Review of Si-Based Thin Films and Materials for Thermoelectric Energy Harvesting and Their Integration into Electronic Devices for Energy Management Systems
Abstract
1. Introduction
2. Thermoelectric Energy Harvesting
2.1. Seebeck Effect
2.2. Thermoelectric Efficiency
2.3. Thermoelectric Generators (TEGs)
- Direct energy conversion.
- No moving parts or working fluids inside the TEG.
- A long lifetime.
- No scaling effect.
- Quiet/silent operation.
- Adaptable to any workplace.
2.4. Silicon-Based Thin Film Materials for TE Power Generation
3. ZT Optimization of TE Materials for Power Generation
3.1. Challenges in Improving ZT
3.2. Strategies to Improve ZT
3.2.1. Power Factor Enhancement
3.2.2. Thermal Conductivity Reduction
4. Recent Advances in Si-Based Materials for TE Power Generation
4.1. Deposition Methods for Si-Based Thin Film Materials
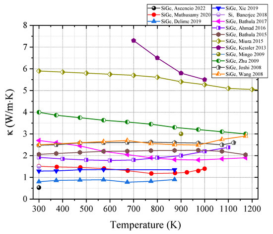
4.2. Evaluation of Thermal Conductivity
4.3. State-of-the-Art of Si-Based Thin Films Materials


| Year | Material | Type | Temperature (K) | ZT | Reference |
|---|---|---|---|---|---|
| 2022 | SiGe | N | 300 | 2.61 | Ascencio-Hurtado et al. [24] |
| 2020 | SiGe | P | 973 | 1.63 | Muthusamy et al. [105] |
| 2019 | SiGe | N | 873 | 1.88 | Delime-Codrin et al. [106] |
| 2019 | SiGe | N | 873 | 0.60 | Xie et al. [143] |
| 2018 | Si | N | 300 | 0.60 | Banerjee et al. [20] |
| 2017 | SiGe | – | 627 | 1.70 | Bathula et al. [107] |
| 2016 | SiGe | P | 1100 | 1.81 | Ahmad et al. [104] |
| 2015 | SiGe | – | 627 | 1.20 | Bathula et al. [109] |
| 2015 | SiGe | N | 1125 | 0.58 | Miura et al. [139] |
| 2014 | SiGe | – | 300 | 0.13 | Samarelli et al. [85] |
| 2013 | SiGe | – | 300 | 0.02 | Chrastina et al. [140] |
| 2013 | SiGe | P | 1000 | 0.32 | Kessler et al. [144] |
| 2011 | SiGe | N | 300 | 0.03 | Wang et al. [127] |
| 2010 | Si | – | 300 | 0.40 | Tang et al. [21] |
| 2009 | SiGe | – | 900 | 1.70 | Mingo et al. [108] |
| 2009 | SiGe | N | 1175 | 0.95 | Zhu et al. [103] |
| 2008 | SiGe | P | 1123 | 0.95 | Joshi et al. [133] |
| 2008 | SiGe | N | 1173 | 1.30 | Wang et al. [134] |
4.4. Thin Film TEG Devices
5. Overview and Prospective
Author Contributions
Funding
Institutional Review Board Statement
Informed Consent Statement
Data Availability Statement
Acknowledgments
Conflicts of Interest
Abbreviations
| TE | Thermoelectric |
| TEG | Thermoelectric generator |
| FOM | Figure of merit |
| EH | Energy harvesting |
| SiGe | Silicon-germanium |
| PECVD | Plasma-enhanced chemical vapor deposition |
| PGEC | Phonon-glass electron-crystal |
| MFP | Mean free path |
| CMOS | Complementary metal-oxide semiconductor |
References
- Ali, M.B.; Saidur, R.; Hossain, M.S. A review on emission analysis in cement industries. Renew. Sustain. Energy Rev. 2011, 15, 2252–2261. [Google Scholar] [CrossRef]
- Xi, H.; Luo, L.; Fraisse, G. Development and applications of solar-based thermoelectric technologies. Renew. Sustain. Energy Rev. 2007, 11, 923–936. [Google Scholar] [CrossRef]
- Thirugnanasambandam, M.; Iniyan, S.; Goic, R. A review of solar thermal technologies. Renew. Sustain. Energy Rev. 2010, 14, 312–322. [Google Scholar] [CrossRef]
- Rowe, D.M. Thermoelectrics Handbook: Micro to Nano; CRC Press: Boca Raton, FL, USA, 2018. [Google Scholar]
- Soin, N. Chapter 10—Magnetic Nanoparticles—Piezoelectric Polymer Nanocomposites for Energy Harvesting. In Micro and Nano Technologies; El-Gendy, A.A., Barandiarán, J.M., Hadimani, R.L.B.T.-M.N.M., Eds.; Elsevier: Amsterdam, The Netherlands, 2018; pp. 295–322. [Google Scholar] [CrossRef]
- Zheng, J. Recent advances on thermoelectric materials. Front. Phys. 2008, 3, 269–279. [Google Scholar] [CrossRef]
- Tritt, T.M. Thermoelectric Phenomena, Materials, and Applications. Annu. Rev. Mater. Res. 2011, 41, 433–448. [Google Scholar] [CrossRef]
- Paul, D. Thermoelectric Energy Harvesting. In ICT—Energy—Concepts towards Zero; Fagas, G., Gammaitoni, L., Paul, D., Berini, G.A., Eds.; IntechOpen: Rijeka, Croatia, 2014. [Google Scholar] [CrossRef]
- Radousky, H.B.; Liang, H. Energy Harvesting: An Integrated View of Materials, Devices and Applications. Nanotechnology 2012, 23, 502001. [Google Scholar] [CrossRef]
- Nandihalli, N.; Gregory, D.H.; Mori, T. Energy-Saving Pathways for Thermoelectric Nanomaterial Synthesis: Hydrothermal/Solvothermal, Microwave-Assisted, Solution-Based, and Powder Processing. Adv. Sci. 2022, 25, 2106052. [Google Scholar] [CrossRef]
- Paradiso, J.A.; Starner, T. Energy scavenging for mobile and wireless electronics. IEEE Pervasive Comput. 2005, 4, 18–27. [Google Scholar] [CrossRef]
- Vedernikov, M.V.; Iordanishvili, E.K.A.F. Ioffe and origin of modern semiconductor thermoelectric energy conversion. In Proceedings of the Seventeenth International Conference on Thermoelectrics, Proceedings ICT98 (Cat. No.98TH8365), Nagoya, Japan, 28 May 1998; pp. 37–42. [Google Scholar] [CrossRef]
- Ioffe, A.F. Semiconductor Thermoelements and Thermoelectric Cooling; Infosearch Ltd.: London, UK, 1957. [Google Scholar]
- Snyder, G.J.; Toberer, E.S. Complex Thermoelectric Materials. Nat. Mater. 2008, 7, 105–114. [Google Scholar] [CrossRef]
- Kim, H.S.; Liu, W.; Chen, G.; Chu, C.-W.; Ren, Z. Relationship between thermoelectric figure of merit and energy conversion efficiency. Proc. Natl. Acad. Sci. USA 2015, 112, 8205–8210. [Google Scholar] [CrossRef]
- Ferrando-Villalba, P.; Lopeandía, A.F.; Alvarez, F.X.; Paul, B.; de Tomás, C.; Alonso, M.I.; Garriga, M.; Goñi, A.R.; Santiso, J.; Garcia, G.; et al. Tailoring Thermal Conductivity by Engineering Compositional Gradients in Si1-xGex superlattices. Nano Res. 2015, 8, 2833–2841. [Google Scholar] [CrossRef]
- Qiu, B.; Chen, G.; Tian, Z. Effects of Aperiodicity and Roughness on Coherent Heat Conduction in Superlattices. Nanoscale Microscale Thermophys. Eng. 2015, 19, 272–278. [Google Scholar] [CrossRef]
- Kang, H.; Li, J.; Liu, Y.; Guo, E.; Chen, Z.; Liu, D.; Fan, G.; Zhang, Y.; Jiang, X.; Wang, T. Optimizing the thermoelectric transport properties of BiCuSeO via doping with the rare-earth variable-valence element Yb. J. Mater. Chem. C 2018, 6, 8479–8487. [Google Scholar] [CrossRef]
- Yang, S.H.; Zhu, T.J.; Sun, T.; He, J.; Zhang, S.N.; Zhao, X.B. Nanostructures in High-Performance (GeTe)x(AgSbTe2)100-Xthermoelectric Materials. Nanotechnology 2008, 19, 245707. [Google Scholar] [CrossRef]
- Banerjee, D.; Vallin, Ö.; Samani, K.M.; Majee, S.; Zhang, S.L.; Liu, J.; Zhang, Z.B. Elevated Thermoelectric Figure of Merit of N-Type Amorphous Silicon by Efficient Electrical Doping Process. Nano Energy 2018, 44, 89–94. [Google Scholar] [CrossRef]
- Tang, J.; Wang, H.-T.; Lee, D.H.; Fardy, M.; Huo, Z.; Russell, T.P.; Yang, P. Holey Silicon as an Efficient Thermoelectric Material. Nano Lett. 2010, 10, 4279–4283. [Google Scholar] [CrossRef]
- Lee, E.K.; Yin, L.; Lee, Y.; Lee, J.W.; Lee, S.J.; Lee, J.; Cha, S.N.; Whang, D.; Hwang, G.S.; Hippalgaonkar, K.; et al. Large Thermoelectric Figure-of-Merits from SiGe Nanowires by Simultaneously Measuring Electrical and Thermal Transport Properties. Nano Lett. 2012, 12, 2918–2923. [Google Scholar] [CrossRef]
- Markussen, T. Surface Disordered Ge–Si Core–Shell Nanowires as Efficient Thermoelectric Materials. Nano Lett. 2012, 12, 4698–4704. [Google Scholar] [CrossRef]
- Ascencio-Hurtado, C.R.; Torres, A.; Ambrosio, R.; Moreno, M.; Álvarez-Quintana, J.; Hurtado-Macías, A. N-type amorphous silicon-germanium thin films with embedded nanocrystals as a novel thermoelectric material of elevated ZT. J. Alloys Compd. 2022, 890, 161843. [Google Scholar] [CrossRef]
- Beekman, M.; Morelli, D.T.; Nolas, G.S. Better thermoelectrics through glass-like crystals. Nat. Mater. 2015, 14, 1182–1185. [Google Scholar] [CrossRef]
- Singh, D.; Ahuja, R. Dimensionality effects in high-performance thermoelectric materials: Computational and experimental progress in energy harvesting applications. WIREs Comput. Mol. Sci. 2022, 12, e1547. [Google Scholar] [CrossRef]
- He, J.; Tritt, T.M. Advances in thermoelectric materials research: Looking back and moving forward. Science 2017, 357, eaak9997. [Google Scholar] [CrossRef] [PubMed]
- Basu, R.; Singh, A. High temperature Si–Ge alloy towards thermoelectric applications: A comprehensive review. Mater. Today Phys. 2021, 21, 100468. [Google Scholar] [CrossRef]
- Vineis, C.J.; Shakouri, A.; Majumdar, A.; Kanatzidis, M.G. Nanostructured Thermoelectrics: Big Efficiency Gains from Small Features. J. Adv. Mater. 2010, 22, 3970–3980. [Google Scholar] [CrossRef] [PubMed]
- Gadea, G.; Pacios, M.; Morata, Á.; Tarancón, A. Silicon-based nanostructures for integrated thermoelectric generators. J. Phys. D 2018, 51, 423001. [Google Scholar] [CrossRef]
- Chang, C.; Wu, M.; He, D.; Pei, Y.; Wu, C.-F.; Wu, X.; Yu, H.; Zhu, F.; Wang, K.; Chen, Y.; et al. 3D charge and 2D phonon transports leading to high out-of-plane ZT in n-type SnSe crystals. Science 2018, 360, 778–783. [Google Scholar] [CrossRef]
- Chen, X.; Dai, W.; Wu, T.; Luo, W.; Yang, J.; Jiang, W.; Wang, L. Thin Film Thermoelectric Materials: Classification, Characterization, and Potential for Wearable Applications. Coatings 2018, 8, 244. [Google Scholar] [CrossRef]
- Chen, X.; Zhou, Z.; Lin, Y.-H.; Nan, C. Thermoelectric thin films: Promising strategies and related mechanism on boosting energy conversion performance. J. Mater. 2020, 6, 494–512. [Google Scholar] [CrossRef]
- Yan, J.; Liao, X.; Yan, D.; Chen, Y. Review of Micro Thermoelectric Generator. J. Microelectromech. Syst. 2018, 27, 1–18. [Google Scholar] [CrossRef]
- Champier, D. Thermoelectric generators: A review of applications. Energy Convers. Manag. 2017, 140, 167–181. [Google Scholar] [CrossRef]
- Schierning, G. Silicon nanostructures for thermoelectric devices: A review of the current state of the art. Phys. Status Solidi A 2014, 211, 1235–1249. [Google Scholar] [CrossRef]
- Overhof, H.; Thomas, P. Electronic Transport in Hydrogenated Amorphous Semiconductors; Springer: Berlin/Heidelberg, Germany, 1989. [Google Scholar]
- Ohishi, Y.; Xie, J.; Miyazaki, Y.; Aikebaier, Y.; Muta, H.; Kurosaki, K.; Yamanaka, S.; Uchida, N.; Tada, T. Thermoelectric properties of heavily boron- and phosphorus-doped silicon. J. Appl. Phys. 2015, 54, 71301. [Google Scholar] [CrossRef]
- Stranz, A.; Kähler, J.; Waag, A.; Peiner, E. Thermoelectric Properties of High-Doped Silicon from Room Temperature to 900 K. J. Electron. Mater. 2013, 42, 2381–2387. [Google Scholar] [CrossRef]
- He, W.; Zhang, G.; Zhang, X.; Ji, J.; Li, G.; Zhao, X. Recent Development and Application of Thermoelectric Generator and Cooler. Appl. Energy 2015, 143, 1–25. [Google Scholar] [CrossRef]
- Stark, I. Micro Thermoelectric Generators. In Micro Energy Harvesting; John Wiley & Sons, Ltd.: Hoboken, NJ, USA, 2015; pp. 245–269. [Google Scholar] [CrossRef]
- Son, D.; Lee, J.; Qiao, S.; Ghaffari, R.; Kim, J.; Lee, J.E.; Song, C.; Kim, S.J.; Lee, D.J.; Jun, S.W.; et al. Multifunctional wearable devices for diagnosis and therapy of movement disorders. Nat. Nanotechnol. 2014, 9, 397–404. [Google Scholar] [CrossRef] [PubMed]
- Bahk, J.-H.; Fang, H.; Yazawa, K.; Shakouri, A. Flexible thermoelectric materials and device optimization for wearable energy harvesting. J. Mater. Chem. C. 2015, 3, 10362–10374. [Google Scholar] [CrossRef]
- Briand, D.; Yeatman, E.; Roundy, S. Micro Energy Harvesting; Wiley Online Library: Hoboken, NJ, USA, 2015. [Google Scholar]
- Snyder, G.J. Small Thermoelectric Generators. J. Electrochem. Soc. 2008, 17, 54. [Google Scholar] [CrossRef]
- Siddique, A.R.M.; Mahmud, S.; Heyst, B.V. A review of the state of the science on wearable thermoelectric power generators (TEGs) and their existing challenges. Renew. Sustain. Energy Rev. 2017, 73, 730–744. [Google Scholar] [CrossRef]
- Koplow, M.; Chen, A.; Steingart, D.; Wright, P.K.; Evans, J.W. Thick film thermoelectric energy harvesting systems for biomedical applications. In Proceedings of the 2008 5th International Summer School and Symposium on Medical Devices and Biosensors, Hong Kong, China, 1–3 June 2008; pp. 322–325. [Google Scholar] [CrossRef]
- Perez-Marín, A.P.; Lopeandía, A.F.; Abad, L.; Ferrando-Villaba, P.; Garcia, G.; Lopez, A.M.; Muñoz-Pascual, F.X.; Rodríguez-Viejo, J. Micropower thermoelectric generator from thin Si membranes. Nano Energy 2014, 4, 73–80. [Google Scholar] [CrossRef]
- Wijngaards, D.D.L. Lateral on-Chip Integrated Peltier Elements: Based on Polycrystalline Silicon-Germanium; Technische Universiteit Delft: Delft, The Netherlands, 2003. [Google Scholar]
- Donmez Noyan, I.; Gadea, G.; Salleras, M.; Pacios, M.; Calaza, C.; Stranz, A.; Dolcet, M.; Morata, A.; Tarancon, A.; Fonseca, L. SiGe Nanowire Arrays Based Thermoelectric Microgenerator. Nano Energy 2019, 57, 492–499. [Google Scholar] [CrossRef]
- Newman, R.C. A review of the growth and structure of thin films of germanium and silicon. Microelectron. Reliab. 1964, 3, 121–138. [Google Scholar] [CrossRef]
- Steele, M.C.; Rosi, F.D. Thermal Conductivity and Thermoelectric Power of Germanium-Silicon Alloys. J. Appl. Phys. 1958, 29, 1517–1520. [Google Scholar] [CrossRef]
- Jaziri, N.; Boughamoura, A.; Müller, J.; Mezghani, B.; Tounsi, F.; Ismail, M. A comprehensive review of Thermoelectric Generators: Technologies and common applications. Energy Rep. 2020, 6, 264–287. [Google Scholar] [CrossRef]
- Ziouche, K.; Yuan, Z.; Lejeune, P.; Lasri, T.; Leclercq, D.; Bougrioua, Z. Silicon-Based Monolithic Planar Micro Thermoelectric Generator Using Bonding Technology. J. Microelectromech. Syst. 2017, 26, 45–47. [Google Scholar] [CrossRef]
- Chen, Y.-W.; Wu, C.-C.; Hsu, C.-C.; Dai, C.-L. Fabrication and Testing of Thermoelectric CMOS-MEMS Microgenerators with CNCs Film. Appl. Sci. 2018, 8, 1047. [Google Scholar] [CrossRef]
- Nozariasbmarz, A.; Agarwal, A.; Coutant, Z.A.; Hall, M.J.; Liu, J.; Liu, R.; Malhotra, A.; Norouzzadeh, P.; Öztürk, M.C.; Ramesh, V.P.; et al. Thermoelectric Silicides: A Review. Jpn. J. Appl. Phys. 2017, 56, 05DA04. [Google Scholar] [CrossRef]
- Shinohara, Y.; Umezawa, O.; Martínez, L.; Kharissova, O.; Kharisov, B. Thermoelectric Power Generation from Waste Heat; Springer: Cham, Switzerland, 2018; pp. 1–19. [Google Scholar] [CrossRef]
- Shinohara, Y. Recent progress of thermoelectric devices or modules in Japan. Mater. Today Proc. 2017, 4, 12333–12342. [Google Scholar] [CrossRef]
- Kajikawa, T.; Ohta, T.; Nishida, I.A.; Matsuura, K.; Natsubara, K. Overview of Thermoelectric Conversion Systems, 1995.
- Nandihalli, N.; Liu, C.-J.; Mori, T. Polymer based thermoelectric nanocomposite materials and devices: Fabrication and characteristics. Nano Energy 2020, 78, 105186. [Google Scholar] [CrossRef]
- Petsagkourakis, I.; Tybrandt, K.; Crispin, X.; Ohkubo, I.; Satoh, N.; Mori, T. Thermoelectric materials and applications for energy harvesting power generation. Sci. Technol. Adv. 2018, 19, 836–862. [Google Scholar] [CrossRef]
- Alam, H.; Ramakrishna, S. A Review on the Enhancement of Figure of Merit from Bulk to Nano-Thermoelectric Materials. Nano Energy 2013, 2, 190–212. [Google Scholar] [CrossRef]
- Pichanusakorn, P.; Bandaru, P. Nanostructured thermoelectrics. Mater. Sci. Eng. R Rep. 2010, 67, 19–63. [Google Scholar] [CrossRef]
- Suwardi, A.; Bash, D.; Ng, H.K.; Gomez, J.R.; Repaka, D.V.M.; Kumar, P.; Hippalgaonkar, K. Inertial effective mass as an effective descriptor for thermoelectrics via data-driven evaluation. J. Mater. Chem. A 2019, 17, 23762–23769. [Google Scholar] [CrossRef]
- Huang, Z.; Wang, D.; Li, C.; Wang, J.; Wang, G.; Zhao, L.-D. Improving the thermoelectric performance of p-type PbSe via synergistically enhancing the Seebeck coefficient and reducing electronic thermal conductivity. J. Mater. Chem. A 2020, 8, 4931–4937. [Google Scholar] [CrossRef]
- Slack, G.A.; Rowe, D.M. CRC Handbook of Thermoelectrics; CRC Press: Boca Raton, FL, USA, 1995. [Google Scholar]
- Nolas, G.S.; Goldsmid, H.J. The Figure of Merit in Amorphous Thermoelectrics. Phys. Status Solidi A 2002, 194, 271–276. [Google Scholar] [CrossRef]
- Satyala, N.; Tahmasbi Rad, A.; Zamanipour, Z.; Norouzzadeh, P.; Krasinski, J.S.; Tayebi, L.; Vashaee, D. Reduction of Thermal Conductivity of Bulk Nanostructured Bismuth Telluride Composites Embedded with Silicon Nano-Inclusions. J. Appl. Phys. 2014, 115, 44304. [Google Scholar] [CrossRef]
- Chen, G.; Zhou, S.; Yao, D.-Y.; Kim, C.; Zheng, X.; Liu, Z.; Wang, K. Heat conduction in alloy-based superlattices. In Proceedings of the Seventeenth International Conference on Thermoelectrics, Proceedings ICT98, Nagoya, Japan, 28 May 1998; Volume 28, pp. 202–205. [Google Scholar] [CrossRef]
- Norouzzadeh, P.; Nozariasbmarz, A.; Krasinski, J.S.; Vashaee, D. Thermal Conductivity of Nanostructured SixGe1-x in Amorphous Limit by Molecular Dynamics Simulation. J. Appl. Phys. 2015, 117, 214303. [Google Scholar] [CrossRef]
- Wudil, Y.; Gondal, M.; Almessiere, M.; Alsayoud, A. The multi-dimensional approach to synergistically improve the performance of inorganic thermoelectric materials: A critical review. Arab. J. Chem. 2021, 14, 103103. [Google Scholar] [CrossRef]
- Xiao, C.; Li, Z.; Li, K.; Huang, P.; Xie, Y. Decoupling Interrelated Parameters for Designing High Performance Thermoelectric Materials. Acc. Chem. Res. 2014, 47, 1287–1295. [Google Scholar] [CrossRef]
- Qiu, W.; He, H.; Wang, Z.; Hu, Q.; Cui, X.; Wang, Z.; Zhang, Y.; Gu, L.; Yang, L.; Sun, Y.; et al. Enhancing the figure of merit of n-type PbTe materials through multi-scale graphene induced interfacial engineering. Nano Today 2021, 39, 101176. [Google Scholar] [CrossRef]
- Baker, J.L.; Park, C.; Kenney-Benson, C.; Sharma, V.K.; Kanchana, V.; Vaitheeswaran, G.; Pickard, C.J.; Cornelius, A.; Velisavljevic, N.; Kumar, R.S. Pressure-Induced Enhancement of Thermoelectric Figure of Merit and Structural Phase Transition in TiNiSn. J. Phys. Chem. Lett. 2021, 12, 1046–1051. [Google Scholar] [CrossRef]
- Gaidar, G.P. The Effect of Thermal Treatment on the Thermoelectric Figure of Merit of Silicon Doped Using Nuclear Transmutation. Surf. Eng. Appl. Electrochem. 2021, 57, 425–430. [Google Scholar] [CrossRef]
- Vaqueiro, P.; Powell, A.V. Recent developments in nanostructured materials for high-performance thermoelectrics. J. Mater. Chem. 2010, 20, 9577–9584. [Google Scholar] [CrossRef]
- Heremans, J.P.; Jovovic, V.; Toberer, E.S.; Saramat, A.; Kurosaki, K.; Charoenphakdee, A.; Yamanaka, S.; Snyder, G.J. Enhancement of Thermoelectric Efficiency in PbTe by Distortion of the Electronic Density of States. Science 2008, 321, 554–557. [Google Scholar] [CrossRef] [PubMed]
- Xiao, Y.; Zhao, L.-D. Charge and phonon transport in PbTe-based thermoelectric materials. Npj Quantum Mater. 2018, 3, 55. [Google Scholar] [CrossRef]
- Singha, A.; Muralidharan, B. Incoherent scattering can favorably influence energy filtering in nanostructured thermoelectrics. Sci. Rep. 2017, 7, 7879. [Google Scholar] [CrossRef]
- Hwang, J.-Y.; Kim, J.; Kim, H.-S.; Kim, S.-I.; Lee, K.H.; Kim, S.W. Effect of Dislocation Arrays at Grain Boundaries on Electronic Transport Properties of Bismuth Antimony Telluride: Unified Strategy for High Thermoelectric Performance. Adv. Energy Mater. 2018, 8, 1800065. [Google Scholar] [CrossRef]
- Liang, Z.; Boland, M.J.; Butrouna, K.; Strachan, D.R.; Graham, K.R. Increased power factors of organic–inorganic nanocomposite thermoelectric materials and the role of energy filtering. J. Mater. Chem. A 2017, 5, 15891–15900. [Google Scholar] [CrossRef]
- Zhang, D.; Lei, J.; Guan, W.; Ma, Z.; Wang, C.; Zhang, L.; Cheng, Z.; Wang, Y. Enhanced thermoelectric performance of BiSbTe alloy: Energy filtering effect of nanoprecipitates and the effect of SiC nanoparticles. J. Alloys Compd. 2019, 784, 1276–1283. [Google Scholar] [CrossRef]
- Zhang, X.; Pei, Y. Manipulation of charge transport in thermoelectrics. Npj Quantum Mater. 2017, 2, 68. [Google Scholar] [CrossRef]
- Weidner, M.; Fuchs, A.; Bayer, T.J.M.; Rachut, K.; Schnell, P.; Deyu, G.K.; Klein, A. Defect Modulation Doping. Adv. Funct. Mater. 2017, 29, 1807906. [Google Scholar] [CrossRef]
- Samarelli, A.; Llin, L.F.; Cecchi, S.; Frigerio, J.; Chrastina, D.; Isella, G.; Gubler, E.M.; Etzelstorfer, T.; Stangl, J.; Zhang, Y.; et al. Prospects for SiGe thermoelectric generators. Solid-State Electron. 2014, 98, 70–74. [Google Scholar] [CrossRef]
- Gao, X.-Y.; Zhao, J.-T.; Liu, Y.-F.; Lin, Q.-G.; Chen, Y.-S.; Gu, J.-H.; Yang, S.-E.; Lu, J.-X. Characterized Microstructure and Electrical Properties of Hydrogenated Nanocrystalline Silicon Films by Raman and Electrical Conductivity Spectra. Acta Phys. Pol. A 2009, 115, 738–741. [Google Scholar]
- Liu, S.; Zeng, X.; Peng, W.; Xiao, H.; Yao, W.; Xie, X.; Wang, C.; Wang, Z. Improvement of Amorphous Silicon N-i-p Solar Cells by Incorporating Double-Layer Hydrogenated Nanocrystalline Silicon Structure. J. Non-Cryst. Solids 2011, 357, 121–125. [Google Scholar] [CrossRef]
- Moreno, M.; Torres, A.; Ambrosio, R.; Torres, E.; Rosales, P.; Zuñiga, C.; Reyes-Betanzo, C.; Calleja, W.; De La Hidalga, J.; Monfil, K. Study of Polymorphous Silicon as Thermo-Sensing Film for Infrared Detectors. Mater. Sci. Eng. B Solid-State Mater. Adv. Technol. 2012, 177, 756–761. [Google Scholar] [CrossRef]
- Anutgan, T.; Uysal, S. Low Temperature Plasma Production of Hydrogenated Nanocrystalline Silicon Thin Films. Curr. Appl. Phys. 2013, 13, 181–188. [Google Scholar] [CrossRef]
- Loureiro, J.; Mateus, T.; Filonovich, S.; Ferreira, M.; Figueira, J.; Rodrigues, A.; Donovan, B.F.; Hopkins, P.E.; Ferreira, I. Hydrogenated Nanocrystalline Silicon Thin Films with Promising Thermoelectric Properties. Appl. Phys. A 2015, 120, 1497–1502. [Google Scholar] [CrossRef]
- Loureiro, J.; Mateus, T.; Filonovich, S.; Ferreira, M.; Figueira, J.; Rodrigues, A.; Donovan, B.F.; Hopkins, P.E.; Ferreira, I. Improved Thermoelectric Properties of Nanocrystalline Hydrogenated Silicon Thin Films by Post-Deposition Thermal Annealing. Thin Solid Film. 2017, 642, 276–280. [Google Scholar] [CrossRef]
- Ette, P.M.; Bhargav, P.B.; Ahmed, N.; Chandra, B.; Rayarfrancis, A.; Ramesha, K. Nanocrystalline Silicon Embedded Highly Conducting Phosphorus Doped Silicon Thin Film as High Power Lithium Ion Battery Anode. Electrochim. Acta 2020, 330, 135318. [Google Scholar] [CrossRef]
- Torres, A.; Moreno, M.; Kosarev, A.; Heredia, A. Thermo-Sensing Silicon-Germanium-Boron Films Prepared by Plasma for Un-Cooled Micro-Bolometers. J. Non-Cryst. Solids 2008, 354, 2556–2560. [Google Scholar] [CrossRef]
- Calleja, C.; Torres, A.; Moreno, M.; Rosales, P.; Sanz-Pascual, M.T.; Velázquez, M. A Microbolometer Fabrication Process Using Polymorphous Silicon–Germanium Films (Pm-SixGey:H) as Thermosensing Material. Phys. Status Solidi A 2016, 213, 1864–1868. [Google Scholar] [CrossRef]
- Jimenez, R.; Moreno, M.; Torres, A.; Ambrosio, R.; Heredia, A.; Ponce, A. Reduction of Residual Stress in Polymorphous Silicon Germanium Films and Their Evaluation in Microbolometers. Eur. Phys. J. Appl. Phys. 2020, 89, 30101. [Google Scholar] [CrossRef]
- Ascencio-Hurtado, C.; Torres, A.; Moreno, M.; Ambrosio, R. High Conductivity Intrinsic a-SiGe Films Deposited at Low-Temperature. In Proceedings of the 2021 IEEE Latin America Electron Devices Conference (LAEDC), Cancun, Mexico, 19–21 April 2021; pp. 1–4. [Google Scholar] [CrossRef]
- Ascencio-Hurtado, C.R.; Torres, A.; Ambrosio, R.; Moreno, M.; Arenas-Hernández, A. Evaluation of the influence of hydrogen-dilution ratio and doping on the properties of a-SiGe:H films. In Proceedings of the 2022 IEEE Latin American Electron Devices Conference (LAEDC), Cancun, Mexico, 4–6 July 2022; pp. 1–4. [Google Scholar] [CrossRef]
- Velandia, O.; Moreno, M.; Zavala, R.; Morales, A.; Torres, A.; Zuñiga, C.; Rosales, P.; Hernández, L.; Carlos, N. Hydrogenated amorphous silicon germanium films doped with nitrogen (a-SiGe:H,N) to improve the long-wave infrared (LWIR) region absorption. In Proceedings of the 2022 IEEE Latin American Electron Devices Conference (LAEDC), Cancun, Mexico, 4–6 July 2022; pp. 1–4. [Google Scholar] [CrossRef]
- Franco, E.; Torres, A. High electrical conductivity of P type a-SiGe:H films deposited by PECVD. In Proceedings of the 2022 IEEE Latin American Electron Devices Conference (LAEDC), Cancun, Mexico, 4–6 July 2022; pp. 1–4. [Google Scholar] [CrossRef]
- Poudeu, P.F.P.; D’Angelo, J.; Kong, H.; Downey, A.; Short, J.L.; Pcionek, R.; Hogan, T.P.; Uher, C.; Kanatzidis, M.G. Nanostructures versus Solid Solutions: Low Lattice Thermal Conductivity and Enhanced Thermoelectric Figure of Merit in Pb9.6Sb0.2Te10-xSex Bulk Materials. J. Am. Chem. Soc. 2006, 128, 14347–14355. [Google Scholar] [CrossRef] [PubMed]
- Bhandari, C.M.; Rowe, D.M. Boundary scattering of phonons. J. Phys. C Solid State Phys. 1978, 11, 1787. [Google Scholar] [CrossRef]
- Savvides, N.; Goldsmid, H.J. The effect of boundary scattering on the high-temperature thermal conductivity of silicon. J. Phys. C Solid State Phys. 1973, 6, 1701. [Google Scholar] [CrossRef]
- Zhu, G.H.; Lee, H.; Lan, Y.C.; Wang, X.W.; Joshi, G.; Wang, D.Z.; Yang, J.; Vashaee, D.; Guilbert, H.; Pillitteri, A.; et al. Increased Phonon Scattering by Nanograins and Point Defects in Nanostructured Silicon with a Low Concentration of Germanium. Phys. Rev. Lett. 2009, 102, 196803. [Google Scholar] [CrossRef]
- Ahmad, S.; Singh, A.; Bohra, A.; Basu, R.; Bhattacharya, S.; Bhatt, R.; Meshram, K.; Roy, M.; Sarkar, S.K.; Hayakawa, Y.; et al. Boosting thermoelectric performance of p-type SiGe alloys through in-situ metallic YSi2 nanoinclusions. Nano Energy 2016, 27, 282–297. [Google Scholar] [CrossRef]
- Muthusamy, O.; Ghodke, S.; Singh, S.; Delime-Codrin, K.; Nishino, S.; Adachi, M.; Yamamoto, Y.; Matsunami, M.; Harish, S.; Shimomura, M.; et al. Enhancement of the Thermoelectric Performance of Si-Ge Nanocomposites Containing a Small Amount of Au and Optimization of Boron Doping. J. Electron. Mater. 2020, 49, 2813–2824. [Google Scholar] [CrossRef]
- Delime-Codrin, K.; Omprakash, M.; Ghodke, S.; Sobota, R.; Adachi, M.; Kiyama, M.; Matsuura, T.; Yamamoto, Y.; Matsunami, M.; Takeuchi, T. Large figure of merit ZT = 1.88 at 873 K achieved with nanostructured Si0.55Ge0.35(P0.10Fe0.01). Appl. Phys. Express 2019, 12, 45507. [Google Scholar] [CrossRef]
- Bathula, S.; Jayasimhadri, M.; Gahtori, B.; Kumar, A.; Srivastava, A.K.; Dhar, A. Enhancement in thermoelectric performance of SiGe nanoalloys dispersed with SiC nanoparticles. Phys. Chem. Chem. Phys. 2017, 19, 25180–25185. [Google Scholar] [CrossRef]
- Mingo, N.; Hauser, D.; Kobayashi, N.P.; Plissonnier, M.; Shakouri, A. “Nanoparticle-in-Alloy” Approach to Efficient Thermoelectrics: Silicides in SiGe. Nano Lett. 2009, 9, 711–715. [Google Scholar] [CrossRef]
- Bathula, S.; Jayasimhadri, M.; Gahtori, B.; Singh, N.K.; Tyagi, K.; Srivastava, A.K.; Dhar, A. The role of nanoscale defect features in enhancing the thermoelectric performance of p-type nanostructured SiGe alloys. Nanoscale 2015, 7, 12474–12483. [Google Scholar] [CrossRef] [PubMed]
- Garg, J.; Bonini, N.; Kozinsky, B.; Marzari, N. Role of Disorder and Anharmonicity in the Thermal Conductivity of Silicon-Germanium Alloys: A First-Principles Study. Phys. Rev. Lett. 2011, 106, 045901. [Google Scholar] [CrossRef] [PubMed]
- Bera, C.; Mingo, N.; Volz, S. Marked Effects of Alloying on the Thermal Conductivity of Nanoporous Materials. Phys. Rev. Lett. 2010, 104, 115502. [Google Scholar] [CrossRef] [PubMed]
- Giri, K.; Wang, Y.-L.; Chen, T.-H.; Chen, C.-H. Challenges and strategies to optimize the figure of merit: Keeping eyes on thermoelectric metamaterials. Mater. Sci. Semicond. 2022, 150, 106944. [Google Scholar] [CrossRef]
- Wingert, M.C.; Zheng, J.; Kwon, S.; Chen, R. Thermal Transport in Amorphous Materials: A Review. Semicond. Sci. Technol. 2016, 31, 113003. [Google Scholar] [CrossRef]
- Lan, Y.; Minnich, A.J.; Chen, G.; Ren, Z. Enhancement of Thermoelectric Figure-of-Merit by a Bulk Nanostructuring Approach. Adv. Funct. Mater. 2010, 20, 357–376. [Google Scholar] [CrossRef]
- Dresselhaus, M.S.; Chen, G.; Tang, M.Y.; Yang, R.G.; Lee, H.; Wang, D.Z.; Ren, Z.F.; Fleurial, J.-P.; Gogna, P. New Directions for Low-Dimensional Thermoelectric Materials. Adv. Mater. 2007, 19, 1043–1053. [Google Scholar] [CrossRef]
- Borca-Tasciuc, T.; Liu, W.; Liu, J.; Zeng, T.; Song, D.W.; Moore, C.D.; Chen, G.; Wang, K.L.; Goorsky, M.S.; Radetic, T.; et al. Thermal Conductivity of Symmetrically Strained Si/Ge Superlattices. Superlattices Microstruct. 2000, 28, 199–206. [Google Scholar] [CrossRef]
- Liu, H.; Wang, L. Measurements of thermal conductivity and the coefficient of thermal expansion for polysilicon thin films by using double-clamped beams. J. Micromech. Microeng. 2017, 28, 15010. [Google Scholar] [CrossRef]
- Jugdersuren, B.; Kearney, B.T.; Queen, D.R.; Metcalf, T.H.; Culbertson, J.C.; Chervin, C.N.; Stroud, R.M.; Nemeth, W.; Wang, Q.; Liu, X. Thermal conductivity of amorphous and nanocrystalline silicon films prepared by hot-wire chemical-vapor deposition. Phys. Rev. B 2017, 96, 14206. [Google Scholar] [CrossRef]
- Ferrando-Villalba, P.; Lopeandia, A.F.; Abad, L.; Llobet, J.; Molina-Ruiz, M.; Garcia, G.; Gerbolès, M.; Alvarez, F.X.; Goñi, A.R.; Muñoz-Pascual, F.J.; et al. In-plane thermal conductivity of sub-20 nm thick suspended mono-crystalline Si layers. Nanotechnology 2014, 25, 185402. [Google Scholar] [CrossRef]
- Zink, B.L.; Pietri, R.; Hellman, F. Thermal Conductivity and Specific Heat of Thin-Film Amorphous Silicon. Phys. Rev. Let. 2006, 96, 55902. [Google Scholar] [CrossRef] [PubMed]
- Ju, Y.S. Phonon heat transport in silicon nanostructures. Appl. Phys. Lett. 2005, 85, 153106. [Google Scholar] [CrossRef]
- Liu, W.; Asheghi, M. Phonon–boundary scattering in ultrathin single-crystal silicon layers. Appl. Phys. Lett. 2004, 84, 3819–3821. [Google Scholar] [CrossRef]
- Moon, S.; Hatano, M.; Lee, M.; Grigoropoulos, C.P. Thermal conductivity of amorphous silicon thin films. Int. J. Heat Mass Transf. 2002, 45, 2439–2447. [Google Scholar] [CrossRef]
- Volz, S.; Feng, X.; Fuentes, C.; Guérin, P.; Jaouen, M. Thermal Conductivity Measurements of Thin Amorphous Silicon Films by Scanning Thermal Microscopy. Int. J. Thermophys. 2002, 23, 1645–1657. [Google Scholar] [CrossRef]
- Shen, B.; Zeng, Z.; Lin, C.; Hu, Z. Thermal Conductivity Measurement of Amorphous Si/SiGe Multilayer Films by 3 Omega Method. Int. J. Therm. Sci. 2013, 66, 19–23. [Google Scholar] [CrossRef]
- Cheaito, R.; Duda, J.C.; Beechem, T.E.; Hattar, K.; Ihlefeld, J.F.; Medlin, D.L.; Rodriguez, M.A.; Campion, M.J.; Piekos, E.S.; Hopkins, P.E. Experimental Investigation of Size Effects on the Thermal Conductivity of Silicon-Germanium Alloy Thin Films. Phys. Rev. Lett. 2012, 109, 195901. [Google Scholar] [CrossRef]
- Wang, Z.; Su, J.; van Andel, Y.; Nguyen, H.; Vullers, R.J.M. Material optimization of phosphorus-doped polycrystalline silicon germanium for miniaturized thermoelectric generator. In Proceedings of the 2011 16th International Solid-State Sensors, Actuators and Microsystems Conference, Beijing, China, 5–9 June 2011; pp. 346–349. [Google Scholar]
- Chakraborty, S.; Kleint, C.A.; Heinrich, A.; Schneider, C.M.; Schumann, J.; Falke, M.; Teichert, S. Thermal Conductivity in Strain Symmetrized Si/Ge Superlattices on Si(111). Appl. Phys. Lett. 2003, 83, 4184–4186. [Google Scholar] [CrossRef]
- Huxtable, S.T.; Abramson, A.R.; Tien, C.-L.; Majumdar, A.; LaBounty, C.; Fan, X.; Zeng, G.; Bowers, J.E.; Shakouri, A.; Croke, E.T. Thermal Conductivity of Si/SiGe and SiGe/SiGe Superlattices. Appl. Phys. Lett. 2002, 80, 1737–1739. [Google Scholar] [CrossRef]
- Lee, S.-M.; Cahill, D.G.; Venkatasubramanian, R. Thermal Conductivity of Si–Ge Superlattices. Appl. Phys. Lett. 1997, 70, 2957–2959. [Google Scholar] [CrossRef]
- Zhan, T.; Xu, Y.; Goto, M.; Tanaka, Y.; Kato, R.; Sasaki, M.; Kagawa, Y. Phonons with Long Mean Free Paths in a-Si and a-Ge. Appl. Phys. Lett. 2014, 104, 71911. [Google Scholar] [CrossRef]
- Fitriani; Ovik, R.; Long, B.D.; Barma, M.C.; Riaz, M.; Sabri, M.F.M.; Said, S.M.; Saidur, R. A review on nanostructures of high-temperature thermoelectric materials for waste heat recovery. Renew. Sustain. Energy Rev. 2016, 64, 635–659. [Google Scholar] [CrossRef]
- Joshi, G.; Lee, H.; Lan, Y.; Wang, X.; Zhu, G.; Wang, D.; Gould, R.W.; Cuff, D.C.; Tang, M.Y.; Dresselhaus, M.S.; et al. Enhanced Thermoelectric Figure-of-Merit in Nanostructured p-type Silicon Germanium Bulk Alloys. Nano Lett. Am. Chem. Soc. 2008, 8, 4670–4674. [Google Scholar] [CrossRef]
- Wang, X.W.; Lee, H.; Lan, Y.C.; Zhu, G.H.; Joshi, G.; Wang, D.Z.; Yang, J.; Muto, A.J.; Tang, M.Y.; Klatsky, J.; et al. Enhanced thermoelectric figure of merit in nanostructured n-type silicon germanium bulk alloy. Appl. Phys. Lett. 2008, 93, 193121. [Google Scholar] [CrossRef]
- Murray, C.B.; Kagan, C.R.; Bawendi, M.G. Synthesis and Characterization of Monodisperse Nanocrystals and Close-Packed Nanocrystal Assemblies. Annu. Rev. Mater. Sci. 2000, 30, 545–610. [Google Scholar] [CrossRef]
- Cosme, I.; Kosarev, A.; Zarate-Galvez, S.; Martinez, H.E.; Mansurova, S.; Kudriavtsev, Y. Study of Si and Ge Atoms Termination Using H-Dilution in SiGe:H Alloys Deposited by Radio Frequency (13.56 MHz) Plasma Discharge at Low Temperature. Materials 2020, 13, 1045. [Google Scholar] [CrossRef]
- Ascencio-Hurtado, C.; Ambrosio, R.; Torres, A.; Moreno, M.; Ponce, A.; Candia-García, F.; Arenas-Hernández, A. Role of nanocrystal incrustation in the electrical conductivity of pm-SiGe:H thin films at room temperature. Mater. Lett. 2023, 342, 134346. [Google Scholar] [CrossRef]
- Roca i Cabarrocas, P.; Chaâbane, N.; Kharchenko, A.V.; Tchakarov, S. Polymorphous silicon thin films produced in dusty plasmas: Application to solar cells. Plasma Phys. Control Fusion 2004, 46, B235–B243. [Google Scholar] [CrossRef]
- Miura, A.; Zhou, S.; Nozaki, T.; Shiomi, J. Crystalline-Amorphous Silicon Nanocomposites with Reduced Thermal Conductivity for Bulk Thermoelectrics. ACS Appl. Mater. Interfaces 2015, 7, 13484–13489. [Google Scholar] [CrossRef]
- Chrastina, D.; Cecchi, S.; Hague, J.P.; Frigerio, J.; Samarelli, A.; Ferre-Llin, L.; Paul, D.J.; Müller, E.; Etzelstorfer, T.; Stangl, J.; et al. Ge/SiGe superlattices for nanostructured thermoelectric modules. Thin Solid Films 2013, 543, 153–156. [Google Scholar] [CrossRef]
- Beyer, W.; Stuke, J. Thermoelectric power of amorphous semiconductors. J. Non Cryst. Solids 1972, 8–10, 321–325. [Google Scholar] [CrossRef]
- Zhou, Y.; Hu, M. Record Low Thermal Conductivity of Polycrystalline Si Nanowire: Breaking the Casimir Limit by Severe Suppression of Propagons. Nano Lett. 2016, 16, 6178–6187. [Google Scholar] [CrossRef] [PubMed]
- Xie, K.; Mork, K.; Kortshagen, U.; Gupta, M.C. High temperature thermoelectric properties of laser sintered thin films of phosphorous-doped silicon-germanium nanoparticles. AIP Adv. 2019, 9, 15227. [Google Scholar] [CrossRef]
- Kessler, V.; Gautam, D.; Hülser, T.; Spree, M.; Theissmann, R.; Winterer, M.; Wiggers, H.; Schierning, G.; Schmechel, R. Thermoelectric Properties of Nanocrystalline Silicon from a Scaled-Up Synthesis Plant. Adv. Eng. Mater. 2013, 15, 379–385. [Google Scholar] [CrossRef]
- Powerwatch. 2020. Available online: https://www.cnpowerwatch.com (accessed on 1 February 2023).
- Ozawa, T.; Murata, M.; Suemasu, T.; Toko, K. Flexible Thermoelectric Generator Based on Polycrystalline SiGe Thin Films. Materials. 2022, 15, 608. [Google Scholar] [CrossRef]
- Sawires, E.F.; Eladawy, M.I.; Ismail, Y.I.; Abdelhamid, H. Thermal Resistance Model for Standard CMOS Thermoelectric Generator. IEEE Access 2018, 6, 8123–8132. [Google Scholar] [CrossRef]
- Gadea, G. Integration of Si/Si-Ge Nanostructures in Micro-Thermoelectric Generators; Universitat de Barcelona: Barcelona, Spain, 2017. [Google Scholar]
- Yang, M.-Z.; Wu, C.-C.; Dai, C.-L.; Tsai, W.-J. Energy Harvesting Thermoelectric Generators Manufactured Using the Complementary Metal Oxide Semiconductor Process. Sensors 2013, 13, 2359–2367. [Google Scholar] [CrossRef]
- Kao, P.-H.; Shih, P.-J.; Dai, C.-L.; Liu, M.-C. Fabrication and Characterization of CMOS-MEMS Thermoelectric Micro Generators. Sensors 2010, 10, 1315–1325. [Google Scholar] [CrossRef]
- Xie, J.; Lee, C.; Feng, H. Design, Fabrication, and Characterization of CMOS MEMS-Based Thermoelectric Power Generators. J. Microelectromech. Syst. 2010, 19, 317–324. [Google Scholar] [CrossRef]
- Wang, Z.; Leonov, V.; Fiorini, P.; Van Hoof, C. Realization of a wearable miniaturized thermoelectric generator for human body applications. Sens. Actuators A Phys. 2009, 156, 95–102. [Google Scholar] [CrossRef]







| TEG Type (Size) | Power (Range) | TE Materials (Form & Thickness) | Temperature Difference | Applications |
|---|---|---|---|---|
| Large TEGs | P > W | Bulk | K | Bulk usages for |
| m | ||||
| Small TEGs | P ≈ mW | Thick films | K | GPS, tracking devices biosensors |
| m m | ||||
| Micro TEGs | W ≤ P < mW | Thin films | K | MEMS devices |
| 100 nm m | ||||
| Thin film TEGs | P W | Thin films | K | Low-power applications |
| 1 nm 100 nm |
| Year | Material | Thickness (nm) | TEG’s Type | TEG Size (mm2) | (K) | Performance | Ref |
|---|---|---|---|---|---|---|---|
| 2022 | SiGe | – | Hybrid | 6 | 30 | 0.45 W/cm | [146] |
| N- & P-type | |||||||
| 2018 | SiGe | – | Hybrid | 100 | 2.34 | 9.25 W/cm | [147] |
| N- & P-type | |||||||
| 2017 | Si | – | Hybrid | 34.2 | 31.5 | 12.3 W/cm | [54] |
| N-type | |||||||
| 2017 | SiGe | 68 | Lateral | 1.5 | 8.7 | 4.9 W/cm | [148] |
| P-type | |||||||
| 2014 | SiGe | 30 | Lateral | – | 20 | 13 nW/cm | [85] |
| N- & P-type | |||||||
| 2014 | Si | 100 | Lateral | 100 | 5.5 | 4.5 W/cm | [48] |
| N- & P-type | |||||||
| 2013 | Si | – | Lateral | 10 | 15 | 9.4 W/cm | [149] |
| N- & P-type | |||||||
| 2010 | Si | 300 | Lateral | 17.34 | 1 | 5.42 pW/cm | [150] |
| N- & P-type | |||||||
| 2010 | Si | 700 | Lateral | 100 | 5 | 1.3 W/cm | [151] |
| N- & P-type | |||||||
| 2009 | SiGe | – | Vertical | 16 | 50 | 26 nW/cm | [152] |
| – |
Disclaimer/Publisher’s Note: The statements, opinions and data contained in all publications are solely those of the individual author(s) and contributor(s) and not of MDPI and/or the editor(s). MDPI and/or the editor(s) disclaim responsibility for any injury to people or property resulting from any ideas, methods, instructions or products referred to in the content. |
© 2023 by the authors. Licensee MDPI, Basel, Switzerland. This article is an open access article distributed under the terms and conditions of the Creative Commons Attribution (CC BY) license (https://creativecommons.org/licenses/by/4.0/).
Share and Cite
Ascencio-Hurtado, C.R.; Ambrosio Lázaro, R.C.; Estrada-López, J.J.; Torres Jacome, A. Review of Si-Based Thin Films and Materials for Thermoelectric Energy Harvesting and Their Integration into Electronic Devices for Energy Management Systems. Eng 2023, 4, 1409-1431. https://doi.org/10.3390/eng4020082
Ascencio-Hurtado CR, Ambrosio Lázaro RC, Estrada-López JJ, Torres Jacome A. Review of Si-Based Thin Films and Materials for Thermoelectric Energy Harvesting and Their Integration into Electronic Devices for Energy Management Systems. Eng. 2023; 4(2):1409-1431. https://doi.org/10.3390/eng4020082
Chicago/Turabian StyleAscencio-Hurtado, Carlos Roberto, Roberto C. Ambrosio Lázaro, Johan Jair Estrada-López, and Alfonso Torres Jacome. 2023. "Review of Si-Based Thin Films and Materials for Thermoelectric Energy Harvesting and Their Integration into Electronic Devices for Energy Management Systems" Eng 4, no. 2: 1409-1431. https://doi.org/10.3390/eng4020082
APA StyleAscencio-Hurtado, C. R., Ambrosio Lázaro, R. C., Estrada-López, J. J., & Torres Jacome, A. (2023). Review of Si-Based Thin Films and Materials for Thermoelectric Energy Harvesting and Their Integration into Electronic Devices for Energy Management Systems. Eng, 4(2), 1409-1431. https://doi.org/10.3390/eng4020082

