Contextual Influence on Pattern Separation During Encoding
Abstract
1. Introduction
2. Methods
2.1. Participants
2.2. Stimuli and Procedure
2.3. EEG Acquisition and Processing
2.4. Statistical Analyses
2.4.1. Behavioral Data
2.4.2. EEG Data
2.4.3. Encoding Analysis
3. Results
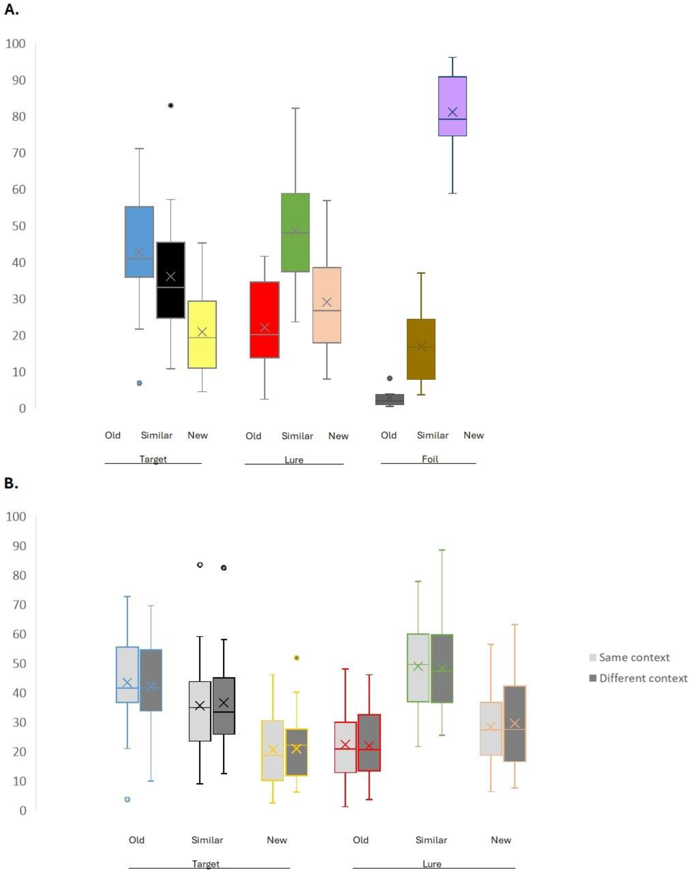
3.1. Behavioral Results
3.2. Reaction Time Results
3.3. ERP Results
Encoding
4. Discussion
ERP Findings
5. Conclusions
Author Contributions
Funding
Institutional Review Board Statement
Informed Consent Statement
Data Availability Statement
Conflicts of Interest
Appendix A
| Pairwise Comparisons | |||
|---|---|---|---|
| (I) Response | (J) Response | Mean Differences (I–J) | Sig. a |
| Old response to target | New response to target | 21.967 * | 0.001 |
| Old response to lure | 20.691 * | 0.000 | |
| New response to foil | −38.283 * | 0.000 | |
| Similar response to foil | 25.970 * | 0.000 | |
| Old response to foil | 41.013 * | 0.000 | |
| Similar response to target | Similar response to lure | −12.507 * | 0.000 |
| New response to foil | −45.016 * | 0.000 | |
| Similar response to foil | 19.237 * | 0.000 | |
| Old response to foil | 34.280 * | 0.000 | |
| New response to target | Similar response to lure | −27.742 * | 0.000 |
| New response to lure | −8.184 * | 0.000 | |
| New response to foil | −60.250 * | 0.000 | |
| Old response to foil | 19.046 * | 0.000 | |
| Similar response to lure | Old response to lure | 26.466 * | 0.000 |
| New response to lure | 19.558 * | 0.036 | |
| New response to foil | −32,509 * | 0.000 | |
| Similar response to foil | 31,745 * | 0.000 | |
| Old response to foil | 46,787 * | 0.000 | |
| Old response to lure | New response to foil | −58,974 * | 0.000 |
| Old response to foil | 20,322 * | 0.000 | |
| New response to lure | New response to foil | −52,066 * | 0.000 |
| Old response to foil | 27,230 * | 0.000 | |
| New response to foil | Similar response to foil | 64,253 * | 0.000 |
| Old response to foil | 79,296 * | 0.000 | |
| Similar response to foil | Old response to foil | 15,043 * | 0.000 |
Appendix B
| Pairwise Comparisons | |||
|---|---|---|---|
| (I) Response | (J) Response | Mean Differences (I–J) | Sig. a |
| Old response to target | Similar response to lure | −0.092 * | 0.002 |
| Similar response to foil | −0.078 * | 0.011 | |
| Similar response to target | New response to target | 0.075 * | 0.003 |
| Similar response to lure | −0.024 * | 0.004 | |
| New response to lure | 0.075 * | 0.015 | |
| New response to foil | 0.097 * | 0.000 | |
| New response to target | Similar response to lure | −0.099 * | 0.000 |
| Similar response to foil | −0.085 * | 0.000 | |
| Similar response to lure | Old response to lure | 0.068 * | 0.041 |
| New response to lure | 0.100 * | 0.001 | |
| New response to foil | 0.121 * | 0.000 | |
| New response to lure | Similar response to foil | −0.086 * | 0.001 |
| New response to foil | Similar response to foil | −0.107 * | 0.000 |
References
- Tulving, E. Episodic and semantic memory. In Organization of Memory; Tulving, E., Donaldson, W., Eds.; Academic Press: New York, NY, USA, 1972; pp. 382–403. [Google Scholar]
- Kesner, R.P.; Rolls, E.T. A computational theory of hippocampal function, and tests of the theory: New developments. Neurosci. Biobehav. Rev. 2015, 48, 92–147. [Google Scholar] [CrossRef]
- Bachevalier, J.; Nemanic, S.; Alvarado, M.C. The influence of context on recognition memory in monkeys: Effects of hippocampal, parahippocampal and perirhinal lesions. Behav. Brain Res. 2015, 285, 89–98. [Google Scholar] [CrossRef] [PubMed]
- Davachi, L. Item, context and relational episodic encoding in humans. Curr. Opin. Neurobiol. 2006, 16, 693–700. [Google Scholar] [CrossRef]
- Hasselmo, M.E.; Eichenbaum, H. Hippocampal mechanisms for the context-dependent retrieval of episodes. Neural Netw. 2005, 18, 1172–1190. [Google Scholar] [CrossRef]
- Theves, S.; Grande, X.; Düzel, E.; Doeller, C.F. Pattern completion and the medial temporal lobe memory system. In The Oxford Handbook of Human Memory, Two Volume Pack: Foundations and Applications; Kahana, M.J., Wagner, A.D., Eds.; Oxford University Press: Oxford, UK, 2024; pp. 988–1016. [Google Scholar]
- Davis, T.; Xue, G.; Love, B.C.; Preston, A.R.; Poldrack, R.A. Global neural pattern similarity as a common basis for categorization and recognition memory. J. Neurosci. 2014, 34, 7472–7484. [Google Scholar] [CrossRef] [PubMed] [PubMed Central]
- LaRocque, K.F.; Smith, M.E.; Carr, V.A.; Witthoft, N.; Grill-Spector, K.; Wagner, A.D. Global similarity and pattern separation in the human medial temporal lobe predict subsequent memory. J. Neurosci. 2013, 33, 5466–5474. [Google Scholar] [CrossRef] [PubMed]
- Dimsdale-Zucker, H.R.; Ritchey, M.; Ekstrom, A.D.; Yonelinas, A.P.; Ranganath, C. CA1 and CA3 differentially support spontaneous retrieval of episodic contexts within human hippocampal subfields. Nat. Commun. 2018, 9, 294. [Google Scholar] [CrossRef]
- García-Rueda, L.; Poch, C.; Campo, P. Forgetting Details in Visual Long-Term Memory: Decay or Interference? Front. Behav. Neurosci. 2022, 16, 887321. [Google Scholar] [CrossRef] [PubMed]
- Kirwan, C.B.; Stark, C.E. Overcoming interference: An fMRI investigation of pattern separation in the medial temporal lobe. Learn. Mem. 2007, 14, 625–633. [Google Scholar] [CrossRef] [PubMed]
- Poch, C.; Prieto, A.; Hinojosa, J.A.; Campo, P. The impact of increasing similar interfering experiences on mnemonic discrimination: Electrophysiological evidence. Cogn. Neurosci. 2019, 10, 129–138. [Google Scholar] [CrossRef] [PubMed]
- Xue, G. The Neural Representations Underlying Human Episodic Memory. Trends Cogn. Sci. 2018, 22, 544–561. [Google Scholar] [CrossRef] [PubMed]
- Yassa, M.A.; Stark, C.E. Pattern separation in the hippocampus. Trends Neurosci. 2011, 34, 515–525. [Google Scholar] [CrossRef] [PubMed]
- Amer, T.; Davachi, L. Extra-hippocampal contributions to pattern separation. Neuroscience 2023, 12, e82250. [Google Scholar] [CrossRef] [PubMed]
- Leal, S.L.; Yassa, M.A. Integrating new findings and examining clinical applications of pattern separation. Nat. Neurosci. 2018, 21, 163–173. [Google Scholar] [CrossRef] [PubMed]
- Stark, S.M.; Kirwan, C.B.; Stark, C.E.L. Mnemonic Similarity Task: A Tool for Assessing Hippocampal Integrity. Trends Cogn. Sci. 2019, 23, 938–951. [Google Scholar] [CrossRef] [PubMed]
- Aldi, G.A.; Lange, I.; Gigli, C.; Goossens, L.; Schruers, K.R.; Cosci, F. Validation of the Mnemonic Similarity Task-Context Version. Rev. Bras. Psiquiatr. 2018, 40, 432–440. [Google Scholar] [CrossRef]
- Dohm-Hansen, S.; Johansson, M. Mnemonic discrimination of object and context is differentially associated with mental health. Neurobiol. Learn. Mem. 2020, 173, 107268. [Google Scholar] [CrossRef]
- Herz, N.; Bukala, B.R.; Kragel, J.E.; Kahana, M.J. Hippocampal activity predicts contextual misattribution of false memories. Proc. Natl. Acad. Sci. USA 2023, 120, e2305292120. [Google Scholar] [CrossRef] [PubMed]
- Hollarek, M. Remembering Objects in Contexts: ERP Correlates of a Modified Behavioral Pattern Separation Task. Master’s Thesis, University of Amsterdam, Amsterdam, The Netherlands, Lund University, Lund, Sweden, 2015; p. 10608753. [Google Scholar]
- Libby, L.A.; Reagh, Z.M.; Bouffard, N.R.; Ragland, J.D.; Ranganath, C. The Hippocampus Generalizes across Memories that Share Item and Context Information. J. Cogn. Neurosci. 2019, 31, 24–35. [Google Scholar] [CrossRef]
- Palmer, J.M.; Grilli, M.D.; Lawrence, A.V.; Ryan, L. The impact of context on pattern separation for objects among younger and older apolipoprotein ϵ4 carriers and noncarriers. J. Int. Neuropsychol. Soc. 2023, 29, 439–449. [Google Scholar] [CrossRef] [PubMed]
- Racsmány, M.; Bencze, D.; Pajkossy, P.; Szőllősi, Á.; Marián, M. Irrelevant background context decreases mnemonic discrimination and increases false memory. Sci. Rep. 2021, 11, 6204. [Google Scholar] [CrossRef] [PubMed]
- Szőllősi, Á.; Pajkossy, P.; Bencze, D.; Marián, M.; Racsmány, M. Litmus test of rich episodic representations: Context-induced false recognition. Cognition 2023, 230, 105287. [Google Scholar] [CrossRef] [PubMed]
- Motley, S.E.; Kirwan, C.B. A parametric investigation of pattern separation processes in the medial temporal lobe. J. Neurosci. 2012, 32, 13076–13085. [Google Scholar] [CrossRef] [PubMed]
- García-Rueda, L.; Poch, C.; Campo, P. Pattern separation during encoding and Subsequent Memory Effect. Neurobiol. Learn. Mem. 2024, 216, 107995. [Google Scholar] [CrossRef] [PubMed]
- Rollins, L.; Khuu, A.; Bennett, K. Event-related potentials during encoding coincide with subsequent forced-choice mnemonic discrimination. Sci. Rep. 2024, 14, 15859. [Google Scholar] [CrossRef]
- Hayes, S.M.; Nadel, L.; Ryan, L. The effect of scene context on episodic object recognition: Parahippocampal cortex mediates memory encoding and retrieval success. Hippocampus 2007, 17, 873–889. [Google Scholar] [CrossRef]
- Arndt, J. The role of memory activation in creating false memories of encoding context. J. Exp. Psychol. Learn. Mem. Cogn. 2010, 36, 66–79. [Google Scholar] [CrossRef]
- Wing, E.A.; Geib, B.R.; Wang, W.C.; Monge, Z.; Davis, S.W.; Cabeza, R. Cortical Overlap and Cortical-Hippocampal Interactions Predict Subsequent True and False Memory. J. Neurosci. 2020, 40, 1920–1930. [Google Scholar] [CrossRef]
- Comino Garcia-Munoz, A.; Alemán-Gómez, Y.; Toledano, R.; Poch, C.; García-Morales, I.; Aledo-Serrano, Á.; Gil-Nagel, A.; Campo, P. Morphometric and microstructural characteristics of hippocampal subfields in mesial temporal lobe epilepsy and their correlates with mnemonic discrimination. Front. Neurol. 2023, 14, 1096873. [Google Scholar] [CrossRef] [PubMed]
- Morcom, A.M. Resisting false recognition: An ERP study of lure discrimination. Brain Res. 2015, 1624, 336–348. [Google Scholar] [CrossRef] [PubMed]
- Nash, M.I.; Hodges, C.B.; Muncy, N.M.; Kirwan, C.B. Pattern separation beyond the hippocampus: A high-resolution whole-brain investigation of mnemonic discrimination in healthy adults. Hippocampus 2021, 31, 408–421. [Google Scholar] [CrossRef] [PubMed]
- Pidgeon, L.M.; Morcom, A.M. Cortical pattern separation and item-specific memory encoding. Neuropsychologia 2016, 85, 256–271. [Google Scholar] [CrossRef] [PubMed]
- Stevenson, R.F.; Reagh, Z.M.; Chun, A.P.; Murray, E.A.; Yassa, M.A. Pattern Separation and Source Memory Engage Distinct Hippocampal and Neocortical Regions during Retrieval. J. Neurosci. 2020, 40, 843–851. [Google Scholar] [CrossRef] [PubMed]
- Mecklinger, A.; Kamp, S.M. Observing memory encoding while it unfolds: Functional interpretation and current debates regarding ERP subsequent memory effects. Neurosci. Biobehav. Rev. 2023, 153, 105347. [Google Scholar] [CrossRef] [PubMed]
- Gronau, N.; Shachar, M. Contextual consistency facilitates long-term memory of perceptual detail in barely seen images. J. Exp. Psychol. Hum. Percept. Perform. 2015, 41, 1095–1111. [Google Scholar] [CrossRef]
- Cox, W.R.; Dobbelaar, S.; Meeter, M.; Kindt, M.; van Ast, V.A. Episodic memory enhancement versus impairment is determined by contextual similarity across events. Proc. Natl. Acad. Sci. USA 2021, 118, e2101509118. [Google Scholar] [CrossRef] [PubMed]
- Hicks, J.L.; Starns, J.J. Remembering source evidence from associatively related items: Explanations from a global matching model. J. Exp. Psychol. Learn. Mem. Cogn. 2006, 32, 1164–1173. [Google Scholar] [CrossRef]
- Melega, G.; Sheldon, S. Conceptual relatedness promotes memory generalization at the cost of detailed recollection. Sci. Rep. 2023, 13, 15575. [Google Scholar] [CrossRef]
- Fell, J.; Klaver, P.; Elger, C.E.; Fernandez, G. The interaction of rhinal cortex and hippocampus in human declarative memory formation. Rev. Neurosci. 2002, 13, 299–312. [Google Scholar] [CrossRef] [PubMed]
- Fell, J.; Klaver, P.; Lehnertz, K.; Grunwald, T.; Schaller, C.; Elger, C.E.; Fernandez, G. Human memory formation is accompanied by rhinal-hippocampal coupling and decoupling. Nat. Neurosci. 2001, 4, 1259–1264. [Google Scholar] [CrossRef]
- Fernandez, G.; Effern, A.; Grunwald, T.; Pezer, N.; Lehnertz, K.; Dumpelmann, M.; Roost, D.V.; Elger, C.E. Real-time tracking of memory formation in the human rhinal cortex and hippocampus. Science 1999, 285, 1582–1585. [Google Scholar] [CrossRef] [PubMed]
- Faul, F.; Erdfelder, E.; Lang, A.-G.; Buchner, A. G*Power 3: A flexible statistical power analysis program for the social, behavioral, and biomedical sciences. Behav. Res. Methods 2007, 39, 175–191. [Google Scholar] [CrossRef]
- Frost, H.G. Observations on a great occasion. Adult Educ. 1965, 37, 282–283. [Google Scholar]
- Wilson, K.; Korn, J.H. Attention during lectures: Beyond ten minutes. Teach. Psychol. 2007, 34, 85–89. [Google Scholar] [CrossRef]
- Teichner, W.H. The detection of a simple visual signal as a function of time of watch. Hum. Factors 1974, 16, 339–352. [Google Scholar] [CrossRef] [PubMed]
- Al-Shargie, F.; Tariq, U.; Mir, H.; Alawar, H.; Babiloni, F.; Al-Nashash, H. Vigilance decrement and enhancement techniques: A review. Brain Sci. 2019, 9, 178. [Google Scholar] [CrossRef]
- Bradbury, N.A. Attention span during lectures: 8 seconds, 10 minutes, or more? Adv. Physiol. Educ. 2016, 40, 509–513. [Google Scholar] [CrossRef] [PubMed]
- Hartley, J.; Davies, I.K. Note-taking: A critical review. Program. Learn. Educ. Technol. 1978, 15, 207–224. [Google Scholar] [CrossRef]
- Al-Shargie, F.; Tariq, U.; Hassanin, O.; Mir, H.; Babiloni, F.; Al-Nashash, H. Brain Connectivity Analysis Under Semantic Vigilance and Enhanced Mental States. Brain Sci. 2019, 9, 363. [Google Scholar] [CrossRef]
- Maris, E.; Oostenveld, R. Nonparametric statistical testing of EEG- and MEG-data. J. Neurosci. Methods 2007, 164, 177–190. [Google Scholar] [CrossRef] [PubMed]
- Bouffard, N.R.; Fidalgo, C.; Brunec, I.K.; Lee, A.C.H.; Barense, M.D. Older adults can use memory for distinctive objects, but not distinctive scenes, to rescue associative memory deficits. Aging Neuropsychol. Cogn. 2024, 31, 362–386. [Google Scholar] [CrossRef] [PubMed]
- Brady, T.F.; Konkle, T.; Alvarez, G.A.; Oliva, A. Real-world objects are not represented as bound units: Independent forgetting of different object details from visual memory. J. Exp. Psychol. Gen. 2013, 142, 791–808. [Google Scholar] [CrossRef] [PubMed]
- Kragel, J.E.; Ezzyat, Y.; Lega, B.C.; Sperling, M.R.; Worrell, G.A.; Gross, R.E.; Jobst, B.C.; Sheth, S.A.; Zaghloul, K.A.; Stein, J.M.; et al. Distinct cortical systems reinstate the content and context of episodic memories. Nat. Commun. 2021, 12, 4444. [Google Scholar] [CrossRef]
- Anderson, M.L.; James, J.R.; Kirwan, C.B. An event-related potential investigation of pattern separation and pattern completion processes. Cogn. Neurosci. 2016, 8, 1–15. [Google Scholar] [CrossRef] [PubMed]
- Wagner, I.C.; Van Buuren, M.; Bovy, L.; Fernández, G. Parallel Engagement of Regions Associated with Encoding and Later Retrieval Forms Durable Memories. J. Neurosci. 2016, 36, 7985–7995. [Google Scholar] [CrossRef] [PubMed]
- Kim, J.; Yassa, M.A. Assesing recollection and familiarity of similar lures in behavioral pattern separation task. Hippocampus 2013, 23, 287–294. [Google Scholar] [CrossRef]
- Szőllősi, Á.; Bencze, D.; Racsmány, M. Behavioural pattern separation is strongly associated with familiarity-based decisions. Memory 2020, 28, 337–347. [Google Scholar] [CrossRef] [PubMed]
- Schacter, D.L.; Guerin, S.A.; St Jacques, P.L. Memory distortion: An adaptive perspective. Trends Cogn. Sci. 2011, 15, 467–474. [Google Scholar] [CrossRef] [PubMed]
- Norman, K.A.; O’Reilly, R.C. Modeling hippocampal and neocortical contributions to recognition memory: A complementary-learning-systems approach. Psychol. Rev. 2003, 110, 611–646. [Google Scholar] [CrossRef] [PubMed]
- Schneider, S.; Coll, S.Y.; Schnider, A.; Ptak, R. Electrophysiological analysis of signal detection outcomes emphasizes the role of decisional factors in recognition memory. Front. Hum. Neurosci. 2024, 18, 1358298. [Google Scholar] [CrossRef] [PubMed]
- Long, N.M. The intersection of the retrieval state and internal attention. Nat. Commun. 2023, 14, 3861. [Google Scholar] [CrossRef] [PubMed]
- deBettencourt, M.T.; Norman, K.A.; Turk-Browne, N.B. Forgetting from lapses of sustained attention. Psychon. Bull. Rev. 2018, 25, 605–611. [Google Scholar] [CrossRef] [PubMed]
- Paller, K.A.; Wagner, A.D. Observing the transformation of experience into memory. Trends Cogn. Sci. 2002, 6, 93–102. [Google Scholar] [CrossRef] [PubMed]
- Rugg, M.D.; Vilberg, K.L. Brain networks underlying episodic memory retrieval. Curr. Opin. Neurobiol. 2013, 23, 255–260. [Google Scholar] [CrossRef] [PubMed]







| Table Mean Proportion of Responses | M | SD | Significant Differences * |
|---|---|---|---|
| Old response to target (1) | 42.900 | 2.947 | 2, 3, 6, 7, 9 |
| Old response to lure (2) | 22.209 | 2.245 | 1, 3, 5, 9 |
| Old response to foil (3) | 1.887 | 0.473 | 1, 2, 4, 5, 6, 7, 8, 9 |
| Similar response to target (4) | 36.167 | 3.093 | 3, 5, 6, 9 |
| Similar response to lure (5) | 48.674 | 3.004 | 2, 3, 4, 6, 7, 8, 9 |
| Similar response to foil (6) | 16.930 | 1.838 | 1, 3, 4, 5, 9 |
| New response to target (7) | 20.933 | 2.258 | 1, 3, 5, 8, 9 |
| New response to lure (8) | 29.117 | 2.692 | 3, 5, 7, 9 |
| New response to foil (9) | 81.183 | 2.035 | 1, 2, 3, 4, 5, 6, 7, 8 |
| Reaction Time Responses | M | SD | Significant Differences * |
|---|---|---|---|
| Old response to target (1) | 0.962 | 0.083 | 4, 5 |
| Old response to lure (2) | 0.986 | 0.084 | 4 |
| Similar response to target (3) | 1.030 | 0.087 | 6, 4, 7, 8 |
| Similar response to lure (4) | 1.054 | 0.079 | 1, 3, 6, 7, 8 |
| Similar response to foil (5) | 1.040 | 0.099 | 1, 6, 7, 8 |
| New response to target (6) | 0.955 | 0.114 | 3, 4, 5 |
| New response to lure (7) | 0.955 | 0.114 | 3, 4, 5 |
| New response to foil (8) | 0.933 | 0.100 | 1, 6, 7, 8 |
Disclaimer/Publisher’s Note: The statements, opinions and data contained in all publications are solely those of the individual author(s) and contributor(s) and not of MDPI and/or the editor(s). MDPI and/or the editor(s) disclaim responsibility for any injury to people or property resulting from any ideas, methods, instructions or products referred to in the content. |
© 2025 by the authors. Licensee MDPI, Basel, Switzerland. This article is an open access article distributed under the terms and conditions of the Creative Commons Attribution (CC BY) license (https://creativecommons.org/licenses/by/4.0/).
Share and Cite
García-Rueda, L.; Poch, C.; Macedo-Pascual, J.; Campo, P. Contextual Influence on Pattern Separation During Encoding. NeuroSci 2025, 6, 13. https://doi.org/10.3390/neurosci6010013
García-Rueda L, Poch C, Macedo-Pascual J, Campo P. Contextual Influence on Pattern Separation During Encoding. NeuroSci. 2025; 6(1):13. https://doi.org/10.3390/neurosci6010013
Chicago/Turabian StyleGarcía-Rueda, Laura, Claudia Poch, Joaquín Macedo-Pascual, and Pablo Campo. 2025. "Contextual Influence on Pattern Separation During Encoding" NeuroSci 6, no. 1: 13. https://doi.org/10.3390/neurosci6010013
APA StyleGarcía-Rueda, L., Poch, C., Macedo-Pascual, J., & Campo, P. (2025). Contextual Influence on Pattern Separation During Encoding. NeuroSci, 6(1), 13. https://doi.org/10.3390/neurosci6010013
