm. Biomed. Anal. 2005, 39, 257–262. [Google Scholar] [CrossRef] [PubMed]
- Fountoulaki, S.; Perdih, F.; Turel, I.; Kessissoglou, D.P.; Psomas, G. Non-steroidal anti-inflammatory drug diflunisal interacting with Cu(II). Structure and biological features. J. Inorg. Biochem. 2011, 105, 1645–1655. [Google Scholar] [CrossRef] [PubMed]
- Poór, M.; Li, Y.; Matisz, G.; Kiss, L.; Kunsági-Máté, S.; Kőszegi, T. Quantitation of species differences in albumin–ligand interactions for bovine, human and rat serum albumins using fluorescence spectroscopy: A test case with some Sudlow’s site I ligands. J. Lumin. 2014, 145, 767–773. [Google Scholar] [CrossRef]
- Molodenskiy, D.; Shirshin, E.; Tikhonova, T.; Gruzinov, A.; Peters, G.; Spinozzi, F. Thermally induced conformational changes and protein–protein interactions of bovine serum albumin in aqueous solution under different pH and ionic strengths as revealed by SAXS measurements. Phys. Chem. Chem. Phys. 2017, 19, 17143–17155. [Google Scholar] [CrossRef]
- Shang, L.; Wang, Y.; Jiang, J.; Dong, S. pH-Dependent Protein Conformational Changes in Albumin:Gold Nanoparticle Bioconjugates: A Spectroscopic Study. Langmuir 2007, 23, 2714–2721. [Google Scholar] [CrossRef] [PubMed]
- Honoré, B.; Brodersen, R. Albumin binding of anti-inflammatory drugs. Utility of a site-oriented versus a stoichiometric analysis. Mol. Pharmacol. 1984, 25, 137–150. [Google Scholar] [PubMed]
- Rimac, H.; Tandarić, T.; Vianello, R.; Bojić, M. Indomethacin Increases Quercetin Affinity for Human Serum Albumin: A Combined Experimental and Computational Study and Its Broader Implications. Int. J. Mol. Sci. 2020, 21, 5740. [Google Scholar] [CrossRef] [PubMed]
- Trivedi, V.D.; Vorum, H.; Honoré, B.; Qasim, M.A. Molecular Basis of Indomethacin-Human Serum Albumin Interaction. J. Pharm. Pharmacol. 2010, 51, 591–600. [Google Scholar] [CrossRef] [PubMed]
- Honoré, B.; Brodersen, R.; Robertson, A. Interaction of Indomethacin with Adult Human Albumin and Neonatal Serum. Dev. Pharmacol. Ther. 1983, 6, 347–355. [Google Scholar] [CrossRef] [PubMed]
- Mason, R.W.; McQueen, E.G. Protein Binding of Indomethacin: Binding of Indomethacin to Human Plasma Albumin and its Displacement from Binding by Ibuprofen, Phenylbutazone and Salicylate, In Vitro. Pharmacology 1974, 12, 12–19. [Google Scholar] [CrossRef]
- Bech, E.M.; Martos-Maldonado, M.C.; Wismann, P.; Sørensen, K.K.; Van Witteloostuijn, S.B.; Thygesen, M.B.; Vrang, N.; Jelsing, J.; Pedersen, S.L.; Jensen, K.J. Peptide Half-Life Extension: Divalent, Small-Molecule Albumin Interactions Direct the Systemic Properties of Glucagon-Like Peptide 1 (GLP-1) Analogues. J. Med. Chem. 2017, 60, 7434–7446. [Google Scholar] [CrossRef]
- Bogdan, M.; Pirnau, A.; Floare, C.; Bugeac, C. Binding interaction of indomethacin with human serum albumin. J. Pharm. Biomed. Anal. 2008, 47, 981–984. [Google Scholar] [CrossRef] [PubMed]
- Zini, R.; Athis, P.; Barre, J.P.; Tillement, J. Binding of indomethacin to human serum albumin. Its non displacement by various agents, influence of free fatty acids and the unexpected effect of indomethacin on warfarin binding. Biochem. Pharmacol. 1979, 28, 2661–2665. [Google Scholar] [CrossRef]
- Zhang, J.; Sun, H.-H.; Zhang, Y.-Z.; Yang, L.-Y.; Dai, J.; Liu, Y. Interaction of Human Serum Albumin with Indomethacin: Spectroscopic and Molecular Modeling Studies. J. Solut. Chem. 2012, 41, 422–435. [Google Scholar] [CrossRef]
- Hvidberg, E.; Lausen, H.H.; Jansen, J.A. Indomethacin: Plasma concentrations and protein binding in man. Eur. J. Clin. Pharmacol. 1972, 4, 119–124. [Google Scholar] [CrossRef]
- Mohammadnia, F.; Fatemi, M.H.; Taghizadeh, S.M. Study on the interaction of anti-inflammatory drugs with human serum albumin using molecular docking, quantitative structure–activity relationship, and fluorescence spectroscopy. Luminescence 2020, 35, 266–273. [Google Scholar] [CrossRef]
- Quijano, R.; Kongyingyoes, B.; Thithapandha, A. Phenylbutazone Plasma Binding: Effects of Salicylic Acid, Indomethacin, and Dicloxacillin. Exp. Biol. Med. 1979, 162, 442–444. [Google Scholar] [CrossRef]
- Murakami, K.; Fujisaki, Y.; Sano, T. A Stopped-Flow Kinetic Study on the Binding of Phenylbutazone to Human Serum Albumin Using Absorption and Circular Dichroism Techniques. Bull. Chem. Soc. Jpn. 1987, 60, 3385–3390. [Google Scholar] [CrossRef]
- Chignell, C.F.; Starkweather, D.K. Species Differences in the Binding of Phenylbutazone to Plasma Albumin. Pharmacology 1971, 5, 235–244. [Google Scholar] [CrossRef]
- Russeva, V.; Mihailova, D. Binding of Phenylbutazone to Human Serum Albumin. Arzneimittelforschung 2011, 49, 255–258. [Google Scholar] [CrossRef]
- Sułkowska, A.; Maciążek-Jurczyk, M.; Bojko, B.; Równicka, J.; Zubik-Skupień, I.; Temba, E.; Pentak, D.; Sułkowski, W. Competitive binding of phenylbutazone and colchicine to serum albumin in multidrug therapy: A spectroscopic study. J. Mol. Struct. 2008, 881, 97–106. [Google Scholar] [CrossRef]
- Aki, H.; Yamamoto, M. Thermodynamic Characterization of Drug Binding to Human Serum Albumin by Isothermal Titration Microcalorimetry. J. Pharm. Sci. 1994, 83, 1712–1716. [Google Scholar] [CrossRef] [PubMed]
- Elbary, A.A.; Vallner, J.J.; Whitworth, C.W. Effect of Albumin Conformation on the Binding of Phenylbutazone and Oxyphenbutazone to Human Serum Albumin. J. Pharm. Sci. 1982, 71, 241–244. [Google Scholar] [CrossRef]
- Veronich, K.; White, G.; Kapoor, A. Effects of Phenylbutazone, Tolbutamide, and Clofibric Acid on Binding of Racemic Warfarin and Its Enantiomers to Human Serum Albumin. J. Pharm. Sci. 1979, 68, 1515–1518. [Google Scholar] [CrossRef]
- Day, Y.S.N.; Myszka, D.G. Characterizing a Drug’s Primary Binding Site on Albumin. J. Pharm. Sci. 2003, 92, 333–343. [Google Scholar] [CrossRef]
- Dai, J.; Zou, T.; Wang, L.; Zhang, Y.; Liu, Y. Investigation of the interaction between quercetin and human serum albumin by multiple spectra, electrochemical impedance spectra and molecular modeling: Interaction between Quercetin and Human Serum Albumin. Luminescence 2014, 29, 1154–1161. [Google Scholar] [CrossRef] [PubMed]
- Kameníková, M.; Furtmüller, P.G.; Klacsová, M.; Lopez-Guzman, A.; Toca-Herrera, J.L.; Vitkovská, A.; Devínsky, F.; Mučaji, P.; Nagy, M. Influence of quercetin on the interaction of gliclazide with human serum albumin–spectroscopic and docking approaches. Luminescence 2017, 32, 1203–1211. [Google Scholar] [CrossRef]
- Mishra, B.; Barik, A.; Priyadarsini, K.I.; Mohan, H. Fluorescence spectroscopic studies on binding of a flavonoid antioxidant quercetin to serum albumins. J. Chem. Sci. 2005, 117, 641–647. [Google Scholar] [CrossRef]
- Dufour, C.; Dangles, O. Flavonoid–serum albumin complexation: Determination of binding constants and binding sites by fluorescence spectroscopy. Biochim. Biophys. Acta (BBA) Gen. Subj. 2005, 1721, 164–173. [Google Scholar] [CrossRef]
- Mohseni-Shahri, F.S.; Housaindokht, M.R.; Bozorgmehr, M.R.; Moosavi-Movahedi, A.A. The influence of the flavonoid quercetin on the interaction of propranolol with human serum albumin: Experimental and theoretical approaches. J. Lumin. 2014, 154, 229–240. [Google Scholar] [CrossRef]
- Poór, M.; Boda, G.; Kunsági-Máté, S.; Needs, P.W.; Kroon, P.A.; Lemli, B. Fluorescence spectroscopic evaluation of the interactions of quercetin, isorhamnetin, and quercetin-3′-sulfate with different albumins. J. Lumin. 2018, 194, 156–163. [Google Scholar] [CrossRef]
- Wani, T.A.; Bakheit, A.H.; Zargar, S.; Alanazi, Z.S.; Al-Majed, A.A. Influence of antioxidant flavonoids quercetin and rutin on the in-vitro binding of neratinib to human serum albumin. Spectrochim. Acta Part A Mol. Biomol. Spectrosc. 2020, 246, 118977. [Google Scholar] [CrossRef]
- Sengupta, B.; Sengupta, P.K. The interaction of quercetin with human serum albumin: A fluorescence spectroscopic study. Biochem. Biophys. Res. Commun. 2002, 299, 400–403. [Google Scholar] [CrossRef]
- Das, P.; Chaudhari, S.K.; Das, A.; Kundu, S.; Saha, C. Interaction of flavonols with human serum albumin: A biophysical study showing structure–activity relationship and enhancement when coated on silver nanoparticles. J. Biomol. Struct. Dyn. 2019, 37, 1414–1426. [Google Scholar] [CrossRef] [PubMed]
- Boulton, D.W.; Walle, U.K.; Walle, T. Extensive Binding of the Bioflavonoid Quercetin to Human Plasma Proteins. J. Pharm. Pharmacol. 2011, 50, 243–249. [Google Scholar] [CrossRef] [PubMed]
- Rolinski, O.J.; Martin, A.; Birch, D.J.S. Human serum albumin and quercetin interactions monitored by time-resolved fluorescence: Evidence for enhanced discrete rotamer conformations. J. Biomed. Opt. 2007, 12, 034013. [Google Scholar] [CrossRef] [PubMed]
- Wybranowski, T.; Kruszewski, S. Optical Spectroscopy Study of the Interaction between Quercetin and Human Serum Albumin. Acta Phys. Pol. A 2014, 125, A-57–A-60. [Google Scholar] [CrossRef]
- Rimac, H.; Dufour, C.; Debeljak, Ž.; Zorc, B.; Bojić, M. Warfarin and Flavonoids Do Not Share the Same Binding Region in Binding to the IIA Subdomain of Human Serum Albumin. Molecules 2017, 22, 1153. [Google Scholar] [CrossRef]
- Vaneková, Z.; Hubčík, L.; Toca-Herrera, J.L.; Furtműller, P.G.; Mučaji, P.; Nagy, M. Analysis of Binding Interactions of Ramipril and Quercetin on Human Serum Albumin: A Novel Method in Affinity Evaluation. Molecules 2020, 25, 547. [Google Scholar] [CrossRef]
- Lázaro, E.; Lowe, P.J.; Briand, X.; Faller, B. New Approach To Measure Protein Binding Based on a Parallel Artificial Membrane Assay and Human Serum Albumin. J. Med. Chem. 2008, 51, 2009–2017. [Google Scholar] [CrossRef]
- Amézqueta, S.; Bolioli, A.B.M.; Beltran, J.L.; Ràfols, C. Evaluation of the interactions between human serum albumin (HSA) and warfarin or diflunisal by using molecular fluorescence using two approaches. ADMET DMPK 2018, 6, 47–54. [Google Scholar] [CrossRef]
- Garg, M.; Tamboli, E.T.; Singh, M.; Chester, K.; Abdin, M.Z.; Chandna, R.; Ahmad, S. RAPD Based Assessment of Genetic Diversity of Adhatoda vasica Leaves from Different Sub- Continents of India. Indian J. Pharm. Educ. Res. 2015, 49, 231–239. [Google Scholar] [CrossRef]
- Olsen, H.; Andersen, A.; Nordbø, A.; Kongsgaard, U.E.; Børmer, O.P. Pharmaceutical-grade albumin: Impaired drug-binding capacity In Vitro. BMC Clin. Pharmacol. 2004, 4, 4. [Google Scholar] [CrossRef]
- O’Reilly, R.A. Interaction of the anticoagulant drug warfarin and its metabolites with human plasma albumin. J. Clin. Investig. 1969, 48, 193–202. [Google Scholar] [CrossRef]
- Robertson, A.; Karp, W. Albumin Binding of Bumetanide. Dev. Pharmacol. Ther. 1986, 9, 241–248. [Google Scholar] [CrossRef] [PubMed]
- Li, Q.; Yang, W.-Y.; Qu, L.-L.; Qi, H.-Y.; Huang, Y.; Zhang, Z. Interaction of Warfarin with Human Serum Albumin and Effect of Ferulic Acid on the Binding. J. Spectrosc. 2014, 2014, 834501. [Google Scholar] [CrossRef]
- Kragh-Hansen, U. Relations between high-affinity binding sites of markers for binding regions on human serum albumin. Biochem. J. 1985, 225, 629–638. [Google Scholar] [CrossRef] [PubMed]
- Giannetti, A.M.; Wong, H.; Dijkgraaf, G.J.P.; Dueber, E.C.; Ortwine, D.F.; Bravo, B.J.; Gould, S.E.; Plise, E.G.; Lum, B.L.; Malhi, V.; et al. Identification, Characterization, and Implications of Species-Dependent Plasma Protein Binding for the Oral Hedgehog Pathway Inhibitor Vismodegib (GDC-0449). J. Med. Chem. 2011, 54, 2592–2601. [Google Scholar] [CrossRef]
- Buttar, D.; Colclough, N.; Gerhardt, S.; MacFaul, P.A.; Phillips, S.D.; Plowright, A.; Whittamore, P.; Tam, K.; Maskos, K.; Steinbacher, S.; et al. A combined spectroscopic and crystallographic approach to probing drug–human serum albumin interactions. Bioorg. Med. Chem. 2010, 18, 7486–7496. [Google Scholar] [CrossRef] [PubMed]
- McElnay, J.C.; D’Arcy, P.F. An In Vitro model of drug/drug interaction at albumin binding sites. J. Pharmacol. Methods 1979, 2, 315–321. [Google Scholar] [CrossRef]
- Ha, C.-E.; Petersen, C.E.; Park, D.S.; Harohalli, K.; Bhagavan, N.V. Investigations of the effects of ethanol on warfarin binding to human serum albumin. J. Biomed. Sci. 2000, 7, 114–121. [Google Scholar] [CrossRef] [PubMed]
- Vorum, H.; Jørgensen, H.R.I.; Brodersen, R. Variation in the binding affinity of warfarin and phenprocoumon to human serum albumin in relation to surgery. Eur. J. Clin. Pharmacol. 1993, 44, 157–162. [Google Scholar] [CrossRef]
- Hulshoff, A.; Perrin, J.H. Quantitative correlations between albumin binding constants and chromatographic RM values of phenothiazine derivatives. J. Med. Chem. 1977, 20, 430–439. [Google Scholar] [CrossRef]
- Amézqueta, S.; Beltrán, J.L.; Bolioli, A.M.; Campos-Vicens, L.; Luque, F.J.; Ràfols, C. Evaluation of the Interactions between Human Serum Albumin (HSA) and Non-Steroidal Anti-Inflammatory (NSAIDs) Drugs by Multiwavelength Molecular Fluorescence, Structural and Computational Analysis. Pharmaceuticals 2021, 14, 214. [Google Scholar] [CrossRef]
- Ploch-Jankowska, A.; Pentak, D. A Comprehensive Spectroscopic Analysis of the Ibuprofen Binding with Human Serum Albumin, Part, I. Pharmaceuticals 2020, 13, 205. [Google Scholar] [CrossRef] [PubMed]
- Kratz, F. Albumin as a drug carrier: Design of prodrugs, drug conjugates and nanoparticles. J. Control. Release 2008, 132, 171–183. [Google Scholar] [CrossRef] [PubMed]
- Larsen, M.T.; Kuhlmann, M.; Hvam, M.L.; Howard, K.A. Albumin-based drug delivery: Harnessing nature to cure disease. Mol. Cell. Ther. 2016, 4, 3. [Google Scholar] [CrossRef] [PubMed]










Publisher’s Note: MDPI stays neutral with regard to jurisdictional claims in published maps and institutional affiliations. |
© 2021 by the authors. Licensee MDPI, Basel, Switzerland. This article is an open access article distributed under the terms and conditions of the Creative Commons Attribution (CC BY) license (https://creativecommons.org/licenses/by/4.0/).
Share and Cite
Sedov, I.; Nikiforova, A.; Khaibrakhmanova, D. Binding Constants of Clinical Drugs and Other Organic Ligands with Human and Mammalian Serum Albumins. Biophysica 2021, 1, 344-358. https://doi.org/10.3390/biophysica1030026
Sedov I, Nikiforova A, Khaibrakhmanova D. Binding Constants of Clinical Drugs and Other Organic Ligands with Human and Mammalian Serum Albumins. Biophysica. 2021; 1(3):344-358. https://doi.org/10.3390/biophysica1030026
Chicago/Turabian StyleSedov, Igor, Alena Nikiforova, and Diliara Khaibrakhmanova. 2021. "Binding Constants of Clinical Drugs and Other Organic Ligands with Human and Mammalian Serum Albumins" Biophysica 1, no. 3: 344-358. https://doi.org/10.3390/biophysica1030026
APA StyleSedov, I., Nikiforova, A., & Khaibrakhmanova, D. (2021). Binding Constants of Clinical Drugs and Other Organic Ligands with Human and Mammalian Serum Albumins. Biophysica, 1(3), 344-358. https://doi.org/10.3390/biophysica1030026

