Fragility and Seismic Performance Assessment of RC Frames Under Chinese and Pakistani Building Codes
Abstract
1. Introduction
2. Materials and Methods
2.1. Structural Configuration and Material Modeling
2.2. Nonlinear Dynamic Time History Analysis
2.3. Pushover Analysis and Static Capacity Evaluation
3. Seismic Design and Modeling Criteria for Comparative Code Evaluation
4. Seismic Performance Assessment
4.1. Evaluation of Structural Mode Shapes
4.2. Seismic Base Reaction Forces
4.3. Story-Wise Shear Force Response
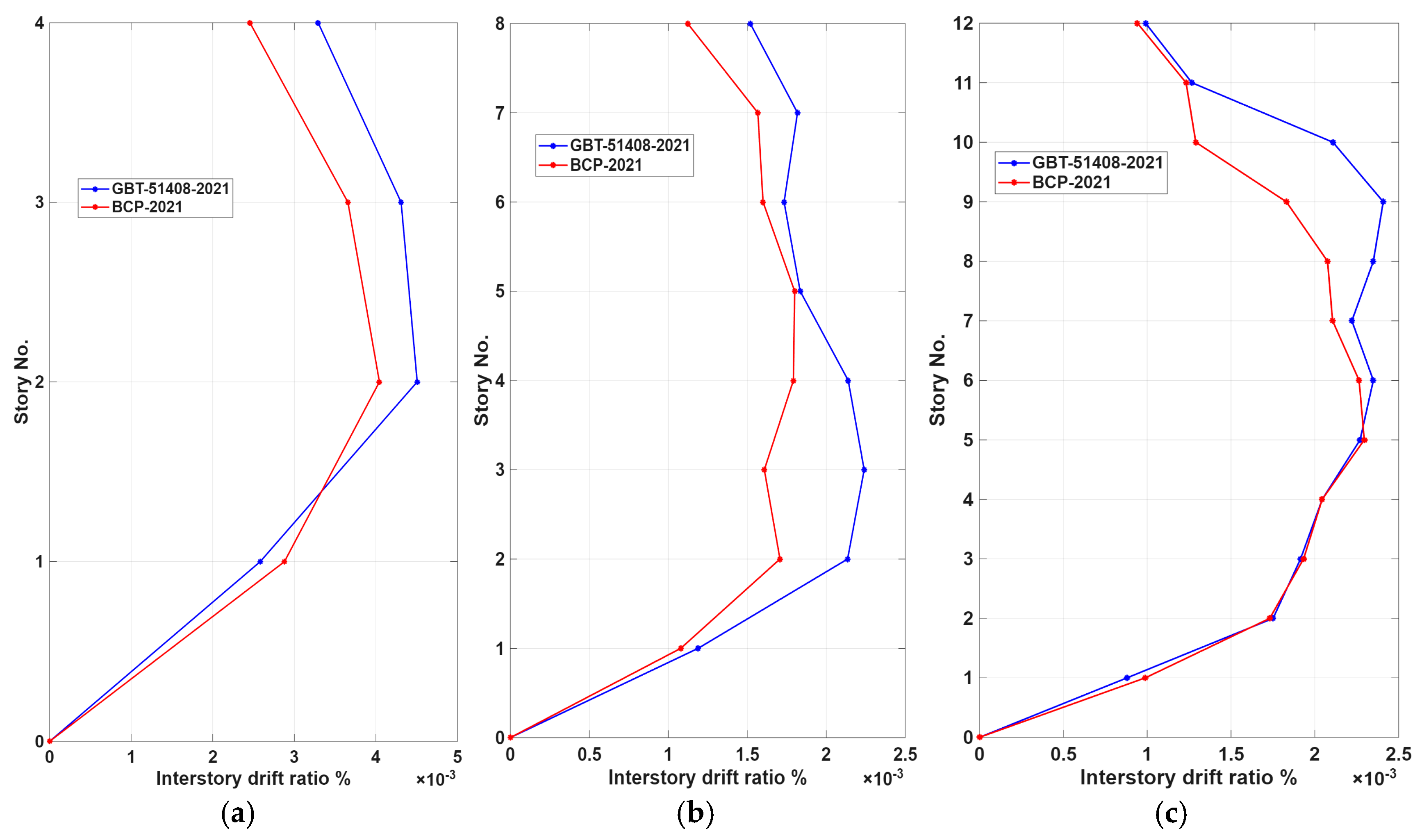
4.4. Inter-Story Drift Ratios (IDR)
4.5. Seismic Energy Dissipation
4.6. Pushover Analysis
4.7. Lead Rubber Bearing (LRB) Modeling and Integration
4.8. Fragility Curves
5. Conclusions
Author Contributions
Funding
Data Availability Statement
Conflicts of Interest
References
- GB50011; The National Standard. Code for Seismic Design of Buildings. Ministry of Housing and Urban-Rural Development of China: Beijing, China, 2010.
- Pakistan Engineering Council. Building Code of Pakistan, 2021st ed.; Pakistan Engineering Council: Islamabad, Pakistan, 2021. [Google Scholar]
- Zeb, S.; Shahzada, K.; Noor, U.A.; Arshad, M.A.; Khan, A.R.; Khan, H.U. Seismic capacity assessment of eco-friendly fly ash brick masonry structures after retrofitting. Innov. Infrastruct. Solut. 2025, 10, 112. [Google Scholar] [CrossRef]
- Ghomi, S.K.; El-Salakawy, E. Seismic performance improvement of GFRP-RC moment frames. Can. J. Civ. Eng. 2020, 47, 704–717. [Google Scholar] [CrossRef]
- Kubica, J.; Ahmed, B.; Muhammad, A.; Usama, A.M. Dynamic reliability calculation of random structures by conditional probability method. Eksploat. I Niezawodn. 2024, 26. [Google Scholar] [CrossRef]
- Siddique, M.S.; Schwarz, J. Elaboration of multi-hazard zoning and qualitative risk maps of Pakistan. Earthq. Spectra 2015, 31, 1371–1395. [Google Scholar] [CrossRef]
- Ahmed, H.A.; Shahzada, K.; Fahad, M. Performance-based seismic assessment of capacity enhancement of building infrastructure and its cost-benefit evaluation. Int. J. Disaster Risk Reduct. 2021, 61, 102341. [Google Scholar] [CrossRef]
- Khan, M.S.; Rizwan, M. Fragility and vulnerability assessment of code-conforming and non-conforming RC Bridge piers retrofitted with ECC jackets. J. Build. Pathol. Rehabil. 2025, 10, 107. [Google Scholar] [CrossRef]
- Faharidine, M.; Aslam, M.U.C.M. Improving stability and buckling resistance of self-supporting isotrussed telecommunication tower under wind load. J. Rehabil. Civ. Eng. 2025, 13, 54–68. [Google Scholar]
- Ahmed, H.A.; Tanoli, W.A. Seismic Retrofitting of RC Buildings Using a Performance-Based Approach for Risk Resilience and Vulnerability Assessment. Buildings 2025, 15, 1333. [Google Scholar] [CrossRef]
- Suliman, M.; Lu, L. A Comparative Study of Seismic Performance Evaluation of Reinforced Concrete Frame Structures Using Chinese and African Seismic Codes. Adv. Civ. Eng. 2024, 2024, 5588833. [Google Scholar] [CrossRef]
- Biva, G.; Huanjun, J. Comparison of seismic fragility of RC moment-resisting frame structures designed according to Chinese and Indian code. Structures 2023, 50, 347–358. [Google Scholar] [CrossRef]
- Jiang, H.; Liu, X.; Hu, L. Seismic fragility assessment of RC frame-shear wall structures designed according to the current Chinese seismic design code. J. Asian Archit. Build. Eng. 2015, 14, 459–466. [Google Scholar] [CrossRef]
- Kunwar, S.; Thapa, D.; Paudel, A.; Shrestha, A. A comparative analysis of an RC low-rise building with the seismic codes of countries lying in the Himalayas: China, India, Nepal, and Pakistan. Discov. Civ. Eng. 2024, 1, 117. [Google Scholar] [CrossRef]
- Zameeruddin, M.; Sangle, K.K. Performance-based Seismic Assessment of Reinforced Concrete Moment Resisting Frame. J. King Saud Univ. Eng. Sci. 2021, 33, 153–165. [Google Scholar] [CrossRef]
- Ali, Q.; Ahmad, N.; Ashraf, M.; Schacher, T. Seismic Performance Evaluation of Two-story Dhajji-dewari Traditional Structure. Int. J. Archit. Herit. 2022, 16, 1233–1251. [Google Scholar] [CrossRef]
- Munir, S.; Najam, F.A.; Rahman Aur Malik, U.J.; Rana, I.A.; Ali, A. Seismic evaluation of non-seismically detailed RC buildings in Pakistan: Performance and damage accumulation under repeated earthquakes. Bull. Earthq. Eng. 2024, 22, 4547–4579. [Google Scholar] [CrossRef]
- Rizwan, M.; Ahmad, N.; Naeem Khan, A. Seismic performance assessment of reinforced concrete moment resisting frame with low strength concrete. Structures 2021, 30, 1140–1160. [Google Scholar] [CrossRef]
- Guo, L.; Wang, J.; Wang, W.; Wang, H. Performance-based seismic design and vulnerability assessment of concrete frame retrofitted by metallic dampers. Structures 2023, 57, 105073. [Google Scholar] [CrossRef]
- Kim, T.; Yi, S.-R. Accelerated system-reliability-based disaster resilience analysis for structural systems. Struct. Saf. 2024, 109, 102479. [Google Scholar] [CrossRef]
- Wasse, A.D.; Dai, K.; Wang, J.; Sharbati, R. State-of-the-Art Review: Seismic Design and Performance Assessment of Special Concentrically Braced Frames Developed for Complex Industrial Building Structures. Int. J. Steel Struct. 2024, 24, 280–295. [Google Scholar] [CrossRef]
- Department of Homeland Security, Emergency Preparedness and Response Directorate, Federal Emergency Management Agency (FEMA). Multi-Hazard Loss Estimation Methodology Earthquake Model HAZUS®MH MR4 Technical Manual; Federal E: Washington, DC, USA, 2003. [Google Scholar]
- Computers and Structures, Inc. ETABS: Integrated Building Design Software, Version 21.0.0; Computers and Structures, Inc.: Berkeley, CA, USA, 2021; Available online: https://www.csiamerica.com/products/etabs (accessed on 1 July 2025).
- Malley, J.O.; Hom, D.B. The Role of Nonlinear Analysis in Modern Engineering Practice Related to Performance-Based Seismic Design. In Advanced Technology in Structural Engineering, Proceedings of the Structures Congress 2000, Philadelphia, PA, USA, 8–10 May 2000; American Society of Civil Engineers: Reston, VA, USA, 2000; pp. 1–8. [Google Scholar]
- Chen, X.; Li, J.; Guan, Z. Influence of Ground Motion Characteristics on Higher-Mode Effects and Design Strategy for Tall Pier Bridges. J. Bridge Eng. 2023, 28, 04022126. [Google Scholar] [CrossRef]
- Chen, X.; Wu, S.; Li, J.; Guan, Z.; Xiang, N. Seismic performance assessment and design procedure of base-isolated bridges with lead-rubber-bearing and negative stiffness springs (LRB-NS). Eng. Struct. 2024, 306, 117871. [Google Scholar] [CrossRef]
- O’Neill, A.M. Use of Ground Motion Intensity Measures in Nonlinear Dynamic Analysis. Struct. Saf. 2006, 28, 67–84. [Google Scholar]
- PEER Pacific Earthquake Engineering Research ground motion database. Ground Motion Database 2014, 1.
- Available online: https://seismosoft.com/products/seismomatch/ (accessed on 15 June 2025).
- Stewart, J.P. Wavelet Transformations in Seismic Ground Motion Spectral Matching. Seismol. Res. Lett. 2014, 85, 107–120. [Google Scholar]
- Lin, Y.L.; Cramer, M.S.H. Optimization of Ground Motion Records Using Spectral Matching. Earthq. Spectra 2017, 21, 279–296. [Google Scholar]
- Applied Technology Council. ATC-40: Seismic Evaluation and Retrofit of Concrete Buildings; Applied Technology Council: Redwood City, CA, USA, 1996; Volume 1, Available online: https://www.atcouncil.org/pdfs/atc40toc.pdf (accessed on 15 June 2025).
- Vamvatsikos, D.; Cornell, C.A. Direct Estimation of Seismic Demand and Capacity of Multidegree-of-Freedom Systems through Incremental Dynamic Analysis of Single Degree of Freedom Approximation. J. Struct. Eng. 2005, 131, 589–599. [Google Scholar] [CrossRef]
- Mucedero, G.; Perrone, D.; Monteiro, R. Nonlinear static characterisation of masonry-infilled RC building portfolios accounting for variability of infill properties. Bull. Earthq. Eng. 2021, 19, 2597–2641. [Google Scholar] [CrossRef]
- Chopra, A.K. Dynamics of Structures: Theory and Applications to Earthquake Engineering; Pearson Education: London, UK, 2012. [Google Scholar]
- Goyal, R.; Singh, A. Seismic Performance of Damped Structures: Energy Dissipation and Structural Behavior. J. Struct. Eng. 2019, 145, 04019252. [Google Scholar]
- Liu, Z.; Zhao, Y. Effect of Damping Systems on Seismic Energy Dissipation in Tall Buildings. Earthq. Eng. Struct. Dyn. 2020, 49, 576–589. [Google Scholar]
- Tanaka, M.; Yoshimoto, N.; Nakamura, K. Rayleigh Damping in Structural Systems: A Review on Energy Dissipation and Application. J. Earthq. Eng. 2017, 21, 26–41. [Google Scholar]
- Chen, X. System Fragility Assessment of Tall-Pier Bridges Subjected to Near-Fault Ground Motions. J. Bridge Eng. 2020, 25, 04019143. [Google Scholar] [CrossRef]
- Chen, X.; Ikago, K.; Guan, Z.; Li, J.; Wang, X. Lead-rubber-bearing with negative stiffness springs (LRB-NS) for base-isolation seismic design of resilient bridges: A theoretical feasibility study. Eng. Struct. 2022, 266, 114601. [Google Scholar] [CrossRef]
- Chen, X.; De Domenico, D. LIC Seismic resilient design of rocking tall bridge piers using inerter-based systems. Eng. Struct. 2023, 281, 115819. [Google Scholar] [CrossRef]
- Applied Technology Council. Quantification of Building Seismic Performance Factors: Component Equivalency Methodology; Federal Emergency Management Agency: Washington, DC, USA, 2011. [Google Scholar]













| Level | PGA (g) | Earthquake | Station | Year | Mw | Fault Mechanism |
|---|---|---|---|---|---|---|
| Low | 0.148 | Christchurch_New Zealand | MQZ | 2011 | 6.20 | Reverse Oblique |
| 0.167 | San Fernando | Lake Hughes #4 | 1971 | 6.61 | Reverse | |
| 0.174 | Northridge-01 | Lake Hughes #12A | 1994 | 6.69 | Reverse | |
| 0.222 | Morgan Hill | Gilroy Array #6 | 1984 | 6.19 | Strike Slip | |
| 0.275 | Kobe_Japan | Kobe University | 1995 | 6.90 | Strike Slip | |
| 0.282 | Duzce_Turkey | IRIGM 487 | 1999 | 7.14 | Strike Slip | |
| Moderate | 0.415 | LomaPrieta | Gilroy Array #1 | 1989 | 6.93 | Reverse Oblique |
| 0.460 | Loma Prieta | UCSC Lick | 1989 | 6.93 | Reverse Oblique | |
| 0.514 | Manjil_Iran | Abbar | 1990 | 7.37 | Strike Slip | |
| 0.569 | Loma Prieta | LGPC | 1989 | 6.93 | Reverse Oblique | |
| 0.571 | Northridge-01 | Jensen Filter Plant | 1994 | 6.69 | Reverse | |
| 0.620 | Northridge-01 | Beverly Hills | 1994 | 6.69 | Reverse | |
| High | 0.600 | Coalinga-01 | Pleasant Valley | 1983 | 6.36 | Reverse |
| 0.612 | Chuetsu-oki_Japan | Joetsu Oshimaku Oka | 2007 | 6.80 | Reverse | |
| 0.725 | Landers | Lucerne | 1992 | 7.28 | Strike Slip | |
| 0.739 | Duzce_Turkey | Bolu | 1999 | 7.14 | Strike Slip | |
| 0.945 | Mammoth Lakes | Long Valley Dam | 1980 | 5.94 | Strike Slip | |
| 1.107 | Nahanni_Canada | Site 1 | 1985 | 6.76 | Reverse |
| GBT-51408-2021 | BCP-2021 | |
|---|---|---|
| Soil type | III | SD |
| Seismic zone and intensity | 8 | 2B |
| Seismic and soil factors | S = 1.5 | |
| Importance factor | ||
| Response modification factor | No special factor | R = 3.5 |
| Fundamental time period T (s) | ||
| Response spectrum | ||
| Story drift | ||
| Seismic weight W | WGi + 0.25WQi | |
| Base shear |
| Building | Story | Building Code of Pakistan 2021 | GBT-51408-2021 | ||||
|---|---|---|---|---|---|---|---|
| Cross Section (mm) | Rebar Top (T) Bottom (B) | Stirrup | Cross Section (mm) | Rebar Top (T) Bottom (B) | Stirrup | ||
| 4-story | 1–4 | 550 × 250 | 650 × 350 | ||||
| 8-story | 1–8 | 600 × 300 | 700 × 400 | ||||
| 12-story | 1–12 | 650 × 350 | 750 × 450 | ||||
| Building | Story | Building Code of Pakistan 2021 | GBT-51408-2021 | ||||
|---|---|---|---|---|---|---|---|
| Cross Section | Rebar | Stirrup | Cross Section | Rebar | Stirrup | ||
| 4-story | 1–4 | 550 × 550 | 550 × 500 | ||||
| 8-story | 1–4 | 650 × 650 | 650 × 650 | ||||
| 5–8 | 600 × 600 | 600 × 600 | |||||
| 12-story | 1–4 | 750 × 750 | 750 × 750 | ||||
| 5–8 | 700 × 700 | 700 × 700 | |||||
| 9–12 | 650 × 650 | 650 × 650 | |||||
| Building | Code | Fundamental Period (s) | 1st Mode Mass Participation (%) | 2nd Mode Mass Participation (%) | 3rd Mode Mass Participation (%) |
|---|---|---|---|---|---|
| 4-story | BCP-2021 | 0.45 | 78.4 | 12.6 | 4.2 |
| 4-story | GBT-51408-2021 | 0.41 | 80.1 | 11.8 | 3.9 |
| 8-story | BCP-2021 | 0.89 | 71.5 | 15.2 | 6.5 |
| 8-story | GBT-51408-2021 | 0.82 | 73.8 | 14.3 | 5.7 |
| 12-story | BCP-2021 | 1.27 | 68.2 | 16.4 | 7.3 |
| 12-story | GBT-51408-2021 | 1.19 | 70.6 | 15.8 | 6.1 |
| Frame | Ground Motion | Codes | Input Energy/kN-m | Kinetic Energy/kN-m | Potential Energy/kN-m | Global Damping Energy/kN-m |
|---|---|---|---|---|---|---|
| 12-Story | Manjil, Iran 0.51456 | BCP-2021 | 322.02 | 82.494 | 69.21 | 316.48 |
| GBT-2021 | 321.71 | 100.14 | 62.12 | 314.67 | ||
| 12-Story | LOMA Prieta 0.56996 | BCP-2021 | 2560.59 | 1235.91 | 1115.49 | 2093.86 |
| GBT-2021 | 2935.39 | 1347.78 | 1113.51 | 2627.41 | ||
| 8-Story | Manjil, Iran 0.51456 | BCP-2021 | 242.19 | 53.855 | 51.9252 | 241.51 |
| GBT-2021 | 220.77 | 61.61 | 57.52 | 209.95 | ||
| 8-Story | LOMA Prieta 0.56996 | BCP-2021 | 1528.23 | 353.37 | 325.21 | 1380.81 |
| GBT-2021 | 1254.47 | 396.21 | 361.59 | 1145.97 | ||
| 4-Story | Manjil, Iran 0.51456 | BCP-2021 | 208.57 | 43.35 | 22.17 | 207.71 |
| GBT-2021 | 214.59 | 32.02 | 25.78 | 213.46 | ||
| 4-Story | LOMA Prieta 0.56996 | BCP-2021 | 944.89 | 510.31 | 545.06 | 722.11 |
| GBT-2021 | 1002.13 | 637.57 | 491.78 | 616.12 |
| Rotational Inertia | 0.0748 kN·s2/m |
|---|---|
| For U1 Effective Stiffness | 4,100,000 kN/m |
| For U2 and U3 Effective Stiffness | 750 kN/m |
| For U2 and U3 Effective Damping | 0.06 |
| For U2 and U3 Distance from End J | 0.0030 m |
| For U2 and U3 Stiffness | 7200 kN/m |
| For U2 and U3 Yield Strength | 80 kN |
Disclaimer/Publisher’s Note: The statements, opinions and data contained in all publications are solely those of the individual author(s) and contributor(s) and not of MDPI and/or the editor(s). MDPI and/or the editor(s) disclaim responsibility for any injury to people or property resulting from any ideas, methods, instructions or products referred to in the content. |
© 2025 by the authors. Licensee MDPI, Basel, Switzerland. This article is an open access article distributed under the terms and conditions of the Creative Commons Attribution (CC BY) license (https://creativecommons.org/licenses/by/4.0/).
Share and Cite
Aslam, M.U.; Umar, T.; Suliman, M.; Siddiq, M.U.; Rajabnejad, H.; Farooq, A. Fragility and Seismic Performance Assessment of RC Frames Under Chinese and Pakistani Building Codes. CivilEng 2025, 6, 65. https://doi.org/10.3390/civileng6040065
Aslam MU, Umar T, Suliman M, Siddiq MU, Rajabnejad H, Farooq A. Fragility and Seismic Performance Assessment of RC Frames Under Chinese and Pakistani Building Codes. CivilEng. 2025; 6(4):65. https://doi.org/10.3390/civileng6040065
Chicago/Turabian StyleAslam, Muhammad Usama, Tariq Umar, Musaab Suliman, Muhammad Usman Siddiq, Hamid Rajabnejad, and Ambar Farooq. 2025. "Fragility and Seismic Performance Assessment of RC Frames Under Chinese and Pakistani Building Codes" CivilEng 6, no. 4: 65. https://doi.org/10.3390/civileng6040065
APA StyleAslam, M. U., Umar, T., Suliman, M., Siddiq, M. U., Rajabnejad, H., & Farooq, A. (2025). Fragility and Seismic Performance Assessment of RC Frames Under Chinese and Pakistani Building Codes. CivilEng, 6(4), 65. https://doi.org/10.3390/civileng6040065

