Abstract
This study addresses the environmental challenge of surfactant removal from wastewater, focusing on the increased surfactant use during the COVID-19 pandemic. Polymeric waste, specifically polyurethane (PU) and polyamide (PA), was repurposed for surfactant adsorption to mitigate these environmental impacts. Methods included preparing surfactant solutions of sodium linear alkylbenzene sulfonate (LAS) and dodecyl pyridinium chloride (DPC) and the mechanical processing of polymeric residues. PU and PA were characterized by FTIR-ATR and by the pH at the point of zero charge, which yielded pH = 8.0 for both polymers. The adsorption efficiency was optimized using a central composite face-centered design, varying pH, temperature, and time. The results indicated that PU and PA effectively adsorbed anionic and cationic surfactants, with specific conditions enhancing performance. From the optimized experimental conditions, four assays were carried out to evaluate the adsorption isotherms and kinetics. Among the fitted models, the SIPS model was the most representative, indicating a heterogeneous surface. Regarding LAS, the maximum adsorption capacity values were ~90 and 15 mg g−1, respectively, for PU and PA. Considering the DPC surfactant, lower values were obtained (~36 mg g−1 for PU and 16 mg g−1 for PA). The results are satisfactory because the adsorbents used in this study were second-generation waste and were used without treatment or complex modifications. The study concluded that using polymeric waste for surfactant removal offers a sustainable solution, transforming waste management while addressing environmental contamination. This approach provides a method for reducing surfactant levels in wastewater and adds value to otherwise discarded materials, promoting a circular economy and sustainable waste reuse.
1. Introduction
The new environmental reality poses constant challenges in the search for innovative technological solutions that can prevent and mitigate the environmental impacts caused by modern society. A continuous challenge in treating industrial and domestic effluents is the removal of surfactants, a highly complex chemical class due to their high content and limited removal efficiency, which are present in the most diverse formulations. This class of products has shown an increase in production, and these numbers were further accentuated by the pandemic caused by SARS-CoV-2 in 2020. According to the World Health Organization, washing and sanitizing hands with soap is one of the best options for defense against the virus, responsible for a 45 to 55% reduction in virus transmission [1,2]. These numbers are related to the ability of the amphiphilic molecules to bind to the lipid envelope of the coronavirus, breaking the outer lipid membrane and, consequently, deactivating it [3]. Considering this recommendation, the use of soaps, detergents, and sanitizers increased significantly during the pandemic, and such aseptic habits remain widespread in our daily lives [4,5].
The increase in the frequency of handwashing, as well as the impulsive growth of the personal care industry, has a significant impact on the rise in water consumption and the generation of liquid surfactant waste. Kalbusch and collaborators reported an 11% increase in residential water consumption in Joinville city, Santa Catarina (Brazil) [6]. Arifin and Maizunati reported a 50.7% increase in the volume of liquid soap waste in Magelang (Indonesia) when comparing regular periods with the pandemic on average [7]. Furthermore, ash water residues indicated that several parameters exceeded established quality standards.
The excessive use of detergents and cleaning products, in general, is responsible for the presence of surfactants in domestic wastewater. At an industrial level, detergents stand out most in the composition of effluents due to their widespread use, mainly in washing products and residues from the operational process [8,9]. The average concentration of surfactants in domestic effluents varies from 14.0 mg L−1 to 27.0 mg L−1, and in industrial effluents, approximately 50.0 mg L−1 [8,9,10,11]. In Brazil, there is no standard for the concentration of sodium linear alkylbenzene sulfonate (LAS)—one of the primary surfactants used in industry and the focus of study of the present work—in wastewater effluents, but rather a standard for the total concentration of surfactants. Anionic substances are determined by the methylene blue active substances method (MBAS) [12]. The Brazilian National Environmental Council (CONAMA) created Resolution No. 357, which determined that the concentration of MBAS species in class 1 to 3 surface waters, i.e., saline, brackish, and fresh, should not exceed 0.2 and 0.5 mg L−1 LAS, respectively. No limit was defined for the concentration of these substances for treated effluents [13].
With the increasing use of surfactant products, concerns about environmental risks have increased. Surfactants harm humans, aquatic life, and vegetation [14,15,16]. These are dangerous and harmful compounds causing destabilization in fauna and flora. They generate foam in rivers, which causes the eutrophication of lakes and treatment plants [17]. The presence of 120 ppm of soap causes a reduction in the growth and development of algae. Species such as Ranunculus aquatilis and Potamogeton cannot grow with just 2.5 ppm of detergent [18]. Detergents cause damage to the lipid components of cell membranes, causing overhydration and decreasing the surface tension of the water. Cell necrosis may occur at high concentrations [19].
This study aimed to remove surfactants by the adsorption method using polymeric waste that is generated in large quantities but still has a low recycling rate. In 2018, global plastic production was approximately 360 million tons [20]. That same year, 29.1 million tons of plastic waste were collected in Europe, including Norway and Switzerland. Of these, only 32.1% were recycled, and 24.9% were sent to landfills [20]. Extrapolating this scenario to Brazil, the rates are even lower. In 2018, according to ABIPLAST (Brazilian Plastics Industry Association), 3.4 million tons of post-consumer plastic waste was generated, with 991 thousand tons destined for selective collection companies and only 757 thousand tons mechanically recycled [21]. Considering polyurethane (PU) waste, one of the polymers of interest in this work, this scenario needs improvement. Landfills are the destination for 50% of this thermosetting polymer’s waste (post-consumer and post-production) [22].
Because they originate from petrochemical sources, polyurethane and polyamide (PA), another polymer of interest in this study, should have high recycling rates as a premise since their raw materials come from a finite source. Although there are several possibilities for recycling, such as mechanical, chemical, and energy recovery, these processes are still modest, especially in our country, which opens up an excellent opportunity for developing new reuse routes. Therefore, the solution presented here directly uses polymeric residues of PU (cleaning sponges) and PA (textile residue) to remove surfactants through adsorption after mechanical processing. This innovative proposal seeks to mitigate the environmental impacts caused by both wastes, that is, to allocate and add value to marginalized polymeric waste to remove surfactants, creating a sustainable cycle.
2. Materials and Methods
2.1. Reagents and Sample Preparation
All reagents used were of analytical grade used without any prior treatment. Sodium linear alkylbenzene sulfonate (LAS) and dodecyl pyridinium chloride (DPC) surfactant solutions were prepared in a buffer solution according to the pH and concentration required for each experiment. Textile polyamide waste was cut into small strips (Figure 1) and used without any treatment. Domestic polyurethane sponges were left to rest in ethyl alcohol for 20 min to remove residual surfactants. Afterward, they were washed thoroughly in distilled water and dried in an oven at 80 °C for 60 min. Subsequently, the yellow part was removed and mechanically processed in a domestic blender for 2 min to standardize the samples (Figure 1).
Figure 1.
Polymeric wastes of (A) PU and (B) PA used in the adsorption experiments. The samples were mechanically processed before use.
2.2. Characterizations
The FTIR spectra were obtained on a Vertex 70 spectrophotometer (Perkin Elmer, Waltham, MA, USA, from the Prebiotic Chemistry Laboratory (State University of Londrina—UEL)) with a spectral resolution of 2 cm−1. Spectra were obtained in the 400 to 4000 cm−1 wavelength range with 32 scans per analysis. The UV spectra of the surfactant solutions were obtained using a Cary-60 spectrophotometer (Agilent Technologies, Santa Clara, CA, USA, from LAMAP (Multi-user Research Support Laboratory—UTFPR Apucarana)). Calibration curves were constructed using the wavelength of 223 nm for LAS and 259 nm for DPC.
The equilibrium bath technique determined the pH at the point of zero charge (pHPZC) according to the procedure adopted by Yu and coworkers [23]. Several aqueous solutions were prepared with a pH between 2.0 and 12.0, which were adjusted with a Hanna HI2210 benchtop pH meter with a temperature control. Then, 15.0 mL of each solution was placed in a 50 mL polyethylene bottle containing approximately 500 mg of each sample (PU or PA). The samples were shaken for 24 h on an orbital shaker at 180 rpm and a temperature of 30 °C to reach equilibrium. After that, the final pH was measured, and the pHPZC was determined using a graph of initial pH versus final pH.
2.3. Factorial Design
The face-centered composite central design was utilized to optimize the pH, temperature, and time conditions for the removal of anionic and cationic surfactants using different materials (PA and PU). The design included three numerical factors (pH, temperature, and time), evaluated at two levels (+1 and −1) plus the central point (0), and one categorical factor (material type, PA, and PU). For pH, the lower level was 4.0 (−1) and the upper level was 10.0 (+1); for temperature, the levels were 20 °C (−1) and 40 °C (+1); and for adsorption time, the levels were 30 min (−1) and 120 min (+1). The selected pH values were thought to cover acidic and basic regions, as determined by wastewater from a sanitary product company. The contact time, in turn, was based on preliminary tests that demonstrated that, above 120 min, there were no substantial variations. Thus, the factorial design of the type 2k, where k is the number of factors, resulted in 32 experiments (16 for each material; see Table 1). The response evaluated during optimization was the equilibrium concentration of the surfactant. Table 1 displays the design matrix and the Qe results obtained for LAS and DPC adsorption.
Table 1.
Factorial design matrix and Qe results obtained for LAS and DPC adsorption.
After the mechanical processing of the samples, ~0.5 g was added to 50.0 mL of surfactant stock solution (50 mg L−1) and left in contact for 1 h in an orbital shaker (180 rpm) with temperature control. After the samples were centrifuged, the UV-Vis spectrum of the supernatant was read. The adsorption capacity (Qe) was obtained from Equation (1).
where C0 and Ce are, respectively, the initial and equilibrium concentration (in mg L−1); V is the volume (L) of the solution; and m is the mass (g) of the adsorbent.
Qe = ([(C0 − Ce)V])/m
Isotherms were determined according to the conditions generated by the previous factorial design, where 0.5 g of both materials and 50.0 mL of LAS and DPC solutions were used within 24 h. Langmuir, Freundlich, and SIPS were the models used to adapt the nonlinear fitting [24]. The adsorption kinetics were determined in a similar way to the isotherms. Approximately 0.5 g of each adsorbent material was left in contact with 50.0 mL of solutions of each surfactant (400 ppm), respecting the optimized conditions in the chemometric design. The kinetic models used for nonlinear modeling were zero-order, pseudo-first-order, pseudo-second-order, Avrami, intraparticle diffusion, and Elovich [25].
3. Results and Discussion
3.1. LAS and DPC UV-Vis Characterization
Figure 2 shows the UV-Vis spectra of aqueous solutions of LAS and DPC surfactants. In the LAS spectrum, it is possible to observe an intense band at 223 nm, characteristic of benzene rings [26]. The DPC absorbance spectrum also presents the characteristic bands of simple aromatic molecules at 215 (K band) and 259 nm (B band) [27]. Figure 2 also shows the calibration curves of the surfactants in different concentration ranges. The calibration curves show that while DPC follows Beer’s law throughout the concentration range studied, LAS obeys the law up to 400 ppm (0.00115 mol L−1). Considering the range of compliance with Beer’s law, the molar absorptivity coefficients obtained were 11,470 Lmol−1cm−1 and 4050 Lmol−1cm−1, respectively, for LAS and DPC. The determined values agree with those observed in Swisher’s work for the LAS and in the study by Hermann, Gerke, and Ziechmann for the DPC [26,27].
Figure 2.
(A) Ultraviolet absorption spectra of aqueous solutions of the surfactants LAS and DPC (50 ppm). Calibration curves of the surfactants (B) LAS and (C) DPC in water at room temperature.
3.2. Adsorbent Characterization
To carry out the first adsorption test, a scan was carried out with various polymeric residues in order to evaluate the LAS removal capacity. The waste chosen included high-density polyethylene (HDPE), low-density polyethylene (LDPE), PA, and PU. PU and PA were crushed and/or cut and were stirred with the surfactant LAS (50 ppm) for two hours. The supernatant was centrifuged and quantified using the previously determined molar absorptivity values. The results of the equilibrium adsorption capacity were 2.40 mg g−1 for PU and 1.43 mg g−1 for PA. HDPE and LDPE, however, did not show any surfactant adsorption. This fact may be related to the physical characteristics of the materials since the ground HDPE and LDPE beads used do not have pores, in addition to the non-polar chemical constitution of the materials.
Before use, the waste materials were characterized using pH at the point of zero charge and infrared spectra with attenuated reflectance (FTIR-ATR). As the surfactants chosen as adsorbates have distinct characteristics, studying the surface charge of polymeric residues is essential. As previously reported, the equilibrium bath method determined the pH at the point of zero charge (pHPZC). The initial and final pH results are presented in Figure 3A.
Figure 3.
(A) Adsorbent characterization at pH at the point of zero charge (pHPZC) and FTIR-ATR spectra of polymeric residues: (B) PA and (C) PU.
It is possible to observe that there is no significant difference in the profiles of the curves observed for either residue. A plateau is observed between 7.0 < pH < 8.0, indicating that pHPZC is in this range. For a more assertive determination of the value, the first (pH at which the slope is zero) and second (pH at which there is a change in sign) derivatives were applied to both curves, obtaining a pHPZC value equal to 8.0. The result obtained agrees with that by Grancaric and coworkers for polyamide 6.6 [28] and with the value of 8.0 determined for PU by Bouraie and Abdelghany [29].
When adsorbents come into contact with a solution with a pH below pHPZC, the surface is positively charged, and many anions are adsorbed to balance the positive charges. Adsorbents, in this case, are more effective for anionic removal. In solutions with a pH greater than pHPZC, the surface is negatively charged, and many cations are adsorbed. This relationship can be explained by the electrostatic attraction between the charge generated on the surface of the adsorbent material and the anionic or cationic group in the solution. In this case, the indication was that the adsorbent removed cations.
Figure 3B presents the FTIR-ATR spectrum of PA, which shows bands at 3298 cm−1, corresponding to NH bending vibration, and at 2931 and 2858 cm−1, respectively, associated with in-phase and out-of-phase CH stretching. The stretches of the C=O bond and the N-H and C-N combination are present, respectively, at 1630 and 1532 cm−1. It is still possible to observe CH2 vibrations at 1415 (scissors) and 1196 (swing) cm−1 [30]. Figure 3C illustrates the FTIR-ATR spectrum of the PU. The band at 3278 cm−1 is attributed to NH stretching, while the bands at 2969 and 2862 cm−1 are attributed, respectively, to CH’s in-phase and out-of-phase stretching. CH vibration modes are also observed at 1475, 1448, 1409, and 1371 cm−1. The vibration of the C=O bond is observed at 1725 and 1641 cm−1 [31].
3.3. Factorial Design
The optimization process for LAS adsorption followed a central composite face-centered design. The different combinations between three numerical variables (A: pH; B: temperature (°C); C: time (min)) and one categorical variable (PA and PU) at two levels, with duplicates at the central point, yielded 32 experiments. Table 1 shows each combination’s responses (Qe, mg g−1). The analysis of variance (ANOVA) qualified the quadratic model indicated to predict the adsorption behavior of the system (Table 2). The p-value < 0.0001 and an experimental F-value (Fexp = 15.93) are more significant than the theoretical F-value with 13 and 18 degrees of freedom (df) at 95% confidence (F13,18,95 = 2.34), supporting the significance of the quadratic model. Additionally, the ratio between the regression sum of squares (SQR = 56.85)/total sum of squares (SQT = 61.79) shows that the model explains about 92% of the total variance around the average, confirming the model’s efficiency.
Table 2.
ANOVA for LAS adsorption.
Furthermore, the ANOVA suggests that variable D (material type) and the interaction BD (temperature × material type) are significant for model construction. Equation (2) presents the contribution of each factor. The highest sum of squares associated with material type is compatible with the coefficient of +1.30, which contributes to obtaining higher Qe values. The other factors (pure or interaction) perform synergistically (A, D, AD, BC, and A2) or antagonistically (B, C, AB, AC, BD, CD, B2, and C2) to describe the system’s behavior.
Based on the generated equation, the Qe measurements were optimized for the type of adsorbent material (PU and PA). Equation (3) (PU) and Equation (4) (PA) describe each material’s behavior. Both cases attributed the highest coefficients to pH, temperature, and time. These observations can be confirmed by analyzing the response surface for each material (Figure 4 and Figure 5).
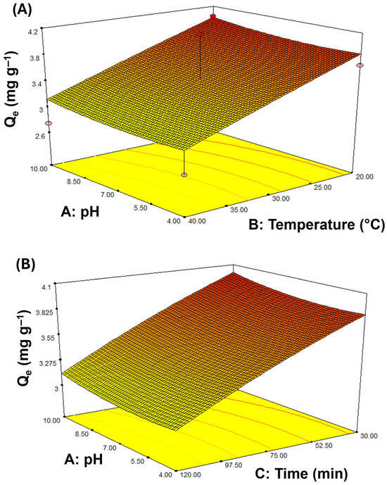
Figure 4.
Response surface of the LAS adsorption by PU material evaluating pH × Temperature (A) and pH × Time (B).
Figure 5.
Response surface of LAS adsorption by PA material evaluating pH × Temperature (A) and pH × Time (B).
The optimization process then proceeded using the desirability function. The function was applied under pH 4–10, temperature 20–40 °C, and time fixed at 30 min, maximizing Qe. According to the function, Qe measurements close to 4.01 mg g−1 can be obtained at a pH of 10.0 and a temperature of 20.42 °C, with a probability close to 93%.
The same procedure was adopted to evaluate the PA material. The desirability function was applied within the same pH, time, and temperature range. However, the PA adsorbent removes less LAS than PU. The optimized conditions, with a predicted Qe of approximately 1.2 mg g−1, are pH 4.10, temperature 39 °C, and a time of 120 min. The interaction with PA or PU with monomers of LAS (at the concentration used it is below its critical micelle concentration—CMC) will depend on the chemical structure and surface characteristics of each material. For one side, PA contains repeating amide groups (-CONH-), which can form hydrogen bonds with other molecules, especially ones that have polar or charged regions, like LAS. PA also has a relatively polar surface due to the amide groups, which can enhance interaction with the sulfonate group of LAS through electrostatic interactions. However, polyamides are typically less hydrophobic compared to polyurethane, which might slightly reduce their interaction with the hydrophobic alkyl chain of LAS. PU is composed of urethane (-NHCOO-) linkages, with a more complex structure often including both hydrophobic and hydrophilic domains depending on the formulation. PUs are generally more hydrophobic than polyamides, which could promote interaction with the hydrophobic tail of LAS. However, the overall surface of polyurethane foams is less polar than that of polyamide fibers, which might reduce the strength of interaction with the sulfonate group of LAS. Furthermore, another point that needs to be raised is the material processing, which generates more particulated PU material that favors LAS adsorption.
The optimization process for removing the DPC surfactant followed the same procedure. The central composite face-centered design evaluated Qe as a function of three numerical factors (pH, temperature, and time) and one categorical factor (type of adsorbent material), totaling 32 trials (Table 1). According to the ANOVA, the p-values < 0.0001 for regression and Lack of Fit indicate that the experimental data fit a quadratic model. The substantial value of SQR (932.34) compared to the residual (1.81) highlights its statistical significance. The SQR/SQT ratio suggests that the model explains 99.81% of the total variance around the average. Additionally, the Fexp value (711.75), significantly higher than the theoretical F value (F13,18,95 = 2.34), attests to the significance of the quadratic model. Moreover, according to the data presented in Table 3, the pure factors (B and C), interaction terms (AB, AC, AD), and the quadratic term (A2) are significant for model construction. The highest coefficients in Equation (5) confirm the significance indicated by p-values < 0.05.
Table 3.
ANOVA for DPC adsorption.
Based on the proposed model, optimization was carried out as a function of the material type. Equations (6) and (7) express the adsorption behavior regarding pH, temperature, and time for the PU and PA materials, respectively. As indicated in the general model, the pH effect is crucial in the adsorption process of DPC using PU. The coefficient of 15.94 attributed to pH operates synergistically in removing the surfactant. The contour curves presented with the response surface confirm the dependence of Qe on pH (Figure 6). The extreme pH values (4 and 10) deliver the lowest Qe values. Therefore, the optimized condition suggested little influence from temperature and time. Accordingly, the desirability function predicts a Qe of 13.62 mg g−1 under the following experimental conditions: pH 6.80, temperature 25 °C, and time 33 min.
Figure 6.
Response surface of the DPC adsorption by PU material evaluating pH × Temperature (A) and pH × Time (B).
The coefficients presented in Equation (7) show the same dependence on the adsorption process and pH. The coefficient of 15.70926 plays a fundamental role in removing the cationic surfactant. These observations are visualized on the response surface (Figure 7). Like PU, time and temperature have little influence on surfactant adsorption. The optimized PA conditions are pH 6.70, temperature 20.0 °C, and 74.42 min. The model predicts a Qe of 13.18 with 100% desirability. In conclusion, The Qe measurements indicate that the adsorbents PA and PU were more efficient in removing the cationic surfactant (0–13.54 mg g−1) than the anionic surfactant (0–4.14 mg g−1).
Figure 7.
Response surface of the DPC adsorption by PA material evaluating pH × Temperature (A) and pH × Time (B).
3.4. Isotherm and Kinetic Experiments
Considering the results obtained from the factorial design analysis, the adsorption of LAS and DPC was evaluated separately on the two adsorbents, PA and PU, resulting in four different conditions (Table 4) and four isotherms (Figure 8).
Table 4.
Experimental conditions for isotherms and parameters.
Figure 8.
Adsorption isotherms after 24 h for (A) assay 1; (B) assay 2; (C) assay 3; and (D) assay 4. The red curves represent the fits by the SIPS model.
The adsorption tests were performed by keeping the adsorbate in contact with the adsorbents for 24 h, and the isotherms obtained were adjusted using the Freundlich, Langmuir, and SIPS models. The correlations obtained from the SIPS model demonstrated better adjustments. The SIPS isotherm is a combined form of the Langmuir and Freundlich models to predict heterogeneous adsorption systems, bypassing the limitation of increasing adsorbate concentration indicated by the Freundlich isotherm. At low concentrations, it follows the Freundlich isotherm; at high concentrations, it has a saturation sorption value, as in the case of the Langmuir isotherm. The value of the constant n indicates the degree of heterogeneity of the adsorbent surface model. According to the model, values of n < 1 indicate a heterogeneous surface, with the degree of heterogeneity increasing as the value of ns decreases. Considering the maximum adsorption capacities, the values were generally low. PU showed superior capacity in removing both LAS and DPC, which must be associated with its shape since this adsorbent can be crushed, possibly resulting in a larger surface area. When comparing the results of this experiment with the chemometric data, greater removal capacity was not observed for the DPC surfactant, as shown in the factorial design data.
Regardless of the type of surfactant or adsorbent, the removal capacity was satisfactory. For example, in PU and PA, ~91 mg g−1 and 16 mg g−1 were observed for LAS. Using styrene–divinylbenzene copolymer and acrylic ester polymer resins, Yang et al. removed 864 and 592 mg g−1 of sodium dodecyl benzene sulfonate [32]. Taffarel and Rubio, using CTABr-modified zeolite, found a maximum removal capacity of sodium dodecylbenzene sulfonate of around 30 mg g−1 [33]. The results are satisfactory because the adsorbents used in this study are second-generation waste and were used without treatment or complex modifications. The same can be inferred regarding the DPC removal capacity of the adsorbent materials. The maximum adsorption capacities were ~36 and 9 mg g−1 for, respectively, PU and PA. Duman and Ayranci, using activated carbon fabric, obtained a maximum DPC removal of ~340 mg g−1 [34].
In the concentration range used in the isotherm tests, both surfactants are below the CMC. Therefore, the interaction between these and the surface of the materials can provide clues about the adsorption mechanism. Considering the pHPZC values and the surfactant characteristics, assay 3 (Figure 8C—PA and LAS) indicates the electrostatic interaction between the cheerful surface of PA (pH = 4.0) and the negative charge of LAS monomers [35,36]. In this case, a monolayer forms, which occurs at relatively high concentrations of adsorbent. In this region, the SIPS isotherm fits the Langmuir isotherm. In the other tests, the adsorbents are in the areas of the pHPZC plateau where they meet the neutral surface, and the interactions should be less favored. Even so, the formation of a plateau was still observed in assay 2 (Figure 8B—PU and DPC).
The adsorption kinetics assays were performed under the same experimental conditions as the isotherms (Table 4). The data were adjusted according to pseudo-first-order, pseudo-second-order, zero-order, intraparticle diffusion, Avrami, and Elovich kinetic models. The assay using PA did not fit any model, while the best results for PU were pseudo-second-order for test 1 (R2 = 0.9913) and intraparticle diffusion for test 2 (R2 = 0.6811). Although the data do not show a good correlation with the models, due to the numerous possibilities of adsorbent–adsorbate interactions that corroborate the SIPS model, Figure 9A shows the kinetic data in which the equilibrium time of assay 1 is clear, reached in 20 min of reaction. For assay 2 (Figure 9B), it is noted that diffusion occurs around 10 min of reaction. Despite being poorly adjusted, the data corroborate the factorial design analysis obtained through the experiments.
Figure 9.
Adsorption kinetics of (A) LAS (assay 1) and (B) DPC (assay 2).
4. Conclusions
PU and PA adsorbents were satisfactory in removing LAS and DPC, even if partially, since the maximum removal capacity was between ~10 and 90 mg g−1. Additionally, an alternative has been found to reuse these residues, which are generated in large quantities and still have low reuse or recycling rates with waste generation.
In general, pH was the most essential factor in removing surfactants when optimizing the experimental parameters using factorial design. The ANOVA results showed more significant removals of DPC compared to LAS, regardless of the adsorbent material used.
The correlations obtained from the SIPS model demonstrated better fits than those using the Langmuir or Freundlich models. PU showed a superior capacity in the removal of both LAS and DPC. When comparing the results for the adsorption isotherms with the chemometric data, no greater removal capacity was observed for the DPC surfactant, as shown in the factorial design data. Even so, regardless of the type of surfactant or adsorbent, the removal capacity was satisfactory.
Author Contributions
Conceptualization, A.L.T.; methodology, T.R.d.R., D.L.M.T., A.C.P.d.S., E.G.B. and R.B.S.; validation, T.R.d.R., D.L.M.T., A.C.P.d.S. and E.G.B.; formal analysis, T.R.d.R., D.L.M.T., A.C.P.d.S., E.G.B., R.B.S. and A.L.T.; investigation, T.R.d.R., D.L.M.T. and A.C.P.d.S.; resources, R.B.S. and A.L.T.; data curation, A.C.P.d.S., E.G.B., R.B.S. and A.L.T.; writing—original draft preparation, A.C.P.d.S., E.G.B., R.B.S. and A.L.T.; writing—review and editing, R.B.S. and A.L.T.; visualization, R.B.S. and A.L.T.; supervision, A.L.T.; project administration, A.L.T.; funding acquisition, R.B.S. and A.L.T. All authors have read and agreed to the published version of the manuscript.
Funding
This research was funded by Universidade Tecnológica Federal do Paraná—Campus Apucarana and by National Council for Scientific and Technological Development. Grant Number: 420280/2023-5.
Institutional Review Board Statement
Not applicable.
Informed Consent Statement
Not applicable.
Data Availability Statement
Data are contained within the article.
Acknowledgments
Authors acknowledge UTFPR for the financial support and LAMAP and LQP for the instrumentation support.
Conflicts of Interest
The authors declare no conflicts of interest.
References
- World Health Organization. WHO Guidelines on Hand Hygiene in Health Care (Advanced Draft): Global Safety Challenge 2005–2006: Clean Care Is Safer Care; World Health Organization: Geneva, Switzerland, 2006.
- Pradhan, D.; Biswasroy, P.; Kumar Naik, P.; Ghosh, G.; Rath, G. A review of current interventions for COVID-19 prevention. Arch. Med. Res. 2020, 51, 363–374. [Google Scholar] [CrossRef] [PubMed]
- Chirani, M.R.; Kowsari, E.; Teymourian, T.; Ramakrishna, S. Environmental impact of increased soap consumption during COVID-19 pandemic: Biodegradable soap production and sustainable packaging. Sci. Total Environ. 2021, 796, 149013. [Google Scholar] [CrossRef] [PubMed]
- Voidarou, C.; Rozos, G.; Stavropoulou, E.; Giorgi, E.; Stefanis, C.; Vakadaris, G.; Vaou, N.; Tsigalou, C.; Kourkoutas, Y.; Bezirtzoglou, E. COVID-19 on the spectrum: A scoping review of hygienic standards. Front. Public Health 2023, 11, 1202216. [Google Scholar] [CrossRef] [PubMed]
- Săveanu, C.I.; Porsega, A.; Anistoroaei, D.; Iordache, C.; Bobu, L.; Săveanu, A.E. Cross-sectional study to evaluate knowledge on hand hygiene in a pandemic context with SARS-CoV-2. Medicina 2022, 58, 304. [Google Scholar] [CrossRef]
- Kalbusch, A.; Henning, E.; Brikalski, M.P.; de Luca, F.V.; Konrath, A.C. Impact of coronavirus (COVID-19) spread-prevention actions on urban water consumption. Resour. Conserv. Recycl. 2020, 163, 105098. [Google Scholar] [CrossRef] [PubMed]
- Arifin, M.Z.; Maizunati, N.A. Soap liquid waste due to COVID-19 pandemic in Magelang City: Challenges and recommendations. Sanit. Value Chain 2021, 5, 18–19. [Google Scholar] [CrossRef]
- Suárez, L.; Díez, M.A.; García, R.; Riera, F.A. Membrane technology for the recovery of detergent compounds: A review. J. Ind. Eng. Chem. 2012, 18, 1859–1873. [Google Scholar] [CrossRef]
- Ingrassia, E.B.; Luna, M.F.; Rubin, J.C. When the use of derived wastes and effluents treatment is part of a responsible industrial production: A review. Chem. Eng. Process. Process Intensif. 2024, 201, 109826. [Google Scholar] [CrossRef]
- De Gisi, S.; Lofrano, G.; Grassi, M.; Notarnicola, M. Characteristics and adsorption capacities of low-cost sorbents for wastewater treatment: A review. Sustain. Mater. Technol. 2016, 9, 10–40. [Google Scholar] [CrossRef]
- Nunes, R.F.; Teixeira, A.C.S.C. An overview on surfactants as pollutants of concern: Occurrence, impacts, and persulfate-based remediation technologies. Chemosphere 2022, 300, 134507. [Google Scholar] [CrossRef]
- APHA; AWWA; WEF. Standard Methods for the Examination of Water and Wastewater, 19th ed.; APHA: Washington, DC, USA, 1995.
- Brasil. Sistema Integrado de Resolução Ambiental. Resolução CONAMA nº 357, de 17 de março de 2005. Available online: https://www.siam.mg.gov.br/sla/download.pdf?idNorma=2747 (accessed on 7 November 2022).
- Badmus, S.O.; Amusa, H.K.; Oyehan, T.A.; A Saleh, T. Environmental risks and toxicity of surfactants: Overview of analysis, assessment, and remediation techniques. Environ. Sci. Pollut. Res. 2021, 28, 62085–62104. [Google Scholar] [CrossRef]
- Jena, G.; Dutta, K.; Daverey, A. Surfactants in water and wastewater (greywater): Environmental toxicity and treatment options. Chemosphere 2023, 341, 140082. [Google Scholar] [CrossRef]
- Rasheed, T.; Shafi, S.; Bilal, M.; Hussain, T.; Sher, F.; Rizwan, K. Surfactants-based remediation as an effective approach for removal of environmental pollutants—A review. J. Mol. Liq. 2020, 318, 113960. [Google Scholar] [CrossRef]
- Siyal, A.A.; Shamsuddin, M.R.; Low, A.; Rabat, N.E. A review on recent developments on adsorption of surfactants from wastewater. J. Environ. Manag. 2020, 254, 109750. [Google Scholar] [CrossRef]
- Ankit, A.; Banerjee, A.; Bhardwaj, S. Environmental impact of COVID-19 pandemic: More negatives than positives. Environ. Sustain. 2021, 4, 447–454. [Google Scholar] [CrossRef]
- Svobodová, Z.; Lloyd, R.; Machala, M. Water quality and fish health. In EIFAC Technical Paper; FAO: Rome, Italy, 1993; Volume 54, p. 59. Available online: http://www.fao.org/3/t1623e/t1623e.pdf (accessed on 14 July 2020).
- Plastics Europe. The Facts 2019. An Analysis of European Plastics Production, Demand, and Waste Data. Available online: https://www.plasticseurope.org/en/resources/market-data (accessed on 15 June 2022).
- ABIPLAST—Associação Brasileira da Indústria do Plástico. Estudo Encomendado pelo Picplast Mapeia a Indústria de Reciclagem do Plástico no Brasil. 2020. Available online: http://www.abiplast.org.br/noticias/estudo-encomendado-pelo-picplast-mapeia-a-industria-de-reciclagem-do-plastico-no-brasil (accessed on 3 September 2021).
- Kemona, A.; Piotrowska, M. Polyurethane recycling and disposal: Methods and prospects. Polymers 2020, 12, 1752. Available online: https://www.ncbi.nlm.nih.gov/pmc/articles/PMC7464512/ (accessed on 28 June 2022). [CrossRef] [PubMed]
- Yu, T.M.; Meira, A.C.R.; Kreutz, J.C.; Effting, L.; Giona, R.M.; Gervasoni, R.; de Moura, A.A.; Bezerra, F.M.; Bail, A. Exploring the surface reactivity of the magnetic layered double hydroxide lithium-aluminum: An alternative material for sorption and catalytic purposes. Appl. Surf. Sci. 2019, 467–468, 1195–1203. [Google Scholar] [CrossRef]
- Foo, K.Y.; Hameed, B.H. Insights into the modeling of adsorption isotherm systems. Chem. Eng. J. 2010, 156, 2–10. [Google Scholar] [CrossRef]
- Wang, J.; Guo, X. Adsorption kinetic models: Physical meanings, applications, and solving methods. J. Hazard. Mater. 2020, 390, 122156. [Google Scholar] [CrossRef] [PubMed]
- Swisher, L.; Hirsh, I.J. Brain damage and the ordering of two temporally successive stimuli. Neuropsychologia 1972, 10, 137–152. [Google Scholar] [CrossRef] [PubMed]
- Hermann, R.; Gerke, J.; Ziechmann, W. Photodegradation of the surfactants Na-dodecylbenzenesulfonate and dodecylpyridinium-chloride as affected by humic substances. Water Air Soil Pollut. 1997, 98, 43–55. [Google Scholar] [CrossRef]
- Grancaric, A.M.; Tarbuk, A.; Pusic, T. Electrokinetic properties of textile fabrics. Color. Technol. 2005, 121, 221–227. [Google Scholar] [CrossRef]
- Bouraie, M.E.; Abdelghany, A. Sorption features of polyurethane foam functionalized with salicylate for chlorpyrifos: Equilibrium, kinetic models, and thermodynamic studies. Polymers 2020, 12, 2036. [Google Scholar] [CrossRef]
- Mindivan, F. Effect of crystalline form (γ) of polyamide 6/graphene nanoplatelets (pa6/gn) nanocomposites on its structural and thermal properties. Mach. Technol. Mater. 2016, 10, 56–59. [Google Scholar]
- Asefnejad, A.; Khorasani, M.T.; Behnamghader, A.; Farsadzadeh, B.; Bonakdar, S. Manufacturing of biodegradable polyurethane scaffolds based on polycaprolactone using a phase separation method: Physical properties and in vitro assay. Int. J. Nanomed. 2011, 6, 2375–2384. [Google Scholar] [CrossRef] [PubMed]
- Asadi, A.; Nakhaei, M.; Elhami, S. Chapter 5—Adsorption processes for water treatment in emerging contaminants. In Membrane Technology for Water and Wastewater Treatment in Emerging Contaminants, 1st ed.; Elsevier: Amsterdam, The Netherlands, 2021; pp. 139–192. [Google Scholar]
- Chapman, A.; Butler, C. Nanostructured Water Purification Systems: Recent Advances and Challenges; CRC Press: Boca Raton, FL, USA, 2020; pp. 19–34. [Google Scholar]
- Duman, O.; Ayranci, E. Adsorptive removal of cationic surfactants from aqueous solutions onto high-area activated carbon cloth monitored by in situ UV spectroscopy. J. Hazard. Mater. 2010, 174, 359–367. [Google Scholar] [CrossRef] [PubMed]
- Adak, A.; Bandyopadhyay, M.; Pal, A. Removal of anionic surfactant from wastewater by alumina: A case study. Colloids Surf. A Physicochem. Eng. Asp. 2005, 254, 165171. [Google Scholar] [CrossRef]
- Adak, A.; Bandyopadhyay, M.; Pal, A. Adsorption of anionic surfactant on alumina and reuse of the surfactantmodified alumina for the removal of crystal violet from aquatic environment. J. Environ. Sci. Health Part A Toxic/Hazard. Subst. Environ. Eng. 2005, 40, 167–182. [Google Scholar] [CrossRef]
Disclaimer/Publisher’s Note: The statements, opinions and data contained in all publications are solely those of the individual author(s) and contributor(s) and not of MDPI and/or the editor(s). MDPI and/or the editor(s) disclaim responsibility for any injury to people or property resulting from any ideas, methods, instructions or products referred to in the content. |
© 2025 by the authors. Licensee MDPI, Basel, Switzerland. This article is an open access article distributed under the terms and conditions of the Creative Commons Attribution (CC BY) license (https://creativecommons.org/licenses/by/4.0/).








