How Do Patients Above Patient Acceptable Symptom State Pre-Operatively Recover Following Total Knee Arthroplasty?
Abstract
1. Introduction
2. Methods
Statistical Analysis
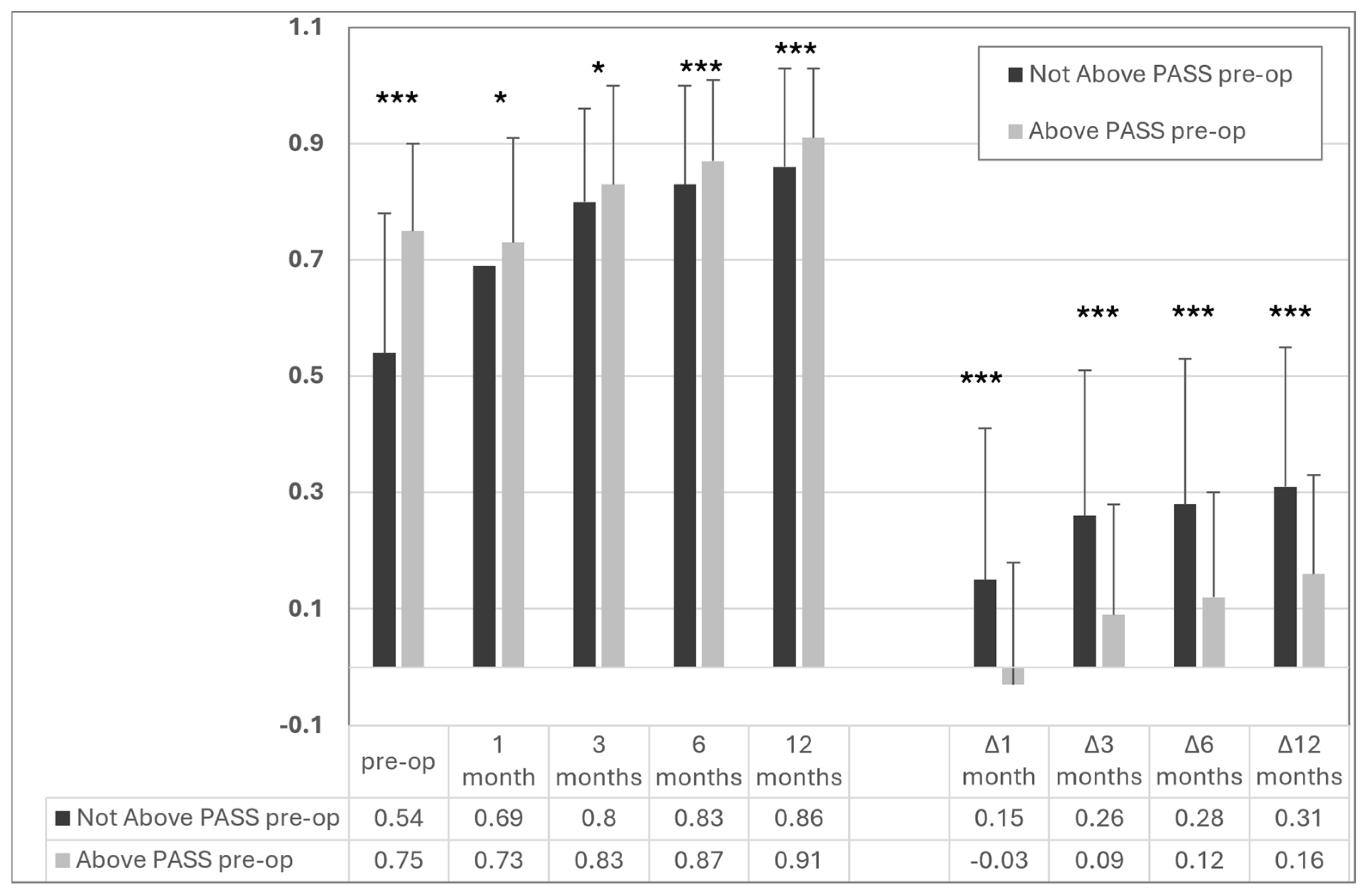
3. Results
4. Discussion
5. Conclusions
Author Contributions
Funding
Institutional Review Board Statement
Informed Consent Statement
Data Availability Statement
Conflicts of Interest
References
- Bourne, R.B.; Chesworth, B.M.; Davis, A.M.; Mahomed, N.N.; Charron, K.D. Patient satisfaction after total knee arthroplasty: Who is satisfied and who is not? Clin. Orthop. Relat. Res. 2010, 468, 57–63. [Google Scholar] [CrossRef] [PubMed]
- Gunaratne, R.; Pratt, D.N.; Banda, J.; Fick, D.P.; Khan, R.J.K.; Robertson, B.W. Patient Dissatisfaction Following Total Knee Arthroplasty: A Systematic Review of the Literature. J. Arthroplast. 2017, 32, 3854–3860. [Google Scholar] [CrossRef] [PubMed]
- Orr, M.N.; Klika, A.K.; Emara, A.K.; Piuzzi, N.S.; Cleveland Clinic Arthroplasty, G. Combinations of Preoperative Patient-Reported Outcome Measure Phenotype (Pain, Function, and Mental Health) Predict Outcome After Total Knee Arthroplasty. J. Arthroplast. 2022, 37, S110–S120.e115. [Google Scholar] [CrossRef] [PubMed]
- Escobar, A.; Bilbao, A.; Bertrand, M.L.; Moreta, J.; Froufe, M.A.; Colomina, J.; Martinez-Cruz, O.; Perera, R.A.; Riddle, D.L. Validation of a second-generation appropriateness classification system for total knee arthroplasty: A prospective cohort study. J. Orthop. Surg. Res. 2021, 16, 227. [Google Scholar] [CrossRef] [PubMed]
- Jayakumar, P.; Bozic, K.J. Advanced decision-making using patient-reported outcome measures in total joint replacement. J. Orthop. Res. 2020, 38, 1414–1422. [Google Scholar] [CrossRef]
- Quintana, J.M.; Escobar, A.; Arostegui, I.; Bilbao, A.; Azkarate, J.; Goenaga, J.I.; Arenaza, J.C. Health-related quality of life and appropriateness of knee or hip joint replacement. Arch. Intern. Med. 2006, 166, 220–226. [Google Scholar] [CrossRef]
- Tubach, F.; Dougados, M.; Falissard, B.; Baron, G.; Logeart, I.; Ravaud, P. Feeling good rather than feeling better matters more to patients. Arthritis Rheum. 2006, 55, 526–530. [Google Scholar] [CrossRef]
- Escobar, A.; Riddle, D.L. Concordance between important change and acceptable symptom state following knee arthroplasty: The role of baseline scores. Osteoarthr. Cartil. 2014, 22, 1107–1110. [Google Scholar] [CrossRef]
- Beiene, Z.A.; Tanghe, K.K.; Kahlenberg, C.A.; McLawhorn, A.S.; MacLean, C.H.; Gausden, E.B. Defining a successful total knee arthroplasty: A systematic review of metrics of clinically important changes. Arthroplasty 2023, 5, 25. [Google Scholar] [CrossRef]
- Kunze, K.N.; Fontana, M.A.; MacLean, C.H.; Lyman, S.; McLawhorn, A.S. Defining the Patient Acceptable Symptom State for the HOOS JR and KOOS JR After Primary Total Joint Arthroplasty. J. Bone Jt. Surg. Am. 2022, 104, 345–352. [Google Scholar] [CrossRef]
- Tubach, F.; Ravaud, P.; Baron, G.; Falissard, B.; Logeart, I.; Bellamy, N.; Bombardier, C.; Felson, D.; Hochberg, M.; van der Heijde, D.; et al. Evaluation of clinically relevant states in patient reported outcomes in knee and hip osteoarthritis: The patient acceptable symptom state. Ann. Rheum. Dis. 2005, 64, 34–37. [Google Scholar] [CrossRef] [PubMed]
- Connelly, J.W.; Galea, V.P.; Rojanasopondist, P.; Matuszak, S.J.; Ingelsrud, L.H.; Nielsen, C.S.; Bragdon, C.R.; Huddleston, J.I., 3rd; Malchau, H.; Troelsen, A. Patient Acceptable Symptom State at 1 and 3 Years After Total Knee Arthroplasty: Thresholds for the Knee Injury and Osteoarthritis Outcome Score (KOOS). J. Bone Jt. Surg. Am. 2019, 101, 995–1003. [Google Scholar] [CrossRef] [PubMed]
- Galea, V.P.; Ingelsrud, L.H.; Florissi, I.; Shin, D.; Bragdon, C.R.; Malchau, H.; Gromov, K.; Troelsen, A. Patient-acceptable symptom state for the Oxford Hip Score and Forgotten Joint Score at 3 months, 1 year, and 2 years following total hip arthroplasty: A registry-based study of 597 cases. Acta Orthop. 2020, 91, 372–377. [Google Scholar] [CrossRef] [PubMed]
- Berliner, J.L.; Brodke, D.J.; Chan, V.; SooHoo, N.F.; Bozic, K.J. Can Preoperative Patient-reported Outcome Measures Be Used to Predict Meaningful Improvement in Function After TKA? Clin. Orthop. Relat. Res. 2017, 475, 149–157. [Google Scholar] [CrossRef]
- Goh, G.S.; Baker, C.M.; Tarabichi, S.; Clark, S.C.; Austin, M.S.; Lonner, J.H. The Paradox of Patient-Reported Outcome Measures: Should We Prioritize “Feeling Better” or “Feeling Good” After Total Knee Arthroplasty? J. Arthroplast. 2022, 37, 1751–1758. [Google Scholar] [CrossRef]
- Losina, E.; Katz, J.N. Total knee replacement: Pursuit of the paramount result. Rheumatology 2012, 51, 1735–1736. [Google Scholar] [CrossRef]
- Price, A.J.; Kang, S.; Cook, J.A.; Dakin, H.; Blom, A.; Arden, N.; Fitzpatrick, R.; Beard, D.J.; CHE Study Team. The use of patient-reported outcome measures to guide referral for hip and knee arthroplasty. Bone Jt. J. 2020, 102-B, 941–949. [Google Scholar] [CrossRef]
- Sutton, R.M.; Baker, C.M.; D’Amore, T.; Krueger, C.A.; Courtney, P.M. Preoperative Patient-Reported Outcome Measure Thresholds Should Not be Used for Indicating Total Knee Arthroplasty. J. Arthroplast. 2023, 38, S150–S155. [Google Scholar] [CrossRef]
- Liu, J.; Yang, Y.; Wan, S.; Yao, Z.; Zhang, Y.; Zhang, Y.; Shi, P.; Zhang, C. A new prediction model for patient satisfaction after total knee arthroplasty and the roles of different scoring systems: A retrospective cohort study. J. Orthop. Surg. Res. 2021, 16, 329. [Google Scholar] [CrossRef]
- Tachibana, S.; Muratsu, H.; Tsubosaka, M.; Maruo, A.; Miya, H.; Kuroda, R.; Matsumoto, T. Evaluation of consistency of patient-satisfaction score in the 2011 Knee Society Score to other patient-reported outcome measures. J. Orthop. Sci. 2022, 27, 652–657. [Google Scholar] [CrossRef]
- Carender, C.N.; Gulley, M.L.; De, A.; Bozic, K.J.; Callaghan, J.J.; Bedard, N.A. Outcomes Vary Significantly Using a Tiered Approach To Define Success After Total Hip Arthroplasty. Iowa Orthop. J. 2023, 43, 45–54. [Google Scholar] [PubMed]
- Escobar, A.; Gonzalez, M.; Quintana, J.M.; Vrotsou, K.; Bilbao, A.; Herrera-Espineira, C.; Garcia-Perez, L.; Aizpuru, F.; Sarasqueta, C. Patient acceptable symptom state and OMERACT-OARSI set of responder criteria in joint replacement. Identification of cut-off values. Osteoarthr. Cartil. 2012, 20, 87–92. [Google Scholar] [CrossRef] [PubMed]
- Kuklinski, D.; Marques, C.J.; Bohlen, K.; Westphal, K.C.; Lampe, F.; Geissler, A. Thresholds for meaningful improvement in WOMAC scores need to be adjusted to patient characteristics after hip and knee replacement. J. Orthop. 2022, 29, 50–59. [Google Scholar] [CrossRef] [PubMed]
- Fraenkel, L.; Suter, L.; Weis, L.; Hawker, G.A. Variability in recommendations for total knee arthroplasty among rheumatologists and orthopedic surgeons. J. Rheumatol. 2014, 41, 47–52. [Google Scholar] [CrossRef]
- Connelly, J.W.; Galea, V.P.; Rojanasopondist, P.; Nielsen, C.S.; Bragdon, C.R.; Kappel, A.; Huddleston, J.I., 3rd; Malchau, H.; Troelsen, A. Which Preoperative Factors are Associated with Not Attaining Acceptable Levels of Pain and Function After TKA? Findings from an International Multicenter Study. Clin. Orthop. Relat. Res. 2020, 478, 1019–1028. [Google Scholar] [CrossRef]
- Soares, R.W.; Emara, A.K.; Orr, M.; Klika, A.K.; Rullan, P.J.; Pumo, T.J.; Krebs, V.E.; Molloy, R.M.; Piuzzi, N.S. When Do We Perform Elective Total Knee Arthroplasty? General and Demographic-Specific Trends of Preoperative Pain and Function among 10,327 Patients. J. Knee Surg. 2022, 36, 1454–1461. [Google Scholar] [CrossRef]
- Singh, J.A.; Yu, S.; Chen, L.; Cleveland, J.D. Rates of Total Joint Replacement in the United States: Future Projections to 2020–2040 Using the National Inpatient Sample. J. Rheumatol. 2019, 46, 1134–1140. [Google Scholar] [CrossRef]
- Hawker, G.A.; Bohm, E.; Dunbar, M.J.; Faris, P.; Jones, C.A.; Noseworthy, T.; Ravi, B.; Woodhouse, L.J.; Marshall, D.A.; BEST-Knee Study Team. Patient appropriateness for total knee arthroplasty and predicted probability of a good outcome. RMD Open 2023, 9, e002808. [Google Scholar] [CrossRef]







| Not Above PASS Pre-Operatively | Above PASS Pre-Operatively | p-Value | |
|---|---|---|---|
| Sex | |||
| Female | 652 (65.79) | 84 (43.98) | <0.0001 |
| Male | 339 (34.21) | 107 (56.02) | |
| Race—white | 854 (86.18) | 173 (90.58) | 0.10 |
| Age | 63.90 ± 8.66 (991, 21.73–87.18) | 66.45 ± 7.96 (191, 43.05–85.57) | 0.0002 |
| BMI | 31.87 ± 6.32 (991, 15.06–57.15) | 29.85 ± 5.97 (191, 8.56–57.98) | <0.0001 |
| Comorbidity score | 1.00 ± 1.30 (991, 0–9.00) | 0.99 ± 1.36 (191, 0–8.00) | 0.93 |
| Average steps pre-op | 5251 ± 2872 (976, 270–20,182) | 6244.8 ± 3562.5 (188, 666–30,705) | 0.0004 |
Disclaimer/Publisher’s Note: The statements, opinions and data contained in all publications are solely those of the individual author(s) and contributor(s) and not of MDPI and/or the editor(s). MDPI and/or the editor(s) disclaim responsibility for any injury to people or property resulting from any ideas, methods, instructions or products referred to in the content. |
© 2024 by the authors. Licensee MDPI, Basel, Switzerland. This article is an open access article distributed under the terms and conditions of the Creative Commons Attribution (CC BY) license (https://creativecommons.org/licenses/by/4.0/).
Share and Cite
Redfern, R.E.; Crawford, D.A.; Anderson, M.B.; Van Andel, D.C.; Cholewa, J.M.; Lombardi, A.V., Jr. How Do Patients Above Patient Acceptable Symptom State Pre-Operatively Recover Following Total Knee Arthroplasty? Surgeries 2024, 5, 1091-1101. https://doi.org/10.3390/surgeries5040088
Redfern RE, Crawford DA, Anderson MB, Van Andel DC, Cholewa JM, Lombardi AV Jr. How Do Patients Above Patient Acceptable Symptom State Pre-Operatively Recover Following Total Knee Arthroplasty? Surgeries. 2024; 5(4):1091-1101. https://doi.org/10.3390/surgeries5040088
Chicago/Turabian StyleRedfern, Roberta E., David A. Crawford, Mike B. Anderson, David C. Van Andel, Jason M. Cholewa, and Adolph V. Lombardi, Jr. 2024. "How Do Patients Above Patient Acceptable Symptom State Pre-Operatively Recover Following Total Knee Arthroplasty?" Surgeries 5, no. 4: 1091-1101. https://doi.org/10.3390/surgeries5040088
APA StyleRedfern, R. E., Crawford, D. A., Anderson, M. B., Van Andel, D. C., Cholewa, J. M., & Lombardi, A. V., Jr. (2024). How Do Patients Above Patient Acceptable Symptom State Pre-Operatively Recover Following Total Knee Arthroplasty? Surgeries, 5(4), 1091-1101. https://doi.org/10.3390/surgeries5040088

