An Investigation on Leakage Rate of Hard Sealing Ball Valve
Abstract
1. Introduction
2. Leakage Rate Prediction Under Mathematical Methods
2.1. Sealing Pressure Equation in Hard Sealing Ball Valve
2.1.1. Sealing Pressure Equation in Fixed Hard Sealing Ball Valve
2.1.2. Sealing Pressure Equation in Floating Hard Sealing Ball Valve
2.2. Relationship Between Sealing Pressure and Gap Height
2.3. Prediction Method of Leakage Rate on Ball Valve
3. Materials and Methods
3.1. Boundary Conditions
3.2. Experimental Setup
4. Results and Discussion
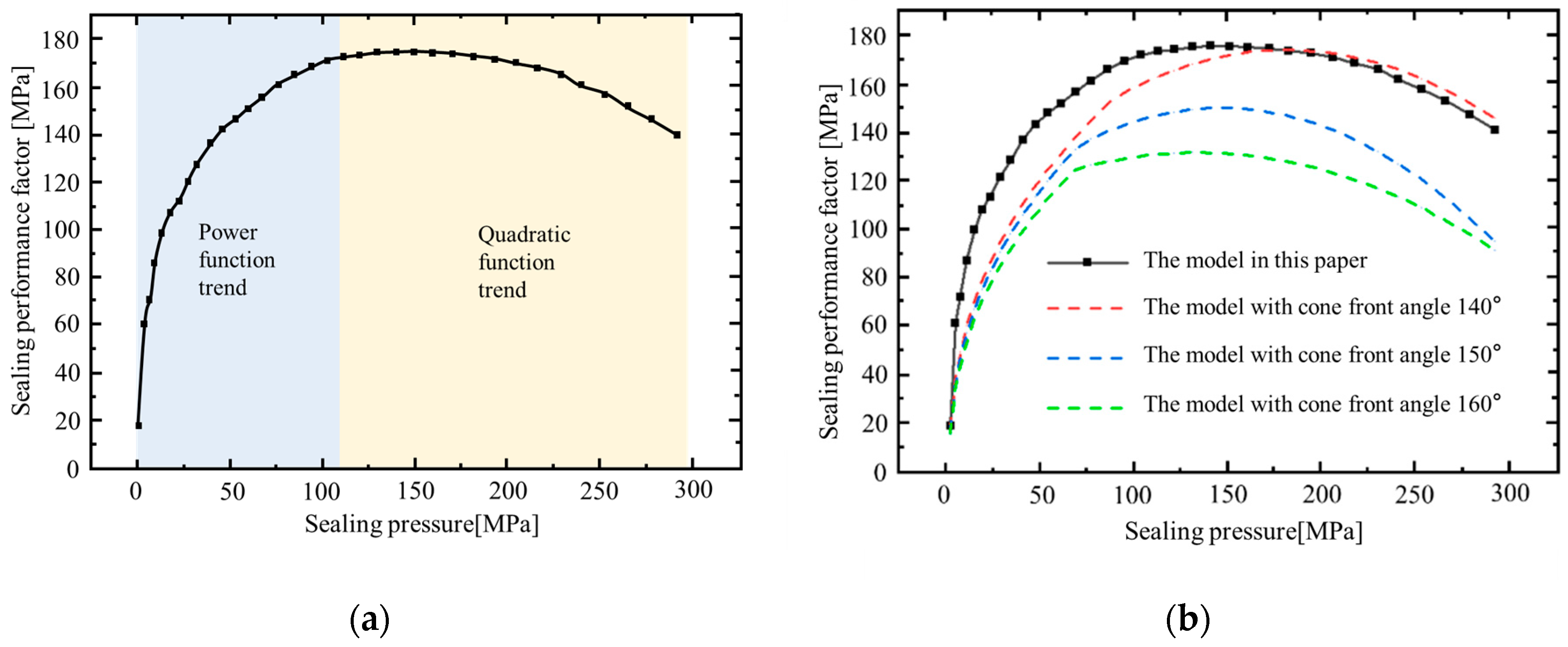
4.1. Verification of Sealing Pressure Equation
4.2. Experimental Verification of Leakage Rate Prediction
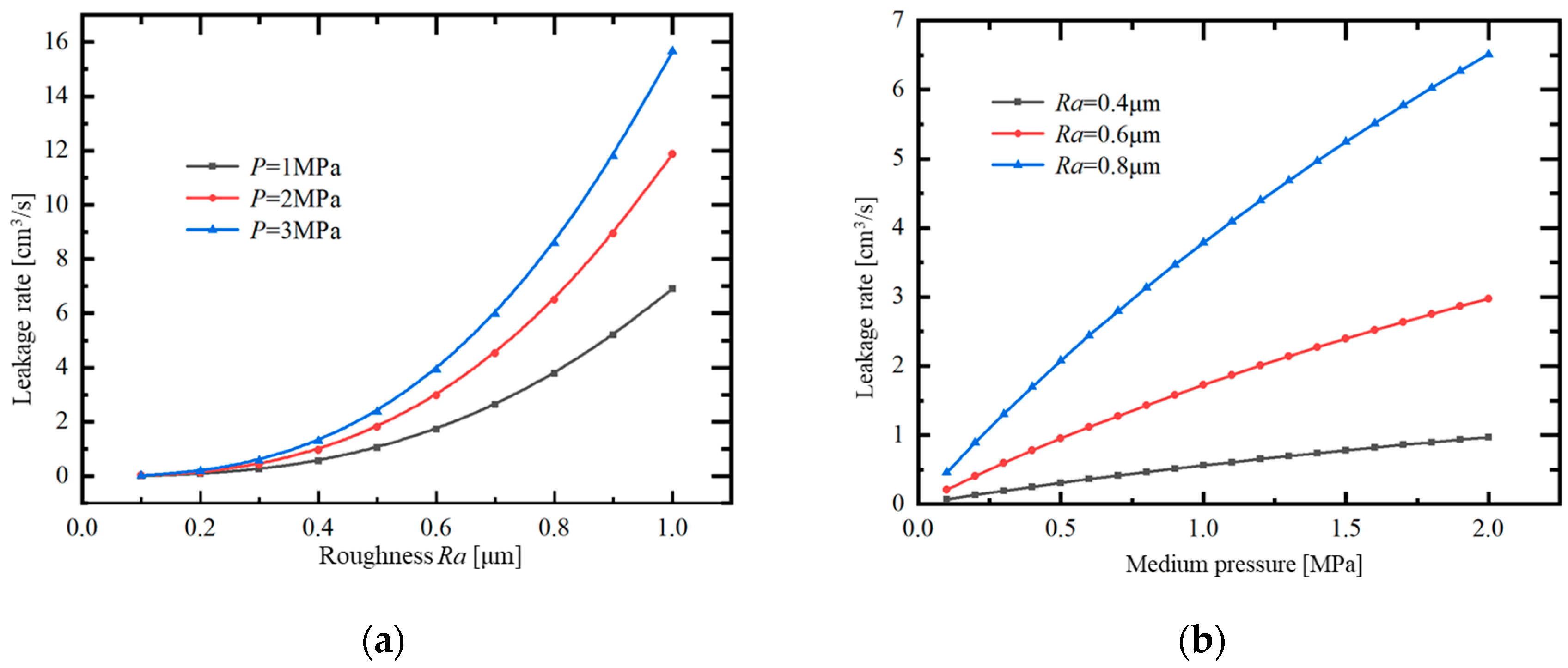
4.3. Influencing Factors of Leakage Rate
5. Conclusions
Author Contributions
Funding
Institutional Review Board Statement
Informed Consent Statement
Data Availability Statement
Conflicts of Interest
Nomenclature
| A [mm2] | Area of contact surface between the valve core and valve seat |
| DA [mm] | Average diameter of the sealing surface on valve seat |
| Dd [mm] | Outer diameter of disc spring |
| DfW [mm] | Outer diameter of valve seat |
| DMN [mm] | Outer diameter of sealing surface on valve seat |
| DMW [mm] | Inner diameter of sealing surface. |
| E [GPa] | Elastic modulus |
| F [N] | Sealing force |
| Ff [N] | Sliding friction force between seals |
| FJ [N] | Axial driving force from medium pressure |
| FP [N] | Pressing force from flow |
| FT [N] | Preload force from disc spring |
| f [mm] | Deflection of disc spring |
| h0 [mm] | Deflection of disc spring at maximum depression |
| lm [mm] | Width of seals |
| N [N] | Normal force in the sealing surface between valve seat and ball |
| P [MPa] | Medium pressure |
| t [mm] | Thickness of disc spring |
| μ | Poisson’s ratio |
| μm | Friction coefficient between seals and metal |
| θ | Normal angle between the centerline of the valve flow domain and the sealing surface |
References
- Huang, X.; Anufriev, R.; Jalabert, L.; Watanabe, K.; Taniguchi, T.; Guo, Y.; Ni, Y.; Volz, S.; Nomura, M. A graphite thermal Tesla valve driven by hydrodynamic phonon transport. Nature 2024, 634, 1086–1090. [Google Scholar] [CrossRef] [PubMed]
- Shen, Q.; Jiang, M.; Wang, R.; Song, K.; Vong, M.; Jung, W.; Krisnadi, F.; Kan, R.; Zheng, F.; Fu, B.; et al. Liquid metal-based soft, hermetic, and wireless-communicable seals for stretchable systems. Science 2023, 379, 488–493. [Google Scholar]
- Cui, L.X.; Du, Y.M.; Sun, C.P. On quantum reliability characterizing systematic errors in quantum sensing. J. Reliab. Sci. Eng. 2025, 1, 015004. [Google Scholar] [CrossRef]
- Ben-Mansour, R. Reducing Carbon Footprint in Petrochemical Plants by Analysis of Entropy Generation for Flow in Sudden Pipe Contraction. Eng 2025, 6, 216. [Google Scholar] [CrossRef]
- Phila, A.; Keaitnukul, W.; Kumar, M.; Pimsarn, M.; Chokphoemphun, S.; Eiamsa-Ard, S. Heat Transfer Analysis in a Channel Mounted with In-Line Downward-Facing and Staggered Downward-Facing Notched Baffles. Eng 2025, 6, 229. [Google Scholar]
- Jeyanthi, S.; Venkatakrishnaiah, R.; Raju, K.V.B. Multilayer geocell-reinforced soils using mayfly optimisation predicts circular foundation load settlement. Int. J. Hydromechatron. 2024, 7, 31–48. [Google Scholar]
- Fan, B.; Zhao, H.; Meng, L. Obstacle detection for intelligent robots based on the fusion of 2D lidar and depth camera. Int. J. Hydromechatron. 2024, 7, 67–88. [Google Scholar]
- Lin, Z.H.; Yu, L.J.; Hua, T.F.; Jin, Z.J.; Qian, J.Y. Seal contact performance analysis of soft seals on high-pressure hydrogen charge valves. J. Zhejiang Univ.-Sci. A 2022, 23, 247–256. [Google Scholar] [CrossRef]
- Zhang, A.; Li, Q.Y.; Zong, C.Y.; Liu, F.W.; Xue, T.H.; Xiao, J.; Song, X.G. Numerical analysis of fluid force on orifice structure of valve disc for nuclear globe valve. Ann. Nucl. Energy 2024, 197, 110246. [Google Scholar] [CrossRef]
- Zhong, Q.; Xu, E.G.; Jia, T.W.; Yang, H.Y.; Zhang, B.; Li, Y.B. Dynamic performance and control accuracy of a novel proportional valve with a switching technology-controlled pilot stage. J. Zhejiang Univ.-Sci. A 2022, 23, 272–285. [Google Scholar]
- Lin, Z.H.; Li, J.Y.; Jin, Z.J.; Qian, J.Y. Fluid dynamic analysis of liquefied natural gas flow through a cryogenic ball valve in liquefied natural gas receiving stations. Energy 2021, 226, 120376. [Google Scholar] [CrossRef]
- Iravani, M.; Toghraie, D. Design a high-pressure test system to investigate the performance characteristics of ball valves in a compressible choked flow. Measurement 2020, 151, 107200. [Google Scholar] [CrossRef]
- Chen, D.; Jiang, J.; Ming, L.; Zhang, G.; Lin, Z.; Li, H. Study on gas–liquid–solid multiphase flow and erosion in ball valves. Eng. Fail. Anal. 2025, 167, 108945. [Google Scholar] [CrossRef]
- Gao, Z.X.; Yue, Y.; Yang, J.M.; Li, J.Y.; Wu, H.; Jin, Z. Numerical Study of the Microflow Characteristics in a V-ball Valve. Micromachines 2021, 12, 155. [Google Scholar] [CrossRef]
- Jin, Z.J.; Qiu, C.; Jiang, C.H.; Wu, J.Y.; Qian, J.Y. Effect of valve core shapes on cavitation flow through a sleeve regulating valve. J. Zhejiang Univ.-Sci. A 2020, 21, 1–14. [Google Scholar]
- Viard, R.; Talbi, A.; Ghouila-Houri, C.; Kourta, A.; Merlen, A.; Pernod, P. Magneto-mechanical micro-valve for active flow control. Sens. Actuators A Phys. 2020, 316, 112387. [Google Scholar] [CrossRef]
- Chen, F.Q.; Jin, Z.J. Throttling components effect on aerodynamic performance of superheated steam flow in multi-stage high pressure reducing valve. Energy 2021, 230, 120769. [Google Scholar] [CrossRef]
- Guan, A.Q.; Zhong, F.P.; Qiu, C.; Jin, Z.J.; Qian, J.Y. Erosion wear analysis on valve cage of cage-typed sleeve control valve for coal liquefaction. J. Fluids Eng. 2024, 146, 101206. [Google Scholar] [CrossRef]
- Mao, Z.B.; Asai, Y.; Wiranata, A.; Kong, D.Q.; Man, J. Eccentric actuator driven by stacked electrohydrodynamic pumps. J. Zhejiang Univ.-Sci. A 2022, 23, 329–334. [Google Scholar]
- Amer, E.; Jönsson, G.; Arrhén, F. Secondary measurement standard for calibration of dynamic pressure sensor to bridge the gap between existing static and dynamic standards. Measurement 2025, 242, 116253. [Google Scholar]
- Zhang, S.Z.; Lin, Z.H.; Chen, S.J.; Jin, Z.J.; Qian, J.Y. Unbalanced force analysis on valve core clamping in hydraulic spool valves. Ann. Nucl. Energy 2024, 203, 110505. [Google Scholar] [CrossRef]
- Han, J.; Xie, Y.; Wang, Y.; Wang, Q.; Zhang, Y.; Ju, J. Research on dynamic flow rate self-sensing in control valves. Prog. Nucl. Energy 2024, 176, 105377. [Google Scholar] [CrossRef]
- Blasiak, S.; Laski, P.A.; Takosoglu, J.E. Rapid prototyping of pneumatic directional control valves. Polymers 2021, 13, 1458. [Google Scholar] [CrossRef]
- Mitra, H.; Gabel, T.; Williams, D.; Koeck, F.; Mónico, R.O.; Alba, K. Computational study of compressible flow through choke valve. J. Fluids Struct. 2022, 113, 103670. [Google Scholar] [CrossRef]
- Li, W.; Yang, S.; Chen, Y.; Li, C.; Wang, Z. Tesla valves and capillary structures-activated thermal regulator. Nat. Commun. 2023, 14, 3996. [Google Scholar] [CrossRef]
- Ameen, M.T.; Smallbone, A.; Roskilly, A.P.; Carpenter, E. The development of a screen valve for reciprocating heat pump/engine applications. J. Renew. Sustain. Energy 2020, 12, 054101. [Google Scholar] [CrossRef]
- Gao, L.; Wang, X. Intelligent Control of the Air Compressor (AC) and Back Pressure Valve (BPV) to Improve PEMFC System Dynamic Response and Efficiency in High Altitude Regions. Eng 2025, 6, 19. [Google Scholar] [CrossRef]
- Li, X.; Wang, B.; Peng, X.; Li, Y.; Li, X.; Chen, Y.; Jin, J. Effect of nitrile butadiene rubber hardness on the sealing characteristics of hydraulic O-ring rod seals. J. Zhejiang Univ.-Sci. A 2024, 25, 63–78. [Google Scholar] [CrossRef]
- Amenta, F.; Bolelli, G.; D’Errico, F.; Ottani, F.; Pedrazzi, S.; Allesina, G.; Bertarini, A.; Puddu, P.; Lusvarghi, L. Tribological behaviour of PTFE composites: Interplay between reinforcement type and counterface material. Wear 2022, 510, 204498. [Google Scholar] [CrossRef]
- Gehlen, L.R.; Bolelli, G.; Puddu, P.; Forlin, E.; Colella, A.; Pintaude, G.; Lusvarghi, L. Tribological and electrochemical performances of HVOF sprayed NbC-NiCr coatings. Surf. Coat. Technol. 2023, 474, 130098. [Google Scholar]
- Zong, C.Y.; Shi, M.L.; Li, Q.Y.; Xue, T.H.; Song, X.G.; Li, X.F.; Chen, D.J. Sealing design optimization of nuclear pressure relief valves based on the polynomial chaos expansion surrogate model. Nucl. Eng. Technol. 2023, 55, 1382–1399. [Google Scholar] [CrossRef]
- Freixa, J.; Laborda, A.; Martinez-Quiroga, V. Effectiveness of the ASVAD valve in a reactor vessel bottom leak scenario. Ann. Nucl. Energy 2021, 160, 108387. [Google Scholar] [CrossRef]
- Morad, O.; Viitala, R.; Saikko, V. Behavior of marine thruster lip seals under typical operating conditions. Tribol. Int. 2025, 201, 110195. [Google Scholar]
- Teles, D.B.; de Castro, V.V.; dos Reis Tagliari, M.; de Souza, A.J.; de Fraga Malfatti, C. Effect of HVOF spray coating on the tribological surface of onshore gate valves. Wear 2024, 546–547, 205322. [Google Scholar] [CrossRef]
- Qian, J.Y.; Xu, J.X.; Fang, L.; Zhao, L.; Wu, J.Y.; Jin, Z.J. Effects of throttling windows on cavitation flow of sleeve control valve. Ann. Nucl. Energy 2023, 189, 109841. [Google Scholar] [CrossRef]
- Feuchtmüller, O.; Hörl, L.; Bauer, F. Oil film generation of a hydraulic rod seal: An experimental study using ellipsometry. Tribol. Int. 2021, 162, 107102. [Google Scholar] [CrossRef]
- Hanaei, S.; Lakzian, E. Numerical and experimental investigation of the effect of the optimal usage of pump as turbine instead of pressure-reducing valves on leakage reduction by genetic algorithm. Energy Convers. Manag. 2022, 270, 116253. [Google Scholar] [CrossRef]
- Hou, J.; Li, S.; Yang, L.; Zhang, X.; Zhao, Q. Multi-leakage source localization of safety valve based on improved KDE algorithm. Process Saf. Environ. Prot. 2023, 171, 493–506. [Google Scholar]
- Sim, H.Y.; Ramli, R.; Saifizul, A.; Soong, M.F. Detection and estimation of valve leakage losses in reciprocating compressor using acoustic emission technique. Measurement 2020, 152, 107315. [Google Scholar] [CrossRef]
- Sim, H.Y.; Ramli, R.; Saifizul, A. Assessment of characteristics of acoustic emission parameters for valve damage detection under varying compressor speeds. Proc. Inst. Mech. Eng. Part C J. Mech. Eng. Sci. 2020, 234, 3521–3540. [Google Scholar] [CrossRef]
- Ding, D.; Chen, L.; Sun, D.; Zhao, L.; Wang, N. New device for calibration of leakage rate of spacecraft cabin balance valve. Vacuum 2021, 183, 109796. [Google Scholar] [CrossRef]
- Brenner, L.; Jenni, C.; Guyer, F.; Stähli, P.; Eberlein, R.; Huber, M.; Zahnd, A.; Schneider, M.; Tillenkamp, F. Analysis of pressure drop and blast pressure leakage of passive air blast safety valves: An experimental and numerical study. J. Loss Prev. Process Ind. 2022, 75, 104706. [Google Scholar] [CrossRef]
- Lu, P.W. Practical Valve Design Handbook, 2nd ed.; China Machine Press: Beijing, China, 2017. (In Chinese) [Google Scholar]
- Xu, J.X. Research on Prediction Method for Leakage of Hard Sealing Pair in Ball Valves and Improvement of Sealability. Master’s Thesis, Zhejiang University, Hangzhou, China, 2024. (In Chinese) [Google Scholar]
- Zhang, W.; Wang, J.; Huang, X.; Xu, G.; Zhou, D. A new cross-scale model for leakage-rate prediction of metal-to-metal seals under high-pressure conditions. Nucl. Eng. Des. 2025, 436, 113981. [Google Scholar] [CrossRef]
- Shi, M.; Cao, Z.; Ye, T. Internal leakage rate prediction and failure diagnosis of buried pipeline ball valve based on valve cavity pressure detection. Flow Meas. Instrum. 2023, 89, 102303. [Google Scholar] [CrossRef]










| Density [kg/m3] | Elastic Modulus [GPa] | Poisson’s Ratio | Volume Modulus [GPa] | Shear Modulus [GPa] |
|---|---|---|---|---|
| 7800 | 200 | 0.3 | 166.67 | 769.23 |
| Device Name | Uncertainty |
|---|---|
| Average flow rate | About 110 Ln/min |
| Working pressure range | 200–2100 bar |
| Working medium | Nitrogen cylinder group supplies gas, maximum pressure 15 MPa |
| High-pressure sensor × 2 | Range 0–2500 bar, accuracy 0.25% FS, 4–20 mA |
| Middle-pressure sensor | Range 0–1500 bar, accuracy 0.5% FS, 4–20 mA |
| Low-pressure sensor | Range 0–200 bar, accuracy 0.5% FS, 4–20 mA |
| Drive pressure sensor | Range 0–16 bar, accuracy 0.5% FS, 4–20 mA |
| High-pressure gauge | Range 0–2500 bar, accuracy 1.0% FS, dial diameter 100 mm |
| Middle-pressure gauge | Range 0–1600 bar, accuracy 1.0% FS, dial diameter 100 mm |
| Drive pressure gauge | Range 0–16 bar, accuracy 1.6% FS, dial diameter 63 mm |
| Num | R [mm] | DfW [mm] | DHN [mm] | DMW [mm] | DMN [mm] | Calculated Sealing Pressure [MPa] | Simulated Sealing Pressure [MPa] |
|---|---|---|---|---|---|---|---|
| 1 | 50 | 90 | 60 | 70 | 80 | 32.01 | 32.78 |
| 2 | 75 | 110 | 80 | 90 | 100 | 40.87 | 42.43 |
| 3 | 100 | 160 | 120 | 130 | 140 | 41.91 | 43.79 |
| 4 | 125 | 187 | 150 | 160 | 170 | 38.17 | 40.28 |
| 5 | 150 | 225 | 180 | 192 | 204 | 38.62 | 40.08 |
| Medium Pressure [MPa] | Experimental Results [mL/min] | Prediction Results [mL/min] |
|---|---|---|
| 0.2 | 6.1 | 20.74 |
| 0.5 | 22.8 | 48.35 |
| 0.7 | 35.4 | 65.09 |
| 1.0 | 58.0 | 88.20 |
| 1.2 | 77.0 | 102.45 |
| 1.5 | 101.0 | 122.33 |
| 1.7 | 119.0 | 134.67 |
| 2.0 | 159.0 | 151.96 |
Disclaimer/Publisher’s Note: The statements, opinions and data contained in all publications are solely those of the individual author(s) and contributor(s) and not of MDPI and/or the editor(s). MDPI and/or the editor(s) disclaim responsibility for any injury to people or property resulting from any ideas, methods, instructions or products referred to in the content. |
© 2026 by the authors. Licensee MDPI, Basel, Switzerland. This article is an open access article distributed under the terms and conditions of the Creative Commons Attribution (CC BY) license.
Share and Cite
Shi, H.; Wang, Z.-T.; Liu, Y.-D.; Jiang, X.-H.; Shen, W.; Li, W.-Q.; Jin, Z.-J.; Qian, J.-Y. An Investigation on Leakage Rate of Hard Sealing Ball Valve. Eng 2026, 7, 50. https://doi.org/10.3390/eng7010050
Shi H, Wang Z-T, Liu Y-D, Jiang X-H, Shen W, Li W-Q, Jin Z-J, Qian J-Y. An Investigation on Leakage Rate of Hard Sealing Ball Valve. Eng. 2026; 7(1):50. https://doi.org/10.3390/eng7010050
Chicago/Turabian StyleShi, Hong, Zhao-Tong Wang, Yu-Dong Liu, Xiao-Hong Jiang, Wei Shen, Wen-Qing Li, Zhi-Jiang Jin, and Jin-Yuan Qian. 2026. "An Investigation on Leakage Rate of Hard Sealing Ball Valve" Eng 7, no. 1: 50. https://doi.org/10.3390/eng7010050
APA StyleShi, H., Wang, Z.-T., Liu, Y.-D., Jiang, X.-H., Shen, W., Li, W.-Q., Jin, Z.-J., & Qian, J.-Y. (2026). An Investigation on Leakage Rate of Hard Sealing Ball Valve. Eng, 7(1), 50. https://doi.org/10.3390/eng7010050

