Mechanical Characterization of Shallow Soils with Varying Clay Content Under Confined Compression
Abstract
1. Introduction
2. Materials and Methods
3. Results and Discussion
3.1. Measurement Results
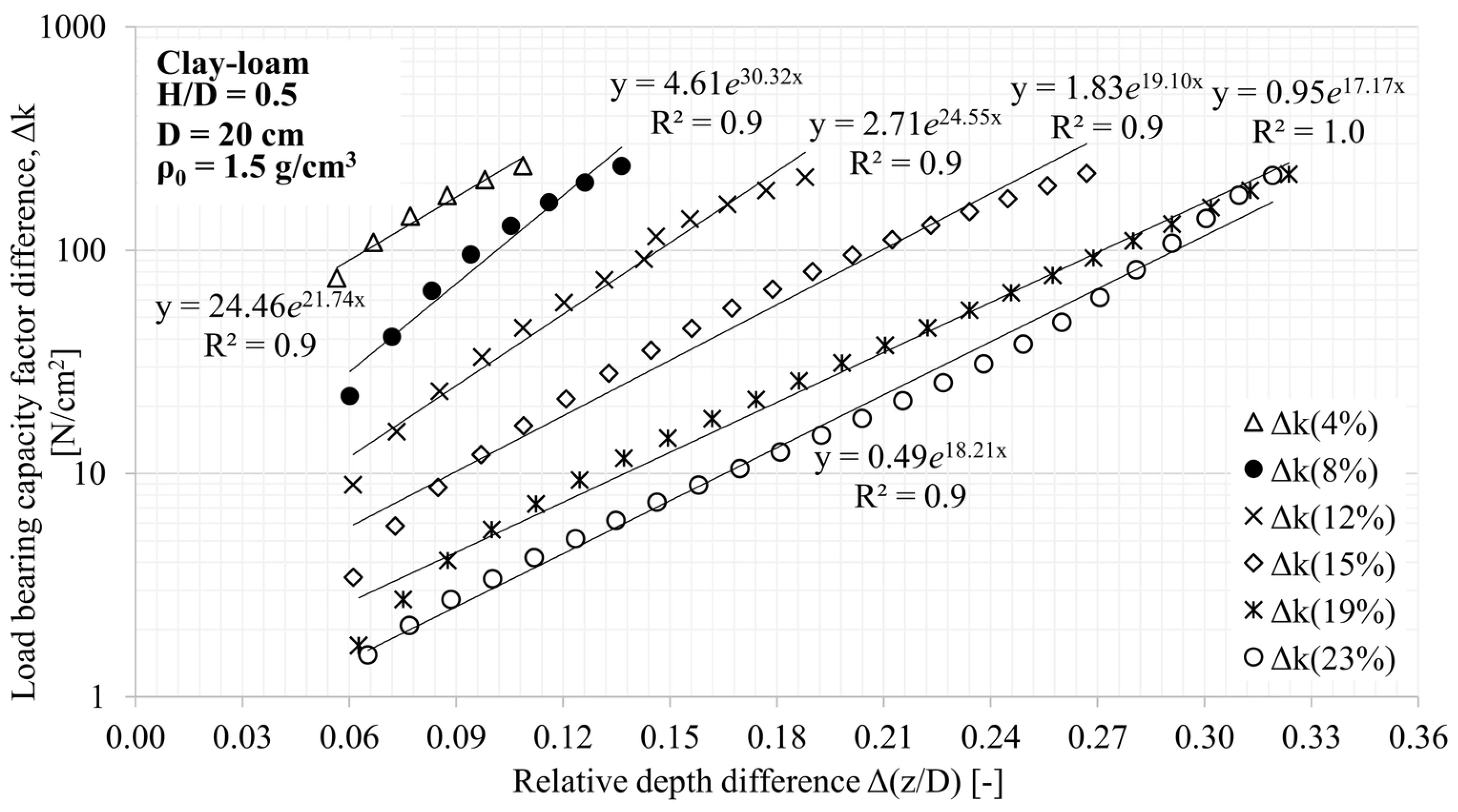
3.2. Load-Bearing Capacity Factor ka, Δk
4. Conclusions
- In the case of soil textures with a higher internal friction angle, the soil-cone on the pressure plate extends deeper, so for the same H/D ratio, compaction immediately starts with a higher d/D ratio, which increases the apparent load-bearing capacity coefficient.
- The angle of internal friction of the soil and the moisture content of the soil are inversely proportional to each other in the case of a rigid layer. Soil with a higher angle of internal friction reacts more quickly to the hard layer, and an increase in moisture content always reduces the load-bearing capacity, as well as the constant (B) and the (ka).
- The exponent (c) of the load-bearing capacity equation is independent of moisture content, thus confirming previous literature knowledge. However, the coefficient (B) is not independent of moisture content and is strongly related to it. Knowing the characteristic value of the clay content of the soil alone is not enough to further investigate the coefficient (B).
Author Contributions
Funding
Institutional Review Board Statement
Informed Consent Statement
Data Availability Statement
Conflicts of Interest
Appendix A




Appendix B




References
- Swamy, V.S.; Pandit, R.; Yerro, A.; Sandu, C.; Rizzo, D.M.; Sebeck, K.; Gorsich, D. Review of Modeling and Validation Techniques for Tire-Deformable Soil Interactions. J. Terramech. 2023, 109, 73–92. [Google Scholar] [CrossRef]
- Zeng, H.; Zhao, C.; Chen, S.; Xu, W.; Zang, M. Numerical Simulations of Tire-Soil Interactions: A Comprehensive Review. Arch. Comput. Methods Eng. 2023, 30, 4801–4829. [Google Scholar] [CrossRef]
- Ally, H.; Wang, X.; Wu, T.; Liu, T.; Ge, J. Improving Agricultural Tire Traction Performance Through Finite Element Analysis and Semi-Empirical Modeling. Eng 2025, 6, 63. [Google Scholar] [CrossRef]
- Bekker, M.G. Off-the-Road Locomotion; University of Michigan Press: Ann Arbor, MI, USA, 1960. [Google Scholar]
- Ding, L.; Gao, H.; Deng, Z.; Li, Y.; Liu, G. New Perspective on Characterizing Pressure–Sinkage Relationship of Terrains for Estimating Interaction Mechanics. J. Terramech. 2014, 52, 57–76. [Google Scholar] [CrossRef]
- Chen, D.; Hou, L.; Bu, X.; Chen, Y. A Piecewise Bearing Capacity Method of Unstructured Terrain Considering Characteristics of Soil Mechanic and Wheel Geometry. J. Terramech. 2020, 89, 13–20. [Google Scholar] [CrossRef]
- Bekker, M.G. Introduction to Terrain-Vehicle Systems, 1st ed.; University of Michigan Press: Ann Arbor, MI, USA, 1969. [Google Scholar]
- Sitkei, G.; Pillinger, G.; Máthé, L.; Gurmai, L.; Kiss, P. Methods for Generalization of Experimental Results in Terramechanics. J. Terramech. 2019, 81, 23–34. [Google Scholar] [CrossRef]
- Lyasko, M. LSA Model for Sinkage Predictions. J. Terramech. 2010, 47, 1–19. [Google Scholar] [CrossRef]
- Yang, Y.; Huang, F.; Kang, S. Mechanism of Penetration Rate Improvement in Hot Dry Rock Under the Coupling of Impact Load and Confining Pressure Release. Reserv. Sci. 2026, 2, 52–64. [Google Scholar] [CrossRef]
- Tahir, M.U.; Guo, S. Preliminary Investigation of Fracture Behavior during Carbon Dioxide Fracturing of Natural Hydrogen Reservoir with Hard-Core Imperfections. Reserv. Sci. 2026, 2, 34–51. [Google Scholar] [CrossRef]
- Pillinger, G.; Géczy, A.; Hudoba, Z.; Kiss, P. Determination of Soil Density by Cone Index Data. J. Terramech. 2018, 77, 69–74. [Google Scholar] [CrossRef]
- Gorucu, S.; Khalilian, A.; Han, Y.J.; Dodd, R.B.; Smith, B.R. An Algorithm to Determine the Optimum Tillage Depth from Soil Penetrometer Data in Coastal Plain Soils. Appl. Eng. Agric. 2006, 22, 625–631. [Google Scholar] [CrossRef]
- Salman, N.D.; Pillinger, G.; Kiss, P. Soil Behavior of Shallow Homogenous Upper Layer Soil. J. Appl. Sci. Eng. 2022, 25. [Google Scholar] [CrossRef]
- Salman, N.D.; Pillinger, G.; Sitkei, G.; Kiss, P. Load Bearing Capacity of Finite Half Space Agricultural Homogeneous Soil. J. Terramech. 2023, 107, 35–46. [Google Scholar] [CrossRef]
- Atanasov, A.I.; Atanasov, A.Z. Soil Density Measurement During Cultivation Through Analysis of the Elastic Deformation of a Cultivator Shank. Eng 2025, 6, 310. [Google Scholar] [CrossRef]
- Shaheb, M.R.; Venkatesh, R.; Shearer, S.A. A Review on the Effect of Soil Compaction and Its Management for Sustainable Crop Production. J. Biosyst. Eng. 2021, 46, 417–439. [Google Scholar] [CrossRef]
- Schjønning, P. Interpretation of Uniaxial, Confined Compression Test Data for Agricultural Topsoils. Soil Tillage Res. 2024, 235, 105866. [Google Scholar] [CrossRef]
- Schjønning, P.; Lamandé, M.; De Pue, J.; Cornelis, W.M.; Labouriau, R.; Keller, T. The Challenge in Estimating Soil Compressive Strength for Use in Risk Assessment of Soil Compaction in Field Traffic. Adv. Agron. 2023, 178, 61–105. [Google Scholar]
- Dawidowski, J.B.; Morrison, J.E., Jr.; Snieg, M. Measurement of Soil Layer Strength with Plate Sinkage and Uniaxial Confined Methods. Trans. ASAE 2001, 44, 1059–1064. [Google Scholar] [CrossRef]
- Mosaddeghi, M.R.; Hemmat, A.; Hajabbasi, M.A.; Vafaeian, M.; Alexandrou, A. Plate Sinkage versus Confined Compression Tests for In Situ Soil Compressibility Studies. Biosyst. Eng. 2006, 93, 325–334. [Google Scholar] [CrossRef]
- Kim, U.-G.; Zhuang, L.; Kim, D.; Lee, J. Evaluation of Cyclic Shear Strength of Mixtures with Sand and Different Types of Fines. Mar. Georesour. Geotechnol. 2017, 35, 447–455. [Google Scholar] [CrossRef]
- Dafalla, M.A. Effects of Clay and Moisture Content on Direct Shear Tests for Clay-Sand Mixtures. Adv. Mater. Sci. Eng. 2013, 2013, 562726. [Google Scholar] [CrossRef]
- di Maria, E.; Reina, G.; Ishii, K.; Giannoccaro, N.I. Rolling Resistance and Sinkage Analysis by Comparing FEM and Experimental Data for a Grape Transporting Vehicle. J. Terramech. 2021, 97, 59–70. [Google Scholar] [CrossRef]
- Lyasko, M. Multi-Pass Effect on off-Road Vehicle Tractive Performance. J. Terramech. 2010, 47, 275–294. [Google Scholar] [CrossRef]
- Farhadi, P.; Golmohammadi, A.; Sharifi Malvajerdi, A.; Shahgholi, G. Tire and Soil Effects on Power Loss: Measurement and Comparison with Finite Element Model Results. J. Terramech. 2020, 92, 13–22. [Google Scholar] [CrossRef]
- Mouazen, A.M.; Ramon, H.; De Baerdemaeker, J. SW—Soil and Water: Effects of Bulk Density and Moisture Content on Selected Mechanical Properties of Sandy Loam Soil. Biosyst. Eng. 2002, 83, 217–224. [Google Scholar] [CrossRef]
- Liu, X.; Liu, E.; Zhang, D.; Zhang, G.; Yin, X.; Song, B. Study on Effect of Coarse-Grained Content on the Mechanical Properties of Frozen Mixed Soils. Cold Reg. Sci. Technol. 2019, 158, 237–251. [Google Scholar] [CrossRef]
- Krim, A.; Arab, A.; Chemam, M.; Brahim, A.; Sadek, M.; Shahrour, I. Experimental Study on the Liquefaction Resistance of Sand–Clay Mixtures: Effect of Clay Content and Grading Characteristics. Mar. Georesour. Geotechnol. 2019, 37, 129–141. [Google Scholar] [CrossRef]
- Kim, D.; Nam, B.H.; Youn, H. Effect of Clay Content on the Shear Strength of Clay–Sand Mixture. Int. J. Geo-Eng. 2018, 9, 19. [Google Scholar] [CrossRef]
- Nagaraj, H.B. Influence of Gradation and Proportion of Sand on Stress–Strain Behavior of Clay–Sand Mixtures. Int. J. Geo-Eng. 2016, 7, 19. [Google Scholar] [CrossRef]
- Salman, N.D.; Pillinger, G.; Hanon, M.M.; Kiss, P. Design and Performance Evaluation of Bevameter Equipment. J. Adv. Mech. Des. Syst. Manuf. 2020, 14, JAMDSM0084. [Google Scholar] [CrossRef]
- Zhu, L.; Liao, Q.; Wang, Z.; Chen, J.; Chen, Z.; Bian, Q.; Zhang, Q. Prediction of Soil Shear Strength Parameters Using Combined Data and Different Machine Learning Models. Appl. Sci. 2022, 12, 5100. [Google Scholar] [CrossRef]
- El Hariri, A.; Elawad Eltayeb Ahmed, A.; Kiss, P. Review on Soil Shear Strength with Loam Sand Soil Results Using Direct Shear Test. J. Terramech. 2023, 107, 47–59. [Google Scholar] [CrossRef]
- Nrcs, U. Soil Survey Manual Soil Science Division Staff Agriculture Handbook No. 18; United States Department of Agriculture: Washington, DC, USA, 2017. [Google Scholar]
- Liu, X.; Wang, J.; Wu, J. Influence of Compaction and Water Content on the Shear Performance of Gobi Soil as a Sustainable Construction Material. Appl. Sci. 2025, 15, 13089. [Google Scholar] [CrossRef]
- Zheng, F.; Li, W.; Song, Z.; Wang, J.; Zhang, Y.; Wang, J. Experimental Study on the Damage Properties of Mechanical Properties of Saline Soil Under Different Influencing Factors. Buildings 2025, 15, 324. [Google Scholar] [CrossRef]
- Jiang, Q.; Cao, M.; Wang, Y.; Wang, J.; He, Z. Estimation of Soil Shear Strength Indicators Using Soil Physical Properties of Paddy Soils in the Plastic State. Appl. Sci. 2021, 11, 5609. [Google Scholar] [CrossRef]
- Canakci, H.; Hamed, M.; Celik, F.; Sidik, W.; Eviz, F. Friction Characteristics of Organic Soil with Construction Materials. Soils Found. 2016, 56, 965–972. [Google Scholar] [CrossRef]
- Alexandrou, A.; Earl, R. The Relationship among the Pre-Compaction Stress, Volumetric Water Content and Initial Dry Bulk Density of Soil. J. Agric. Eng. Res. 1998, 71, 75–80. [Google Scholar] [CrossRef]
- Mousavi, S.B.; Uteau, D.; Peth, S. Assessment of Mechanical Elasticity of Soils Based on Confined Compression Tests. Soil Tillage Res. 2022, 221, 105389. [Google Scholar] [CrossRef]
- Hu, W.; Jia, X.; Zhu, X.; Su, A.; Du, Y.; Huang, B. Influence of Moisture Content on Intelligent Soil Compaction. Autom. Constr. 2020, 113, 103141. [Google Scholar] [CrossRef]
- Farhadi, P.; Golmohammadi, A.; Sharifi Malvajerdi, A.; Shahgholi, G. Finite Element Modeling of the Interaction of a Treaded Tire with Clay-Loam Soil. Comput. Electron. Agric. 2019, 162, 793–806. [Google Scholar] [CrossRef]
- Woldeyohannis, Y.S.; S Hiremath, S.; Tola, S.; Wako, A. Influence of Soil Physical and Chemical Characteristics on Soil Compaction in Farm Field. Heliyon 2024, 10, e25140. [Google Scholar] [CrossRef] [PubMed]
- Mohamed, A.A.I. Evaluation of Different Methods for Estimating the Rolling Resistance of Agricultural Tractors Based on Bekker’s Soil Parameters. J. Soil Sci. Agric. Eng. 2007, 32, 6329–6346. [Google Scholar] [CrossRef]
- Feng, X.; Teng, J.; Wang, H. Influence Mechanism of Water Content and Compaction Degree on Shear Strength of Red Clay with High Liquid Limit. Materials 2023, 17, 162. [Google Scholar] [CrossRef] [PubMed]
- Terzaghi, K. Theoretical Soil Mechanics; John Wiley & Sons, Inc.: Hoboken, NJ, USA, 1943; ISBN 9780470172766. [Google Scholar]









| Soil Sample No. | Soil Texture | Sand (%) | Silt (%) | Clay (%) | Plastic Limit (PL) | Liquid Limit (LL) |
|---|---|---|---|---|---|---|
| 1 | Sand | 95.68 | 2.12 | 2 | - | - |
| 2 | Sandy loam | 90.5 | 3.2 | 6 | 17.2 | - |
| 3 | Loam | 31.29 | 49.67 | 19 | 30 | 22 |
| 4 | Clay loam | 30.77 | 40.7 | 29 | 42 | 32 |
| 5 | Clay | 13.16 | 31.28 | 56 | 45 | 25 |
| Texture | M.C. [m%] | B [N/cm2] | c [-] | k0 [N/cm2] | Κ [-] |
|---|---|---|---|---|---|
| Sand | 15 | 0.179 | 46.7 | 6.8 | 0.02 |
| 12 | 0.324 | 48.1 | 8.3 | ||
| 9 | 0.53 | 45.5 | 8.8 | ||
| 7 | 2.32 | 40.2 | 12.9 | ||
| 4 | 4.02 | 39.4 | 32.2 | ||
| 1 | 6.37 | 42.8 | 34 | ||
| Sandy-loam | 15 | 1.49 | 35.5 | 3.7 | 0.06 |
| 12 | 2.56 | 34.4 | 7.9 | ||
| 9 | 4.96 | 34.6 | 19.9 | ||
| 5 | 12.34 | 30.2 | 27.2 | ||
| 3 | 15.64 | 34.3 | 47.3 | ||
| 1 | 57.87 | 34.6 | 86.2 | ||
| Loam | 17 | 0.32 | 18.4 | 2.34 | 0.24 |
| 14 | 1.27 | 17.0 | 3.27 | ||
| 11 | 2.68 | 19.2 | 6.24 | ||
| 7 | 7.53 | 19.0 | 9.3 | ||
| 2 | 34.5 | 15.3 | 42.9 | ||
| Clay-loam | 23 | 0.49 | 18.2 | 1.54 | 0.41 |
| 19 | 0.81 | 17.3 | 1.5 | ||
| 15 | 1.83 | 19.1 | 3.4 | ||
| 12 | 2.71 | 24.6 | 8.9 | ||
| 8 | 4.61 | 30.3 | 22.2 | ||
| 4 | 24.46 | 21.7 | 74.9 | ||
| Clay | 24 | 1.645 | 17.7 | 4.6 | 1.27 |
| 22 | 2.702 | 15.3 | 7.7 | ||
| 17 | 6.442 | 13.9 | 12 | ||
| 14 | 11.52 | 12.5 | 17.6 | ||
| 10 | 21.69 | 14.0 | 28.4 |
Disclaimer/Publisher’s Note: The statements, opinions and data contained in all publications are solely those of the individual author(s) and contributor(s) and not of MDPI and/or the editor(s). MDPI and/or the editor(s) disclaim responsibility for any injury to people or property resulting from any ideas, methods, instructions or products referred to in the content. |
© 2026 by the authors. Licensee MDPI, Basel, Switzerland. This article is an open access article distributed under the terms and conditions of the Creative Commons Attribution (CC BY) license.
Share and Cite
Salman, N.D.; Pillinger, G.; Hanon, M.M. Mechanical Characterization of Shallow Soils with Varying Clay Content Under Confined Compression. Eng 2026, 7, 150. https://doi.org/10.3390/eng7040150
Salman ND, Pillinger G, Hanon MM. Mechanical Characterization of Shallow Soils with Varying Clay Content Under Confined Compression. Eng. 2026; 7(4):150. https://doi.org/10.3390/eng7040150
Chicago/Turabian StyleSalman, Nihal D., György Pillinger, and Muammel M. Hanon. 2026. "Mechanical Characterization of Shallow Soils with Varying Clay Content Under Confined Compression" Eng 7, no. 4: 150. https://doi.org/10.3390/eng7040150
APA StyleSalman, N. D., Pillinger, G., & Hanon, M. M. (2026). Mechanical Characterization of Shallow Soils with Varying Clay Content Under Confined Compression. Eng, 7(4), 150. https://doi.org/10.3390/eng7040150

